(¥È¥ê¥Õ¥ë¥ª¥í¥á¥Á¥ë)¥Ù¥ó¥¼¥ó¤Î¥é¥Ã¥È¤òÍѤ¤¤ë
È¿Éü·Ð¸ýÅêÍ¿ÆÇÀ­¡¦À¸¿£È¯À¸ÆÇÀ­Ê»¹ç»î¸³

Combined Repeat Dose and Reproductive/Developmental Toxicity Screening
Test of Trifluoromethylbenzene by Oral Administration in Rats

Íס¡Ìó

(¥È¥ê¥Õ¥ë¥ª¥í¥á¥Á¥ë)¥Ù¥ó¥¼¥ó¤Ï¡¤²½³Ø»º¶È¤ÎʬÌî¤ÇÀ÷ÎÁ¤¢¤ë¤¤¤Ï¹â½Å¹çÂΤθ¶ÎÁ¤È¤·¤Æ»ÈÍѤµ¤ì¤Æ¤¤¤ë²½³ØÊª¼Á¤Ç¤¢¤ë¡¥ËÜÈ︳ʪ¼Á¤Î·Ð¸ýÅêÍ¿¤Ë¤è¤ëLD£µ£°Ãͤϡ¤¥Þ¥¦¥¹¤Ç10000 mg/kg¡¤¥é¥Ã¥È¤Ç15000 mg/kg¤Ç¤¢¤ë¤³¤È¤¬Êó¹ð¤µ¤ì¤Æ¤¤¤ë¤¬£±¡Ë¡¤È¿ÉüÅêÍ¿ÆÇÀ­¤¢¤ë¤¤¤ÏÀ¸¿£È¯À¸ÆÇÀ­¤Ë¤Ä¤¤¤Æ¤ÎÊó¹ð¤Ï¸«Åö¤¿¤é¤Ê¤¤¡¥º£²ó¡¤OECD´û¸²½³ØÊª¼Á°ÂÁ´À­ÅÀ¸¡¤Ë·¸¤ï¤ëÆÇÀ­»î¸³¤Î°ì´Ä¤È¤·¤Æ¡¤(¥È¥ê¥Õ¥ë¥ª¥í¥á¥Á¥ë)¥Ù¥ó¥¼¥ó¤Î¡¤20¡¤100¤ª¤è¤Ó500 mg/kg¤òCrj¡§CD(SD·Ï)¥é¥Ã¥È¤Î»óͺ(³Æ12ɤ/·²)¤Ë¸òÇÛÁ°14Æü´Ö¡¤Íº¤Ç¤Ï¤½¤Î¸å¸òÇÛ´ü´Ö¤ò´Þ¤à35Æü´Ö¡¤»ó¤Ç¤Ï¸òÇÛ´ü´Ö¡¤Ç¥¿±´ü´Ö¤ª¤è¤ÓʬÊÚ¸å3Æü¤Þ¤Ç·Ð¸ýÅêÍ¿¤·¡¤¿ÆÆ°Êª¤ËÂФ¹¤ëÈ¿ÉüÅêÍ¿ÆÇÀ­¤ª¤è¤ÓÀ¸¿£Ç½ÎϤʤé¤Ó¤Ë¼¡À¤Âå»ù¤ÎȯÀ¸¡¦È¯°é¤ËµÚ¤Ü¤¹±Æ¶Á¤Ë¤Ä¤¤¤Æ¸¡Æ¤¤·¤¿¡¥

1.È¿ÉüÅêÍ¿ÆÇÀ­

°ìÈ̾õÂÖ¡¤Âνſä°Ü¡¤ÀݱÂÎ̤ª¤è¤Ó·ì±Õ³Ø¸¡ºº¤Ç¤Ï¡¤È︳ʪ¼ÁÅêÍ¿¤Î±Æ¶Á¤Ï¤ß¤é¤ì¤Ê¤«¤Ã¤¿¡¥·ì±ÕÀ¸²½³Ø¸¡ºº¤Ç¤Ï¡¤ 500 mg/kg·²¤ËÁíÃÁÇò¼Á¡¤¥¢¥ë¥Ö¥ß¥ó¡¤Áí¥³¥ì¥¹¥Æ¥í¡¼¥ë¡¤¥È¥ê¥°¥ê¥»¥é¥¤¥É¤ª¤è¤Ó¥ê¥ó»é¼Á¤ÎÁý²Ã¤Ê¤é¤Ó¤Ë¥°¥ë¥³¡¼¥¹¤Î¸º¾¯¤¬Ç§¤á¤é¤ì¤¿¡¥Ë¶¸¡¤Ç¤Ï¡¤500 mg/kg·²¤Îͺ¤Ç¿Õ¡¤ÎÈîÂ礪¤è¤ÓÂà¿§¤¬¤ß¤é¤ì¡¤´ï´±½ÅÎ̤ǤÏͺ¤Ç100 mg/kg°Ê¾å¤Î·²¤Ë´Î¡¤ª¤è¤Ó¿Õ¡½ÅÎ̤ÎÁý²Ã¡¤»ó¤Ç¤Ï500 mg/kg·²¤Ë´Î¡½ÅÎ̤ÎÁý²Ã¤¬Ç§¤á¤é¤ì¤¿¡¥ÉÂÍýÁÈ¿¥³Ø¸¡ºº¤Ç¤Ï¡¤100 mg/kg°Ê¾å¤Î·²¤Î»óͺ¤Ç¾®ÍÕÃæ¿´À­¤Î´ÎºÙ˦¤ÎÈîÂ礬¤ß¤é¤ì¡¤Íº¤Ç¶á°ÌÇ¢ºÙ´É¾åÈé¤Î¾Ë»ÒÅ©¤Î½Ð¸½¡¤²õ»à¤ª¤è¤Ó¹¥±ö´ðÀ­ÊѲ½¤Ê¤é¤Ó¤Ë¶á°ÌÇ¢ºÙ´É¤Î³ÈÄ¥¤¬Ç§¤á¤é¤ì¤¿¡¥

2.À¸¿£È¯À¸ÆÇÀ­

¿ÆÆ°Êª¤ÎÀ¸¿£¤Ë´Ø¤·¤Æ¤Ï¡¤À­¼þ´ü¡¤»óͺ¤Î¸òÈøÎ¨¡¤¼ø (¼õ)ÂÛΨ¡¤²«Âοô¡¤Ãå¾²¿ô¡¤Ç¥¿±´ü´Ö¡¤½Ð»ºÎ¨¤ª¤è¤ÓʬÊÚ¾õÂÖ¤ËÈ︳ʪ¼ÁÅêÍ¿¤Î±Æ¶Á¤Ïǧ¤á¤é¤ì¤Ê¤«¤Ã¤¿¡¥»à»ºÎ¨¡¤½ÐÀ¸»ù¿ô¡¤½ÐÀ¸Î¨¤ª¤è¤Ó½ÐÀ¸»ù¤ÎÀ­Èæ¤ËÈ︳ʪ¼ÁÅêÍ¿¤Î±Æ¶Á¤Ï¤ß¤é¤ì¤º¡¤³°É½°Û¾ï¤ÎȯÀ¸¤â¤Ê¤«¤Ã¤¿¡¥½ÐÀ¸»ùÂνŤÎÁý²ÃÍÞÀ©¤¬20 mg/kg°Ê¾å¤ÎÅêÍ¿·²¤Ç¤ß¤é¤ì¤¿¤¬¡¤Ë¶¸¡¤Ç¤ÏÈ︳ʪ¼ÁÅêÍ¿¤Î±Æ¶Á¤Ïǧ¤á¤é¤ì¤Ê¤«¤Ã¤¿¡¥

°Ê¾å¤Î¤³¤È¤«¤é¡¤Ëܻ¾ò·ï²¼¤Ë¤ª¤±¤ëÈ¿ÉüÅêÍ¿ÆÇÀ­¤Ë´Ø¤¹¤ë̵±Æ¶ÁÎ̤ϻóͺ¤È¤â 20 mg/kg¡¤À¸¿£È¯À¸ÆÇÀ­¤Ë´Ø¤¹¤ë̵±Æ¶ÁÎÌ¤Ï¿ÆÆ°Êª¤Ç¤Ï500 mg/kg¡¤½ÐÀ¸»ù¤Ç¤Ï20 mg/kg̤Ëþ¤È¿ä»¡¤µ¤ì¤¿¡¥

