1,3-ビス(2-メチルフェニル)グアニジンのラットを用いる28日間反復経口投与毒性試験

Twenty-eight-day Repeat Dose Oral Toxicity Test of 1,3-Bis(2-methylphenyl)guanidine
in Rats

要約

OECD既存化学物質安全性点検に係わる毒性調査の一環として,1,3-ビス(2-メチルフェニル)グアニジンを0(対照),7.5,15,30および60 mg/kgの用量で1群雌雄各6匹のCrj:CD(SD)IGSラットに28日間反復経口投与する毒性試験を実施した.対照群,30 mg/kg群および60 mg/kg群にはそれぞれ雌雄各6匹の14日間回復群を設けた.

投与期間中に60 mg/kg群の雄1例および雌7例が死亡した.一般状態では,30 mg/kg以上の群の雌雄に散瞳および流涎がみられ,60 mg/kg群の雌雄に振戦,自発運動の低下,緩徐呼吸,体温低下および下腹部汚染が認められた.死亡例では腹