Êý¡¡Ë¡

1.È︳ʪ¼Á¤ª¤è¤ÓÅêÍ¿±Õ¤ÎÄ´À½

(¥È¥ê¥Õ¥ë¥ª¥í¥á¥Á¥ë)¥Ù¥ó¥¼¥ó(½ãÅÙ99.7%¡¤Lot No.KCM2054¡¤Ï¸÷½ãÌô¹©¶È(³ô)Äó¶¡)¤Ï¡¤¥¨¥¿¥Î¡¼¥ë¤ª¤è¤Ó¥¨¡¼¥Æ¥ë¤Ë°×ÍÏ¡¤¿å¤ËÉÔÍϤÎ̵¿§Æ©ÌÀ¤Î±ÕÂΤǤ¢¤ë¡¥Æþ¼ê¸å¤ÎÈ︳ʪ¼Á¤Ï¼¼²¹¤ÇÊݴɤ·¡¤ÅêÍ¿´ü´Ö½ªÎ»¸å¤Ë¶¡µë¸»¤Ë¤ÆÊ¬ÀϤò¹Ô¤Ã¤Æ»î¸³´ü´ÖÃæ°ÂÄê¤Ç¤¢¤Ã¤¿¤³¤È¤ò³Îǧ¤·¤¿¡¥ÇÞÂΤˤϥ³¡¼¥ó¥ª¥¤¥ë(¥­¥·¥À²½³Ø(³ô)¡¤Lot ­â L51257F)¤ò»ÈÍѤ·¡¤¤³¤ì¤ËÈ︳ʪ¼Á¤ò0.4¡¤2¤ª¤è¤Ó10 w/v%Ç»Å٤ˤʤë¤è¤¦¤Ë·üÂù¤·¤ÆÅêÍ¿±Õ¤òÄ´À½¤·¤¿¡¥Ä´À½¤·¤¿ÅêÍ¿±Õ¤ÏÎä¢Êݸ¤·¤¿¡¥¤Ê¤ª¡¤ÅêÍ¿³«»Ï½µ¤Ë¡¤ÅêÍ¿±Õ¤ÎÇ»ÅÙ¤ò¬Äꤷ¡¤ÀßÄêÃͤΡÞ10%°ÊÆâ¤Ë¤¢¤ë¤³¤È¤ò³Îǧ¤·¤¿¡¥¤Þ¤¿¡¤ÅêÍ¿³«»ÏÁ°¤Ë¡¤ËÜÄ´À½Ë¡¤Ë¤è¤ë0.1¡¤1¤ª¤è¤Ó10 w/v%·üÂù±Õ¤¬Äã²¹¼×¸÷²¼¤ÇÄ´À½¸å8Æü´Ö°ÂÄê¤Ç¤¢¤ë¤³¤È¤ò³Îǧ¤·¤¿¡¥

2.»ÈÍÑÆ°Êª¤ª¤è¤Ó»ô°é¾ò·ï

9½µÎð¤ÎSprague-Dawley·Ï¥é¥Ã¥È(Crj¡§CD¡¤ÆüËÜ¥Á¥ã¡¼¥ë¥¹¡¦¥ê¥Ð¡¼(³ô))¤ò»óͺ³Æ55ɤ¹ØÆþ¤·¡¤7Æü´Ö¤Î¸¡±ÖÆë²½¤ò¹Ô¤Ã¤¿¤Î¤Á¡¤»óͺ³Æ48ɤ¤òÁª¤ó¤Ç10½µÎð¤Ç»î¸³¤Ë»ÈÍѤ·¤¿¡¥ÅêÍ¿³«»Ï»þ¤ÎÂνŤÏͺ¤Ç319.7¡Á391.2 g¡¤»ó¤Ç224.7¡Á265.0 g¤Ç¤¢¤Ã¤¿¡¥Æ°Êª¤Ï²¹ÅÙ24¡Þ2¡î¡¤¼¾ÅÙ55¡Þ10%¡¤¾ÈÌÀ12»þ´Ö(¸áÁ°7»þ¡Á¸á¸å7»þ)¤ª¤è¤Ó´¹µ¤²ó¿ô13²ó/»þ¤ËÀßÄꤷ¤¿¥Ð¥ê¥¢¡¼¥·¥¹¥Æ¥à»ô°é¼¼¤Ç¥¹¥Æ¥ó¥ì¥¹¥¹¥Á¡¼¥ëÀ½¥Ï¥ó¥¬¡¼¥±¡¼¥¸¤Ë¡¤ÅêÍ¿´ü´ÖÃæ¤Ï1ɤ(»óͺÊÌ)¡¤¸òÇÛ´ü´ÖÃæ¤Ï2ɤ(»óͺ³Æ1ɤ)¡¤Ç¥¿±¤ª¤è¤ÓÓ®°é´ü´ÖÃæ¤Ï¾²Éß(¥Û¥ï¥¤¥È¥Õ¥ì¡¼¥¯¡¤ÆüËÜ¥Á¥ã¡¼¥ë¥¹¡¦¥ê¥Ð¡¼(³ô))¤òÆþ¤ì¤¿¥Ý¥ê¥«¡¼¥Ü¥Í¥¤¥ÈÀ½¥±¡¼¥¸¤Ë1ɤ¤º¤Ä(Ó®°é´ü´ÖÃæ¤ÏÓ®°é»ù¤ò´Þ¤à)¼ýÍÆ¤·¡¤»ô°é¤·¤¿¡¥»ôÎÁ¤Ï¡¤¸Ç·¿»ôÎÁ(MF¡¤¥ª¥ê¥¨¥ó¥¿¥ë¹ÚÊ칩¶È(³ô))¤ò¡¤°û¿å¤Ï¼¡°¡±öÁÇ»À¥Ê¥È¥ê¥¦¥à¤òź²Ã(Ìó2 ppm)¤·¤¿¿å¤ò¤½¤ì¤¾¤ì¼«Í³¤ËÀݼ褵¤»¤¿¡¥

3.ÅêÍ¿ÎÌ¡¤ÅêÍ¿ÊýË¡¡¤»î¸³·²¹½À®¤ª¤è¤Ó·²Ê¬¤±

ÅêÍ¿Î̤ϡ¤Í½È÷»î¸³¤Î·ë²Ì¤è¤êÀßÄꤷ¤¿¡¥¤¹¤Ê¤ï¤Á¡¤ËÜÈ︳ʪ¼Á¤Î 0¡¤100¡¤500¤ª¤è¤Ó1000 mg/kg¤ò2½µ´ÖÈ¿ÉüÅêÍ¿¤·¤¿·ë²Ì¡¤500 mg/kg°Ê¾å¤Î·²¤ÇGPT¡¤Áí¥³¥ì¥¹¥Æ¥í¡¼¥ë¤ª¤è¤Ó¥ê¥ó»é¼Á¤ÎÁý²Ã¤Þ¤¿¤ÏÁý²Ã·¹¸þ¤Ê¤é¤Ó¤Ë´Î¡½ÅÎ̤ÎÁý²Ã¤¬¤ß¤é¤ì¡¤100 mg/kg·²¤Ë¤â¤½¤Î·¹¸þ¤¬±®¤ï¤ì¤¿¡¥¤·¤¿¤¬¤Ã¤Æ¡¤Ëܻ¤Ç¤Ï¹âÍÑÎ̤ò500 mg/kg¤È¤·¡¤°Ê²¼100¤ª¤è¤Ó 20 mg/kg¤òÀßÄꤷ¤¿¡¥

ÅêÍ¿·ÐÏ©¤Ï·Ð¸ý¤È¤·¡¤Íº¤Ç¤Ï¸òÇÛÁ° 14Æü´Ö¤ª¤è¤Ó¤½¤Î¸å¸òÇÛ´ü´Ö¤ò´Þ¤à35Æü´Ö¤Î¹ç·×49Æü´Ö¡¤»ó¤Ç¤Ï¸òÇÛÁ°14Æü´Ö¡¤¸òÇÛ´ü´Ö(ºÇĹ14Æü´Ö)¡¤Ç¥¿±´ü´Ö¤ª¤è¤ÓÓ®°é3Æü¤Þ¤Ç¤Î´ü´Ö¡¤1Æü1²ó¡¤°ß´É¤òÍѤ¤¤ÆÅêÍ¿¤·¤¿¡¥ÅêÍ¿ÍÆÎ̤Ï5 ml/kg¤È¤·¡¤Íº¤Ê¤é¤Ó¤Ë¸òÇÛÁ°¤ª¤è¤Ó¸òÇÛ´ü´ÖÃæ¤Î»ó¤Ë¤Ä¤¤¤Æ¤ÏºÇ¿·¤ÎÂνŤò´ð¤Ë¡¤¸òÈøÀ®Î©¸å¤Î»ó¤Ë¤Ä¤¤¤Æ¤ÏÇ¥¿±0Æü¤ÎÂνŤò´ð¤Ë¤½¤ì¤¾¤ì»»½Ð¤·¤¿¡¥

»î¸³·²¤Ï¡¤¾åµ­ 3ÍÑÎ̤˥³¡¼¥ó¥ª¥¤¥ë¤Î¤ß¤òÅêÍ¿¤¹¤ëÂоȤò²Ã¤¨·×4·²¤È¤·¤¿¡¥1·²Åö¤¿¤ê¤Îưʪ¿ô¤Ï»óͺ³Æ12ɤ¤È¤·¡¤·²Ê¬¤±¤Ï¡¤ÅêÍ¿³«»ÏÁ°Æü¤ÎÂνŤò´ð¤ËÁØÊÌϢ³̵ºî°Ù²½Ë¡¤Ç¹Ô¤Ã¤¿¡£

4.È¿ÉüÅêÍ¿ÆÇÀ­¤Ë´Ø¤¹¤ë´Ñ»¡¡¦¸¡ºº

1)°ìÈ̾õÂÖ

»óͺ¤È¤â¡¤Á´Îã¤Ë¤Ä¤¤¤Æ°ìÈ̾õÂ֤δѻ¡¤ª¤è¤Ó»àË´¤Î̵ͭ¤òËèÆü´Ñ»¡¤·¤¿¡¥

2)ÂνŤª¤è¤ÓÀݱÂÎÌ

ÂνŤˤĤ¤¤Æ¤Ï¡¤Íº¤ÏÅêÍ¿´ü´Ö¤òÄ̤¸¤Æ½µ 2²ó¬Äꤷ¤¿¡¥»ó¤Ï¡¤¸òÇÛÁ°¤ÎÅêÍ¿´ü´Ö¤ª¤è¤Ó¸òÇÛ´ü´ÖÃæ¤Ï½µ2²ó¡¤Ç¥¿±´ü´ÖÃæ¤ÏÇ¥¿±0¡¤4¡¤7¡¤10¡¤14¡¤17¤ª¤è¤Ó21Æü¡¤Ó®°é´ü´ÖÃæ¤ÏÓ®°é0(ʬÊÚÆü)¤ª¤è¤Ó4Æü¤Ë¬Äꤷ¤¿¡¥ÀݱÂÎ̤ˤĤ¤¤Æ¤Ï¡¤¸òÇÛ´ü´Ö¤ò½ü¤­ÂνŬÄêÆü¤Ë¬Äꤷ¤¿¤¬¡¤Ç¥¿±¤ª¤è¤ÓÓ®°é0Æü¤Ï¬Äꤻ¤º¡¤ÍâÆü¬Äꤷ¤¿¡¥

3)·ì±Õ³Ø¸¡ºº

ͺÁ´Îã¤Ë¤Ä¤¤¤Æ¡¤ÅêÍ¿´ü´Ö½ªÎ»¸å¤Ë¡¤ 18»þ´Ö°Ê¾åÀä¿©¤µ¤»¤¿¤Î¤Á¡¤¥Ú¥ó¥È¥Ð¥ë¥Ó¥¿¡¼¥ë¡¦¥Ê¥È¥ê¥¦¥àËã¿ì²¼¤Ë³«Ê¢¤·¡¤Ê¢ÉôÂçÀÅÌ®¤«¤éºÎ·ì¤ò¹Ô¤Ã¤¿¡¥ºÎ¼è¤·¤¿·ì±Õ¤Ï EDTA-2K½èÍý(EDTA-2K²Ã·ì±Õ)¤·¤ÆÂ¿¹àÌܼ«Æ°·ìµå·×¿ôÁõÃÖ(Sysmex CC-780¡¤Åì°¡°åÍÑÅÅ»Ò(³ô))¤òÍѤ¤¤Æ¡¤Çò·ìµå¿ô(Åŵ¤Äñ¹³¸¡½ÐÊý¼°)¡¤ÀÖ·ìµå¿ô(Åŵ¤Äñ¹³¸¡½ÐÊý¼°)¡¤¥Ø¥â¥°¥í¥Ó¥óÎÌ(¥ª¥­¥·¥Ø¥â¥°¥í¥Ó¥óË¡)¡¤¥Ø¥Þ¥È¥¯¥ê¥Ã¥ÈÃÍ(·ìµå¥Ñ¥ë¥¹ÇȹâÃ͸¡½ÐÊý¼°)¤ª¤è¤Ó·ì¾®ÈÄ¿ô(Åŵ¤Äñ¹³¸¡½ÐÊý¼°)¤ò¬Äꤷ¡¤¤³¤ì¤é¤ò´ð¤ËÊ¿¶ÑÀÖ·ìµåÍÆÀÑ(MCV)¡¤Ê¿¶ÑÀÖ·ìµå·ì¿§ÁÇÎÌ(MCH)¤ª¤è¤ÓÊ¿¶ÑÀÖ·ìµå·ì¿§ÁÇÇ»ÅÙ(MCHC)¤ò»»½Ð¤·¤¿¡¥

4)·ì±ÕÀ¸²½³Ø¸¡ºº

·ì±Õ³Ø¸¡ºº¤Ë°ú¤­Â³¤­ºÎ¼è¤·¤¿·ì±Õ¤ò¼¼²¹¤ÇÌó 60ʬ´ÖÊüÃָ塤3000²óž/ʬ¤Ç10ʬ´Ö±ó¿´Ê¬Î¥¤·¡¤ÆÀ¤é¤ì¤¿·ìÀ¶¤òÍѤ¤¤Æ¼«Æ°Ê¬ÀÏÁõÃÖ(736-10¡¤(³ô)ÆüΩÀ½ºî½ê)¤Ë¤è¤ê¡¤ÁíÃÁÇò¼Á(¥Ó¥¦¥ì¥Ã¥ÈË¡)¡¤¥¢¥ë¥Ö¥ß¥ó(BCGË¡)¡¤A/GÈæ(ÁíÃÁÇò¼Á¤ª¤è¤Ó¥¢¥ë¥Ö¥ß¥ó¤è¤ê»»½Ð)¡¤Áí¥Ó¥ê¥ë¥Ó¥ó(¥¢¥ë¥«¥ê¥¢¥¾¥Ó¥ê¥ë¥Ó¥óË¡)¡¤GOT(KarmenË¡)¡¤GPT(Wrblewski-La DueË¡)¡¤¦Ã-¥°¥ë¥¿¥ß¥ë¥È¥é¥ó¥¹¥Ú¥×¥Á¥À¡¼¥¼(L-¦Ã-¥°¥ë¥¿¥ß¥ë-DBHA´ð¼ÁË¡)¡¤¥¢¥ë¥«¥êÀ­¥Õ¥©¥¹¥Õ¥¡¥¿¡¼¥¼(p-¥Ë¥È¥í¥Õ¥§¥Ë¥ë¥ê¥ó»À´ð¼ÁË¡)¡¤Áí¥³¥ì¥¹¥Æ¥í¡¼¥ë(COD-DAOSË¡)¡¤¥È¥ê¥°¥ê¥»¥é¥¤¥É(GPO-DAOSË¡¡¦¥°¥ê¥»¥ê¥ó¾ÃµîË¡)¡¤¥ê¥ó»é¼Á(¹ÚÁÇË¡¡¦DAOSȯ¿§Ë¡)¡¤¥°¥ë¥³¡¼¥¹(¥°¥ë¥³¥­¥Ê¡¼¥¼¡¦G-6-PDHË¡)¡¤Ç¢ÁÇÃâÁÇ(¥¦¥ì¥¢¡¼¥¼-GlDHË¡)¡¤¥¯¥ì¥¢¥Á¥Ë¥ó(JaffË¡)¡¤Ìµµ¡¥ê¥ó(¥â¥ê¥Ö¥Ç¥ó»ÀľÀÜË¡)¤ª¤è¤Ó¥«¥ë¥·¥¦¥à(OCPCË¡)¤ò¬Äꤷ¤¿¡¥¤Þ¤¿¡¤ÅŲò¼ÁʬÀÏÁõÃÖ(PVA-¦ÁIII¡¤(³ô)¥¢¥Ê¥ê¥Æ¥£¥«¥ë¡¦¥¤¥ó¥¹¥Ä¥ë¥á¥ó¥Ä)¤Ë¤è¤ê¥Ê¥È¥ê¥¦¥à(ÅŶËË¡)¡¤¥«¥ê¥¦¥à(ÅŶËË¡)¤ª¤è¤Ó¥¯¥í¡¼¥ë(ÅÅÎÌÅ©ÄêË¡)¤ò¬Äꤷ¤¿¡¥

5)ÉÂÍý³Ø¸¡ºº

ͺ¤Ç¤ÏÅêÍ¿´ü´Ö½ªÎ»¸å¤ÎºÎ·ì¤ò¹Ô¤Ã¤¿¤Î¤Á¤Ë¡¤»ó¤Ç¤ÏÓ®°é 4Æü¤Ë¥¨¡¼¥Æ¥ëËã¿ì²¼¤Ç³°Â¦Ä²¹üư̮¤òÀÚÃǤ·¤ÆÊü·ì»à¤µ¤»¡¤²ò˶¤·¤Æ½ô´ï´±¤ª¤è¤ÓÁÈ¿¥¤ÎÆù´ãŪ´Ñ»¡¤ò¹Ô¤¤¡¤»ó¤Ë¤Ä¤¤¤Æ²«Âοô¤ª¤è¤ÓÃå¾²º¯¿ô¤òÄ´¤Ù¤¿¡¥Ë¶¸¡¸å¡¤Ç¾¡¤¿´Â¡¡¤ÇÙ(µ¤´É»Ù¤ò´Þ¤à)¡¤¶»Á£¡¤´Î¡¡¤ç£Â¡¡¤¿Õ¡¡¤Éû¿Õ¡¤ÀºÁ㡤ÀºÁã¾åÂΤª¤è¤ÓÍñÁã¤òŦ½Ð¤·¤Æ´ï´±½ÅÎÌ(ÀäÂнÅÎÌ)¤ò¬Äꤹ¤ë¤È¤È¤â¤Ë¡¤Ë¶¸¡Æü¤ÎÂνŤò´ð¤ËÂνÅÈæ´ï´±½ÅÎÌ(ÁêÂнÅÎÌ)¤ò»»½Ð¤·¤¿¡¥½ÅÎ̬Äê´ï´±¤Ë²Ã¤¨¡¤Æù´ãŪ°Û¾ïÉô°Ì¤òºÎ¼è¤·¤Æ10%ÃæÀ­´Ë¾×¥Û¥ë¥Þ¥ê¥óÍϱÕ(ÀºÁ㤪¤è¤ÓÀºÁã¾åÂΤϥ֥¢¥ó±Õ¤ÇÁ°¸ÇÄê)¤Ç¸ÇÄꤷ¤¿¡¥Âоȷ²¤ª¤è¤Ó500 mg/kg·²¤ÎǾ¡¤¿´Â¡¡¤ÇÙ(µ¤´É»Ù¤ò´Þ¤à)¡¤¶»Á£¡¤´Î¡¡¤ç£Â¡¡¤¿Õ¡¡¤Éû¿Õ¡¤ÀºÁ㡤ÀºÁã¾åÂΤª¤è¤ÓÍñÁã¤Ë¤Ä¤¤¤Æ¤Ï¡¤¾ïË¡¤Ë½¾¤Ã¤Æ¥Ñ¥é¥Õ¥£¥óÀÚÊÒ¤òºîÀ½¤·¡¤¥Ø¥Þ¥È¥­¥·¥ê¥ó¡¦¥¨¥ª¥¸¥ó(HE)À÷¿§¤ò»Ü¤·¡¤¸÷³Ø¸²Èù¶À²¼¤Ç´Ñ»¡¤·¤¿¡¥¤µ¤é¤Ë¡¤´Î¡¡¤¶»Á£¤ª¤è¤Ó¿Õ¡¤Ë¤Ä¤¤¤Æ¤Ï¡¤È︳ʪ¼ÁÅêÍ¿¤Ë´ØÏ¢¤·¤¿¤È¹Í¤¨¤é¤ì¤ëÊѲ½¤¬¤ß¤é¤ì¤¿¤¿¤á¡¤100 mg/kg°Ê²¼¤ÎÅêÍ¿·²¤Î¤³¤ì¤é¤Î´ï´±¤Ë¤Ä¤¤¤Æ¤âƱÍͤθ¡ºº¤ò¹Ô¤Ã¤¿¡¥¤Þ¤¿¡¤°ìÉô¤Îưʪ¤Ç´Î¡¤ª¤è¤Ó¿Õ¡¤Î»éËÃÀ÷¿§¤ò¼Â»Ü¤·¤¿¡¥¤Ê¤ª¡¤Æù´ãŪ°Û¾ïÉô°Ì¡¤¸òÈø¤¬³Îǧ¤µ¤ì¤Ê¤«¤Ã¤¿Íº¤ÎÀºÁ㡤ÀºÁã¾åÂΤª¤è¤Ó»ó¤ÎÍñÁã¤Ë¤Ä¤¤¤Æ¤Ï¡¤¤¹¤Ù¤ÆÉÂÍýÁÈ¿¥³Ø¸¡ºº¤ò¹Ô¤Ã¤¿¡¥

5.À¸¿£È¯À¸ÆÇÀ­¤Ë´Ø¤¹¤ë´Ñ»¡¡¦¸¡ºº

1)À¸¿£µ¡Ç½

»ó¤Ë¤Ä¤¤¤Æ¸òÇÛ³«»ÏÆü¤Î 2½µ´ÖÁ°(ÅêÍ¿³«»ÏÆü)¤«¤é¸òÈø³ÎǧÆü¤Þ¤Ç¡¤ËèÆü¸áÁ°¤Î°ìÄê»þ´Ö¤Ëç´¹¤¤òºÎ¼è¤·¡¤À­¼þ´ü¸¡ºº¤ò¹Ô¤Ã¤¿¡¥

¸òÇۤϻóͺ (12½µÎð)1ÂÐ1¤Ç°ìÈÕÆ±µï¤µ¤»¤ëÊýË¡¤Ç¹Ô¤¤¡¤Íâī紹¤Ãæ¤ÎÀº»Ò¤Þ¤¿¤Ïç´Àò¤¬³Îǧ¤µ¤ì¤¿¤â¤Î¤ò¸òÈøÀ®Î©¤È¤·¡¤¤½¤ÎÆü¤òÇ¥¿±0Æü¤È¤·¤¿¡¥¤Þ¤¿¡¤¸òÇÛ¤ÏÆ±°ì·²Æâ¤Ç¹Ô¤¤¡¤¸òÇÛ´ü´Ö¤ÏºÇĹ2½µ´Ö¤È¤·¤¿¡¥¤Ê¤ª¡¤¸òÇÛÁê¼ê¤¬»àË´¤·¤¿»ó¤Ë¤Ä¤¤¤Æ¤Ï¡¤Æ±·²Æâ¤Î¸òÈø¤¬³Îǧ¤µ¤ì¤¿Íº¤ÈƱµï¤µ¤»¤¿¡¥¸òÇÛ´ü´Ö½ªÎ»¸å¡¤¸òÈø½êÍׯü¿ô¡¤¸òÈøÎ¨¡Î(¸òÈøÆ°Êª¿ô/Ʊµïưʪ¿ô)¡ß100¡Ï¤ª¤è¤Ó¼ø(¼õ)ÂÛΨ¡Î(¼õÂÛÆ°Êª¿ô/¸òÈøÆ°Êª¿ô)¡ß100¡Ï¤ò»»½Ð¤·¤¿¡¥

2)ʬÊÚ¤ª¤è¤ÓÓ®°é¾õÂ֤ʤé¤Ó¤Ë¿·À¸»ù¤Î´Ñ»¡

¸òÈø¤¬³Îǧ¤µ¤ì¤¿»ó¤ÏÁ´Îã¤ò¼«Á³Ê¬ÊÚ¤µ¤»¡¤Ê¬ÊÚħ¸õ¤ò´Þ¤áʬÊÚ¾õÂÖ¤ª¤è¤Ó¼øÆý¡¤±ÄÁã¤Ê¤É¤ÎÓ®°é¾õÂÖ¤ò´Ñ»¡¤¹¤ë¤È¤È¤â¤Ë¡¤Ç¥¿±´ü´Ö¡¤½Ð»ºÎ¨¡Î (À¸»ù½Ð»º»ó¿ô/Ç¥¿±»ó¿ô)¡ß100¡Ï¤ò»»½Ð¤·¤¿¡¥¸á¸å12»þ¤Î»þÅÀ¤ÇʬÊÚ¤¬½ªÎ»¤·¤Æ¤¤¤ëưʪ¤òÅö³ºÆüʬÊڤȤ·¡¤¤½¤ÎÆü¤òÓ®°é0Æü¤È¤·¤¿¡£½Ð»º»ù¤Ë¤Ä¤¤¤Æ¤Ï¡¤Ê¬ÊÚ»þ¤Ë½Ð»º»ù¿ô¡¤½ÐÀ¸»ù¿ô¡¤»à»º»ù¿ô¡¤½ÐÀ¸»ù¤ÎÀ­Ê̤ª¤è¤Ó³°É½°Û¾ï¤ò¸¡ºº¤·¤¿¡¥½ÐÀ¸»ù¤Ë¤Ä¤¤¤Æ¤Ï¡¤½ÐÀ¸Æü¤ª¤è¤ÓÓ®°é4Æü¤ËÂνŤò¸ÄÂΤ´¤È¤Ë¬Äꤹ¤ë¤È¤È¤â¤Ë½ÐÀ¸Î¨[(½ÐÀ¸»ù¿ô/Ãå¾²º¯¿ô)¡ß100]¤ª¤è¤Ó4ÆüÀ¸Â¸Î¨¡Î(À¸¸å4Æü¤ÎÀ¸»ù¿ô¡¿½ÐÀ¸»ù¿ô)¡ß100¡Ï¤ò»»½Ð¤·¤¿¡¥À¸¸å4Æü¤Ë½ÐÀ¸»ù¤ÎÁ´Îã¤ò¥¨¡¼¥Æ¥ëËã¿ì²¼¤ÇÊü·ìÃ׻व¤»¡¤´ï´±¡¦ÁÈ¿¥¤ÎÆù´ãŪ´Ñ»¡¤ò¹Ô¤Ã¤¿¡¥

6.Åý·×½èÍý

Âνš¤ÀݱÂÎÌ¡¤·ì±Õ³Ø¸¡ºº¡¤·ì±ÕÀ¸²½³Ø¸¡ºº¡¤¸òÈø½êÍׯü¿ô¡¤À­¼þ´ü¸¡ººÃÍ (ȯ¾ð²ó¿ô¡¤È¯¾ð¼þ´ü)¡¤´ï´±½ÅÎÌ¡¤Ç¥¿±´ü´Ö¡¤²«Âοô¡¤Ãå¾²º¯¿ô¡¤Áí½Ð»º»ù¿ô¤ª¤è¤Ó½ÐÀ¸»ù¿ô¤Ë¤Ä¤¤¤Æ¤Ï³Æ·²¤´¤È¤ËÊ¿¶ÑÃͤÈɸ½àÊк¹¤òµá¤á¡¤BartlettË¡¤Ë¤è¤êʬ»¶¤Î¶Ñ°ìÀ­¤ò¸¡Äꤷ¤¿¡¥Ê¬»¶¤¬¶Ñ°ì¤Ê¾ì¹ç¤Ï°ì¸µÇÛÃÖ·¿¤Îʬ»¶Ê¬ÀϤò¹Ô¤¤¡¤¤³¤³¤Ç·²´Ö¤ËÍ­°Õº¹¤¬Ç§¤á¤é¤ì¡¤¤«¤Ä¡¤³Æ·²¤ÎÎã¿ô¤¬Æ±¤¸¾ì¹ç¤ÏDunnettË¡¤Ë¤è¤ê¡¤°Û¤Ê¤ë¾ì¹ç¤ÏScheffË¡¤Ë¤è¤êÂоȷ²¤È³Æ·²¤Î°ìÂÐÈæ³Ó¸¡Äê¤ò¹Ô¤Ã¤¿¡¥Ê¬»¶¤¬¶Ñ°ì¤Ç¤Ê¤¤¾ì¹ç¤ÏKruskal-Wallis¤Ë¤è¤Ã¤Æ½ç°Ì¸¡Äê¤ò¹Ô¤¤¡¤·²´Ö¤ËÍ­°Õº¹¤¬Ç§¤á¤é¤ì¡¤¤«¤Ä¡¤³Æ·²¤ÎÎã¿ô¤¬Æ±°ì¤Î¾ì¹ç¤ÏDunnett·¿¤Î¡¤°Û¤Ê¤ë¾ì¹ç¤ÏScheff·¿¤Î°ìÂÐÈæ³Ó¸¡Äê¤ò¹Ô¤Ã¤¿¡¥¾åµ­Ê¬»¶Ê¬ÀϤ¢¤ë¤¤¤ÏKruskal-WallisË¡¤Ç·²´Ö¤ËÍ­°Õº¹¤òǧ¤á¤Ê¤¤¾ì¹ç¤Ï³Æ·²¤Î¿½ÅÈæ³Ó¤Ï¹Ô¤ï¤Ê¤«¤Ã¤¿¡¥¤Þ¤¿¸òÈøÎ¨¡¤¼õ(¼ø)ÂÛΨ¡¤½Ð»ºÎ¨¤ª¤è¤Ó½ÐÀ¸»ù¤ÎÀ­Èæ¤Ë¤Ä¤¤¤Æ¤Ï¦Ö^2¸¡Äê¤Ë¤è¤ê¡¤»à»ºÎ¨¡¤½ÐÀ¸Î¨¤ª¤è¤Ó4ÆüÀ¸Â¸Î¨¤Ë¤Ä¤¤¤Æ¤ÏWilcoxon¤Î½ç°Ìϸ¡Äê¤Ë¤è¤êÂоȷ²¤È³ÆÅêÍ¿·²´Ö¤ÎÈæ³Ó¤ò¹Ô¤Ã¤¿¡¥¤¤¤º¤ì¤Î¾ì¹ç¤âÍ­°Õ¿å½à¤ò5%¤È¤·¤¿¡¥¤Ê¤ª¡¤½ÐÀ¸»ù¤Ë´Ø¤¹¤ë¬ÄêÃͤˤĤ¤¤Æ¤Ï°ìʢñ°Ì¤Ç½èÍý¤·¤¿¡¥

·ë¡¡²Ì

1.È¿ÉüÅêÍ¿ÆÇÀ­

1)°ìÈ̾õÂÖ

³ÆÅêÍ¿·²¤Î»óͺ¤È¤âÅêÍ¿´ü´Ö¤òÄ̤·¤ÆÈ︳ʪ¼ÁÅêÍ¿¤Ë¤è¤ë°ìÈ̾õÂÖ¤ÎÊѲ½¤Ïǧ¤á¤é¤ì¤Ê¤«¤Ã¤¿¡¥¤Ê¤ª¡¤ÅêÍ¿²á¸í¤Ë¤è¤ê 500 mg/kg·²¤Î»óͺ³Æ£±Î㤬»àË´¤·¤¿¡¥

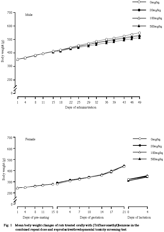
2)ÂνÅ(Fig.1)¤ª¤è¤ÓÀݱÂÎÌ

³ÆÅêÍ¿·²¤Î»óͺ¤È¤âÅêÍ¿´ü´Ö¤òÄ̤·¤ÆÂνŤª¤è¤ÓÀݱÂÎ̤ËÂоȷ²¤È¤Î´Ö¤Îº¹¤Ïǧ¤á¤é¤ì¤Ê¤«¤Ã¤¿¡¥

3)·ì±Õ³Ø¸¡ºº(Table 1)

500 mg/kg·²¤ÇMCH¤Ë¤´¤¯·ÚÅ٤θº¾¯¤¬¤ß¤é¤ì¤¿¤¬¡¤Â¾¤ÎÀÖ·ìµå·Ï¥Ñ¥é¥á¡¼¥¿¤ËÊÑÆ°¤Ï¤ß¤é¤ì¤º¡¤ÆÇÀ­³ØÅª°ÕµÁ¤Ï¤Ê¤¤¤â¤Î¤È¹Í¤¨¤é¤ì¤¿¡¥

4)·ì±ÕÀ¸²½³Ø¸¡ºº(Table 2)

GOT¤ÎÄã²¼¤¬100¤ª¤è¤Ó500 mg/kg·²¤Çǧ¤á¤é¤ì¤¿¡¥¤µ¤é¤Ë¡¤500 mg/kg·²¤ÇÁíÃÁÇò¼Á¡¤¥¢¥ë¥Ö¥ß¥ó¡¤Áí¥³¥ì¥¹¥Æ¥í¡¼¥ë¡¤¥È¥ê¥°¥ê¥»¥é¥¤¥É¡¤¥ê¥ó»é¼Á¤ª¤è¤Ó¥«¥ë¥·¥¦¥à¤ÎÁý²Ã¤Ê¤é¤Ó¤Ë¥°¥ë¥³¡¼¥¹¤Î¸º¾¯¤¬Ç§¤á¤é¤ì¤¿¡¥

5)´ï´±½ÅÎÌ(Table 3)

ͺ¤Ç¤Ï¡¤ 500 mg/kg·²¤Ç´Î¡¤ª¤è¤Ó¿Õ¡¤ÎÀäÂФª¤è¤ÓÁêÂнÅÎ̤ÎÁý²Ã¤¬¤ß¤é¤ì¡¤100 mg/kg·²¤Ë¤ª¤¤¤Æ¤â´Î¡¤ÎÀäÂнÅÎ̤ÎÁý²Ã·¹¸þ¤ª¤è¤ÓÁêÂнÅÎ̤ÎÁý²Ã¡¤¿Õ¡¤ÎÀäÂФª¤è¤ÓÁêÂнÅÎ̤ÎÁý²Ã·¹¸þ¤¬Ç§¤á¤é¤ì¤¿¡¥

»ó¤Ç¤Ï¡¤ 500 mg/kg·²¤Ç´Î¡¤ÎÀäÂФª¤è¤ÓÁêÂнÅÎ̤ÎÁý²Ã¤¬Ç§¤á¤é¤ì¤¿¡¥

6)˶¸¡½ê¸«

ÅêÍ¿´ü´Ö½ªÎ»¸å¤Îͺ¤Î˶¸¡¤Ç¤Ï¡¤ 500 mg/kg·²¤Ç¿Õ¡¤ÎÈîÂ礬2Î㡤Âà¿§¤¬3Î㡤¾®´Ù±ú¤¬1Îã¤Ëǧ¤á¤é¤ì¤¿¡¥¤½¤Î¤Û¤«¡¤Âоȷ²¤Î1Îã¤ËÇ٤γ¥Çò¿§²½¤¬¤ß¤é¤ì¤¿¡¥

Ó®°é 4Æü¤Î»ó¤Î˶¸¡¤Ç¤Ï¡¤ç£Â¡¤È¼þ°Ï»éËÃÁÈ¿¥¤È¤ÎÌþÃ夬Âоȷ²¤Î1Î㡤´Î¡¤Î²£³ÖËìÌÌ·ëÀ᤬20 mg/kg·²¤Î1Îã¤Ëǧ¤á¤é¤ì¤¿¡¥

7)ÉÂÍýÁÈ¿¥³Ø¸¡ºº(Table 4)

ͺ¤Ç¤Ï¡¤¾®ÍÕÃæ¿´À­¤Î´ÎºÙ˦¤ÎÈîÂ礬 500 mg/kg·²¤Î11Î㡤100 mg/kg·²¤Î10Îã¤Ëǧ¤á¤é¤ì¤¿¡¥¤Þ¤¿¡¤¿Õ¡¤Î¶á°ÌÇ¢ºÙ´É¾åÈé¤Î¾Ë»ÒÅ©¤Î½Ð¸½¤ª¤è¤Ó¾åÈé¤Î²õ»à¤¬500 mg/kg·²¤Î11Î㡤100 mg/kg·²¤Î12Î㡤¶á°ÌÇ¢ºÙ´É¤Î³ÈÄ¥¤¬500 mg/kg·²¤Î9Î㡤100 mg/kg·²¤Î1Î㡤¶á°ÌÇ¢ºÙ´É¾åÈé¤Î¹¥±ö´ðÀ­ÊѲ½¤¬500 mg/kg·²¤Î6Î㡤100 mg/kg·²¤Î2Î㡤¿Õ¡¤Îáíº¯¤¬500 mg/kg·²¤Î1Îã¤Ëǧ¤á¤é¤ì¤¿¡¥¤½¤Î¤Û¤«¡¤¶öȯŪÊѲ½¤È¤·¤ÆÂоȷ²¤Ç¤Ïͺ¤Î1Îã¤ËÇ٤Υޥ¯¥í¥Õ¥¡¡¼¥¸¤Ë¤è¤ëÇÙË¦Ãæ³Ö¤¢¤ë¤¤¤Ï¥ê¥ó¥Ñµå¤Ë¤è¤ë·ì´É¼þ°Ï¤Ø¤ÎºÙ˦¿»½á¤ª¤è¤ÓÆ°Ì®ÃæËì¤ÎÈî¸ü¤¬¤ß¤é¤ì¤¿¡¥

»ó¤Ç¤Ï¡¤¾®ÍÕÃæ¿´À­¤Î´ÎºÙ˦¤ÎÈîÂ礬 500 mg/kg·²¤Î10Î㡤100 mg/kg·²¤Î3Î㡤¶»Á£Èé¼Á¤Î°à½Ì¤¬500 mg/kg·²¤Î2Îã¤Ëǧ¤á¤é¤ì¤¿¡¥¤½¤Î¤Û¤«¡¤¶öȯŪÊѲ½¤È¤·¤ÆÂоȷ²¤ª¤è¤Ó500 mg/kg·²¤Î³Æ1Îã¤Ëç£Â¡¤Î¿ñ³°Â¤·ì¤Îж¿Ê¡¤Âоȷ²¤Î1Îã¤Ëç£Â¡¤È¼þ°Ï»éËÃÁÈ¿¥¤È¤ÎÌþÃ夬ǧ¤á¤é¤ì¤¿¡¥¤Þ¤¿¡¤Âоȷ²¤Î1Îã¤ËÇ٤Υޥ¯¥í¥Õ¥¡¡¼¥¸¤Ë¤è¤ëÇÙË¦Ãæ³Ö¤¢¤ë¤¤¤Ï¥ê¥ó¥Ñµå¤Ë¤è¤ë·ì´É¼þ°Ï¤Ø¤ÎºÙ˦¿»½á¤ª¤è¤ÓÆ°Ì®ÃæËì¤ÎÈî¸ü¤¬¤ß¤é¤ì¤¿¡¥

500 mg/kg·²¤Î»ó¤Î»àË´Îã¤Ç¤Ï¡¤À¸Â¸Îã¤ÈƱÍͤξ®ÍÕÃæ¿´À­¤Î´ÎºÙ˦¤ÎÈîÂ礬¤ß¤é¤ì¤¿¤Û¤«¡¤¿Õ¡¤Î´Ö¼Á¤ÎÌÓºÙ·ì´É¡¤¾®ÀÅÌ®¤ª¤è¤Óư̮¤Ê¤é¤Ó¤Ë»åµåÂÎÌÓºÙ·ì´É¤Î·ìÀò¤¬¤ß¤é¤ì¡¤¤µ¤é¤Ë¶»Á£Èé¼Á¤Î¥ê¥ó¥Ñµå¤Î²õ»à¤ª¤è¤ÓÁ°°ß¤ÎÄÙá礬ǧ¤á¤é¤ì¤¿¡¥

100 mg/kg·²¤ÎÁ´»ù»àË´Îã¤Ç¤Ï¡¤´Î¾®ÍÕÊÕ±ïÉô¤«¤éÃæ´ÖÂӤˤ«¤±¤Æ¤Î»éËò½¡¤¶á°ÌÇ¢ºÙ´É¾åÈé¤Î»éËò½¤ª¤è¤Ó²õ»à¤¬Ç§¤á¤é¤ì¤¿¡¥

2.À¸¿£È¯À¸ÆÇÀ­

1)À¸¿£µ¡Ç½(Table 5)

À­¼þ´ü¸¡ºº¤Ç¤Ï³ÆÅêÍ¿·²¤È¤âȯ¾ð²ó¿ô¤ª¤è¤Óȯ¾ð¼þ´ü¤ËÂоȷ²¤È¤Î´Ö¤Îº¹¤Ïǧ¤á¤é¤ì¤Ê¤«¤Ã¤¿¡¥

À¸¿£Ç½Îϸ¡ºº¤Ç¤Ï 100 mg/kg·²¤Î1ÁȤò½ü¤¤¤Æ¤¹¤Ù¤Æ¤Ë¸òÈø¤¬¤ß¤é¤ì¡¤¸òÈø³ÎǧÎã¤ÎÁ´Îã¤ËÇ¥¿±¤¬Ç§¤á¤é¤ì¤¿¡¥¤·¤¿¤¬¤Ã¤Æ¡¤¸òÈøÎ¨¤Ï¡¤Âоȷ²¡¤20¡¤100¤ª¤è¤Ó500 mg/kg·²¤Ç¤½¤ì¤¾¤ì100¡¤100¡¤91.67¤ª¤è¤Ó100%¡¤¼õÂÛΨ¤Ï¤¤¤º¤ì¤â100%¤ÎÀ®ÀÓ¤ò¼¨¤·¡¤¸òÈø½êÍׯü¿ô¤Ë¤ª¤¤¤Æ¤âÂоȷ²¤È³ÆÅêÍ¿·²´Ö¤Îº¹¤Ïǧ¤á¤é¤ì¤Ê¤«¤Ã¤¿¡¥¤Ê¤ª¡¤100 mg/kg·²¤Î̤¸òÈøÎã¤Ç¤Ï¡¤»óͺ¤È¤âÀ¸¿£´ï¤Î˶¸¡¤ª¤è¤ÓÉÂÍýÁÈ¿¥³Ø¸¡ºº¤ËÊѲ½¤Ï¤ß¤é¤ì¤º¡¤¼ø(¼õ)ÂÛǽ¤Î·çÇ¡¤ò¼¨º¶¤¹¤ë½ê¸«¤Ïǧ¤á¤é¤ì¤Ê¤«¤Ã¤¿¡¥

2)ʬÊÚ¤ª¤è¤ÓÓ®°é¤Ê¤é¤Ó¤Ë¿·À¸»ù¤Î´Ñ»¡(Table 6)

ʬÊÚ»þ¤Î¸¡ºº¤Ç¤Ï¡¤ 500 mg/kg·²¤Ç1ÊìÆ°Êª¤¬Ç¥¿±23Æü¤ÎʬÊÚ¸å¤Ë»àË´¤·¤¿¡¥ËÜÎã¤Ç¤Ï¡¤½Ð»º»ù(»à»º»ù4ɤ¡¤À¸Â¸»ù12ɤ)¤Îȯ°é¤Ë¤ÏÆÃ¤ËÊѲ½¤Ï¤ß¤é¤ì¤Ê¤«¤Ã¤¿¤¬¡¤·ì±Õ¤Ë¤è¤ë²¼Ê¢Éô¤Î±ø¤ì¤¬¸²Ãø¤Ë¤ß¤é¤ì¡¤½Ð»º»ù¤ÎÍÓËì½üµî¡¤ÂÛÈ×½èÍý¤Ê¤é¤Ó¤Ë»ù¤Î²ó½¸¤Ê¤É¤ÏÉÔ½¼Ê¬¤Ç¤¢¤Ã¤¿¡¥Ë¶¸¡¤Ç¤Ï¡¤¶»¿åÃùα¡¤Ç٤ΰÅÀÖ¿§²½¡¤µ¤´É¤ËË¢Ë÷¾õ¿åÍͱÕÃùᤪ¤è¤ÓÁ°°ßÇ´Ëì¤ÎÇò¿§ÅÀÅÀºß¤¬Ç§¤á¤é¤ì¤¿¡¥

20 mg/kg·²¤Î²«Âοô¤ª¤è¤Ó100 mg/kg·²¤ÎÃå¾²º¯¿ô¤Ë¤½¤ì¤¾¤ìÁý²Ã¤¬Ç§¤á¤é¤ì¤¿¤¬¡¤500 mg/kg·²¤Î²«Âοô¤ª¤è¤ÓÃå¾²º¯¿ô¤ËÊѲ½¤Ïǧ¤á¤é¤ì¤Ê¤«¤Ã¤¿¡¥

³ÆÅêÍ¿·²¤È¤âÇ¥¿±´ü´Ö¡¤Áí½Ð»º»ù¿ô¡¤½Ð»ºÎ¨¡¤»à»ºÎ¨¡¤½ÐÀ¸»ù¿ô¡¤½ÐÀ¸Î¨¤ª¤è¤Ó½ÐÀ¸»ù¤ÎÀ­Èæ¤ËÂоȷ²¤È¤Î´Ö¤Ëº¹¤Ïǧ¤á¤é¤ì¤Ê¤«¤Ã¤¿¡¥¤Þ¤¿¡¤³°É½°Û¾ï»ù¤Ï¡¤³ÆÅêÍ¿·²¤È¤â 1Îã¤âǧ¤á¤é¤ì¤Ê¤«¤Ã¤¿¡¥

½ÐÀ¸»ù¤ÎÂνŤǤϡ¤³ÆÅêÍ¿·²¤È¤â½ÐÀ¸Æü¤ª¤è¤ÓÀ¸¸å 4Æü¤È¤â¤Ë¸º¾¯¤¬Ç§¤á¤é¤ì¤¿¡¥

Ó®°é´ü¤Î¸¡ºº¤Ç¤Ï¡¤»ù¤Î²ó½¸¡¤¼øÆý¤Ê¤É¤ÎÓ®°é¹Ôư¤ÎÄã²¼¤¬ 100 mg/kg·²¤Î1ÊìÆ°Êª¤Ë¤ß¤é¤ì¡¤Ê¬ÊÚ¸å2Æü¤Þ¤Ç¤Ë½ÐÀ¸»ù¤ÎÁ´Î㤬»àË´¤·¤¿¡¥

4ÆüÀ¸Â¸Î¨¤Ç¤Ï¡¤500 mg/kg·²¤Ë¸º¾¯¤¬Ç§¤á¤é¤ì¤¿¡¥¤Ê¤ª¡¤100 mg/kg·²¤Ë¤â¸º¾¯·¹¸þ¤¬Ç§¤á¤é¤ì¤¿¤¬¡¤¤³¤ÎÊѲ½¤ÏÅö³º·²¤Î1ÊìÆ°Êª¤ËÁ´»ù»àË´¤¬¤ß¤é¤ì¤¿¤³¤È¤Ë¤è¤ë¤â¤Î¤Ç¤¢¤Ã¤¿¡¥

½ÐÀ¸»ù¤Î˶¸¡¤Ç¤Ï¡¤´Î¡Æâ¦º¸Íդβ«Çò¿§²½¤¬ 100 mg/kg·²¤Î1Îã¤Ëǧ¤á¤é¤ì¤¿¤Î¤ß¤Ç¤¢¤Ã¤¿¡¥

¹Í¡¡»¡

1.È¿ÉüÅêÍ¿ÆÇÀ­

´Î¡¤ª¤è¤Ó¿Õ¡¤ÇÈ︳ʪ¼ÁÅêÍ¿¤Ëµ¯°ø¤·¤¿ÊѲ½¤¬Ç§¤á¤é¤ì¤¿¡¥´Î¡¤Ç¤Ï¡¤½ÅÎ̤ÎÁý²Ã¤¬Íº¤Î 100 mg/kg°Ê¾å¤ÎÅêÍ¿·²¤ª¤è¤Ó»ó¤Î500 mg/kg·²¤Ëǧ¤á¤é¤ì¡¤¾®ÍÕÃæ¿´À­¤Î´ÎºÙ˦¤ÎÈîÂ礬»óͺ¤Î100 mg/kg°Ê¾å¤ÎÅêÍ¿·²¤Ç¤ß¤é¤ì¤¿¡¥¤Þ¤¿¡¤¿Õ¡¤Ç¤Ï¡¤½ÅÎ̤ÎÁý²Ã¤È¶á°ÌÇ¢ºÙ´É¾åÈé¤Ë¤ª¤±¤ë¾Ë»ÒÅ©¤Î½Ð¸½¡¤²õ»à¡¤¹¥±ö´ðÀ­ÊѲ½¤ª¤è¤Ó¶á°ÌÇ¢ºÙ´É¤Î³ÈÄ¥¤¬Íº¤Î100 mg/kg°Ê¾å¤ÎÅêÍ¿·²¤Ëǧ¤á¤é¤ì¤¿¡¥ËÜÈ︳ʪ¼Á¤È¤Ï¥Ï¥í¥²¥ó´ð¤¬°Û¤Ê¤ë¥È¥ê¥¯¥í¥í¥È¥ë¥¨¥ó¤Ç¤â´Î¡¤ª¤è¤Ó¿Õ¡¤ËÂФ¹¤ë±Æ¶Á¤¬Êó¹ð¤µ¤ì¤Æ¤ª¤ê£²¡Ë¡¤¤³¤ì¤é¤ÎÎà»÷²½¹çʪ¤Ç¤Ï´Î¡¤ª¤è¤Ó¿Õ¡¤¬É¸Åª´ï´±¤Ë¤Ê¤ë²ÄǽÀ­¤¬¼¨º¶¤µ¤ì¤¿¡¥Íº¤Î·ì±ÕÀ¸²½³Ø¸¡ºº¤Ç¤Ï¡¤500 mg/kg·²¤ÇÁíÃÁÇò¼Á¡¤¥¢¥ë¥Ö¥ß¥ó¡¤Áí¥³¥ì¥¹¥Æ¥í¡¼¥ë¡¤¥È¥ê¥°¥ê¥»¥é¥¤¥É¤ª¤è¤Ó¥ê¥ó»é¼Á¤ÎÁý²Ã¤Ê¤é¤Ó¤Ë¥°¥ë¥³¡¼¥¹¤Î¸º¾¯¤¬Ç§¤á¤é¤ì¤¿¤¬¡¤¤³¤ì¤é¤âËÜÈ︳ʪ¼Á¤Î´Î¡¤ËÂФ¹¤ë±Æ¶Á¤Ë´ØÏ¢¤·¤¿ÊѲ½¤Î¤è¤¦¤Ë¹Í¤¨¤é¤ì¤¿¡¥¤Þ¤¿¡¤Åö³º·²¤Ç¤Ï¥«¥ë¥·¥¦¥à¤ÎÁý²Ã¤âǧ¤á¤é¤ì¤¿¤¬¡¤¤³¤ì¤Ï¥¢¥ë¥Ö¥ß¥ó¤ÎÁý²Ã¤Ëȼ¤Ã¤¿ÊѲ½¤È»×¤ï¤ì¤¿¡¥¤·¤«¤·¡¤È︳ʪ¼ÁÅêÍ¿¤Ëµ¯°ø¤·¤¿¾É¾õ¤Îȯ¸½¤ä¡¤ÂνŤª¤è¤ÓÀݱÂÎ̤ËÂФ¹¤ë±Æ¶Á¤Ï¤¤¤º¤ì¤ÎÅêÍ¿·²¤Ë¤âǧ¤á¤é¤ì¤º¡¤Á´¿È¾õÂ֤ΰ­²½¤òÍ褹¤è¤¦¤ÊÆÇÀ­¤Ë¤Ï»ê¤é¤Ê¤«¤Ã¤¿¤È¹Í¤¨¤é¤ì¤¿¡¥¤Ê¤ª¡¤¿Õ¡¤Ç¤Ïͺ¤Î500 mg/kg·²¤Î1Îã¤ËÆù´ãŪ¤Ë¾®´Ù±ú¤¬¤ß¤é¤ì¡¤ÁÈ¿¥³ØÅª¤Ë¤Ïáíº¯¤¬Ç§¤á¤é¤ì¤¿¤¬¡¤ËÜÊѲ½¤ÏÀµ¾ï¥é¥Ã¥È¤Ç¤â»þÀޤߤé¤ì¤ëÊѲ½¤Ç¤¢¤ê¡¤È¯À¸Îã¿ô¤â¾¯¤Ê¤¤¤³¤È¤«¤éÈ︳ʪ¼ÁÅêÍ¿¤Ëµ¯°ø¤·¤¿¤â¤Î¤È¤Ï¹Í¤¨Æñ¤«¤Ã¤¿¡¥¤Þ¤¿¡¤¶»Á£¤Ç¤Ï»ó¤Î500 mg/kg·²¤Î2Îã¤ËÁÈ¿¥³ØÅª¤Ë°à½Ì¤¬¤ß¤é¤ì¤¿¤¬¡¤ÊѲ½¤ÎÄøÅ٤ϷÚÈù¤ÇȯÀ¸Îã¿ô¤â¾¯¤Ê¤¤¤³¤È¤ª¤è¤Óͺ¤Ç¤Ï¶»Á£¤ò¤Ï¤¸¤á¥ê¥ó¥Ñ·Ï¤Ø¤ÎºîÍѤò¼¨º¶¤¹¤ëÊѲ½¤Ïǧ¤á¤é¤ì¤Ê¤«¤Ã¤¿¤³¤È¤«¤é¡¤È︳ʪ¼Á¤ÎľÀÜŪ¤Ê±Æ¶Á¤è¤ê¤ÏʬÊÚ¤Ëȼ¤Ã¤¿¥¹¥È¥ì¥¹À­¤ÎÊѲ½¤Ç¤¢¤ë²ÄǽÀ­¤¬¹â¤¤¤È»×¤ï¤ì¤¿¡¥

°Ê¾å¤Î¤³¤È¤«¤é¡¤Ëܻ¾ò·ï²¼¤Ë¤ª¤±¤ëÈ¿ÉüÅêÍ¿ÆÇÀ­¤Ë´Ø¤¹¤ë̵±Æ¶ÁÎ̤ϻóͺ¤È¤â 20 mg/kg¤È¿äÄꤵ¤ì¤¿¡¥

2.À¸¿£È¯À¸ÆÇÀ­

¿ÆÆ°Êª¤ÎÀ¸¿£µ¡Ç½¤Ë´Ø¤·¤Æ¤Ï¡¤À­¼þ´ü¡¤»óͺ¤Î¸òÈøÎ¨¤ª¤è¤Ó¼ø (¼õ)ÂÛΨ¤ËÈ︳ʪ¼ÁÅêÍ¿¤Î±Æ¶Á¤Ïǧ¤á¤é¤ì¤Ê¤«¤Ã¤¿¡¥

ʬÊÚ»þ¤Î´Ñ»¡¤Ç¤Ï¡¤ 500 mg/kg·²¤Î1ÊìÆ°Êª¤¬Ç¥¿±23Æü¤ÎʬÊڤνªÎ»¸å¤Ë»àË´¤·¤¿¡¥ËÜÎã¤Ç¤ÏÇ¥¿±´ü´ÖÃæ¤Î°ìÈ̾õÂ֤ʤé¤Ó¤Ë½Ð»º»ù¤Îȯ°é¤Ë¤ÏÆÃ¤ËÊѲ½¤Ï¤ß¤é¤ì¤Ê¤«¤Ã¤¿¤¬¡¤Ê¬ÊÚ»þ¤Ë¸²Ãø¤Ê½Ð·ì¤¬¤ß¤é¤ì¡¤½Ð»º»ù¤ÎÍÓËì½üµî¡¤ÂÛÈ×½èÍý¤Ê¤é¤Ó¤Ë»ù¤Î²ó½¸¤Ê¤É¤ÎÊìÀ­¹Ôư¤¬Àµ¾ï¤Ë¹Ô¤ï¤ì¤¿·ÁÀפÏǧ¤á¤é¤ì¤Ê¤«¤Ã¤¿¤³¤È¤«¤é¡¤¤½¤Î»à°ø¤Ë¤Ä¤¤¤Æ¤ÏʬÊÚ¤Ëȼ¤¦¾ÃÌ×À­¤ÎÊѲ½¤È¹Í¤¨¤é¤ì¤¿¡¥¤·¤«¤·¤Ê¤¬¤é¡¤¤³¤ÎÍͤÊʬÊÚ°Û¾ï¤ÏÅö³º·²¤Î¤Û¤«¤ÎÊìÆ°Êª¤Ë¤Ï´Ñ»¡¤µ¤ì¤º¡¤½Ð¸½Îã¿ô¤â¾¯¤Ê¤¤¤³¤È¤«¤éÈ︳ʪ¼ÁÅêÍ¿¤È¤ÎľÀÜŪ¤Ê´ØÏ¢À­¤Ï¤Ê¤¤¤è¤¦¤Ë»×¤ï¤ì¤¿¡¥Åö³º·²¤Ç¤ÏÇ¥¿±´ü´Ö¡¤Áí½Ð»º»ù¿ô¡¤½Ð»ºÎ¨¡¤»à»ºÎ¨¡¤½ÐÀ¸»ù¿ô¡¤½ÐÀ¸Î¨¤ª¤è¤Ó½ÐÀ¸»ù¤ÎÀ­Èæ¤ËÈ︳ʪ¼ÁÅêÍ¿¤Î±Æ¶Á¤Ïǧ¤á¤é¤ì¤Ê¤«¤Ã¤¿¡¥°ìÊý¡¤20 mg/kg°Ê¾å¤Î·²¤Ç½ÐÀ¸Æü¤ËÂνŸº¾¯¤¬Ç§¤á¤é¤ì¡¤ËÜÈ︳ʪ¼Á¤ÎÂÛÀ¸´ü¤Îȯ°é¤ËÂФ¹¤ë±Æ¶Á¤¬¼¨º¶¤µ¤ì¤¿¤¬¡¤æõÃ×»àºîÍѤò±®¤ï¤»¤ë½ÐÀ¸»ù¿ô¤Î¸º¾¯¤Ï¤ß¤é¤ì¤Æ¤ª¤é¤º¡¤³°É½°Û¾ï¤â´Ñ»¡¤µ¤ì¤Ê¤«¤Ã¤¿¡¥

Ó®°é´ü¤Î´Ñ»¡¤Ë¤ª¤¤¤Æ¤â¡¤½ÐÀ¸»ù¤Î·Ñ³¤·¤¿ÂνŤÎÁý²ÃÍÞÀ©¤¬¤ß¤é¤ì¡¤ 500 mg/kg·²¤Ë4ÆüÀ¸Â¸Î¨¤ÎÄã²¼¤¬¤´¤¯·ÚÅÙ¤Ëǧ¤á¤é¤ì¤¿¡¥ÂνŤÎÁý²ÃÍÞÀ©¤Ï¡¤ÂÛÀ¸´ü¤Îȯ°éÍÞÀ©¤òÈ¿±Ç¤·¤Æ¤¤¤ë¤â¤Î¤È¹Í¤¨¤é¤ì¡¤¤½¤ÎÆâ¡¤ÆÃ¤ËÄ㤤ÂνŤò¼¨¤·¤¿»ù¤¬À¸Â¸¤Ç¤­¤Ê¤«¤Ã¤¿¤â¤Î¤È¹Í¤¨¤é¤ì¤¿¡¥¤½¤Î¤Û¤«¡¤Ó®°éÉÔÎɤˤè¤ëÁ´»ù»àË´¤¬100 mg/kg·²¤Î1ÊìÆ°Êª¤Ëǧ¤á¤é¤ì¤¿¤¬¡¤500 mg/kg·²¤ËÁ´»ù»àË´¤Ï´Ñ»¡¤µ¤ì¤Ê¤«¤Ã¤¿¤³¤È¤«¤éÆÃ¤ËÌäÂê»ë¤¹¤ëÊѲ½¤È¤Ï¹Í¤¨Æñ¤«¤Ã¤¿¡¥

°Ê¾å¤Î¤³¤È¤«¤é¡¤Ëܻ¾ò·ï²¼¤Ë¤ª¤±¤ëÀ¸¿£È¯À¸ÆÇÀ­¤Ë´Ø¤¹¤ë̵±Æ¶ÁÎ̤Ïͺ¤ª¤è¤Ó»ó¤ÎÀ¸¿£¤ËÂФ·¤Æ¤Ï 500 mg/kg¡¤»ù¤ÎȯÀ¸¤ËÂФ·¤Æ¤Ï20 mg/kg̤Ëþ¤È¿ä»¡¤µ¤ì¤¿¡¥

ʸ¡¡¸¥

1)D. V. Sweet, "Registry of Toxic Effects of Chemical Substances", Vol. 5, U.S. Government printing office, Washington, D C, 1987, pp.1985-1986.
2)I. Chu, et al., J. Environ. Sci. Health, B19, 183 (1984).

Ï¢ÍíÀè
»î¸³ÀÕǤ¼Ô¡§Þ¼¾å¾¡Ìî
»î¸³Ã´Åö¼Ô¡§ÂçÄÍäͺ¡¤ÏÂÀô¹¨¹¬¡¤±Ê°æ·û»ù¡¤ÌÚ¼±É²ð
(³ô)¥Ñ¥Ê¥Õ¥¡¡¼¥à¡¦¥é¥Ü¥é¥È¥ê¡¼¥º¡¡°ÂÁ´À­¸¦µæ½ê
¢©869-04¡¡·§Ëܸ©±§ÅÚ»Ô·ªºêÄ®1285
Tel 0964-23-5111Fax 0964-23-2282

Correspondence
Authors:Katsuya Fuchigami(Study director),
Tatsuo Otsuka, Hiroyuki Izumi,
Kenji Nagai, Eisuke Kimura
Safety Assessment Laboratory, Panapharm Laboratories Co., Ltd.
1285 Kurisaki-machi, Uto-shi, Kumamoto, 869-04, Japan
Tel +81-964-23-5111Fax +81-964-23-2282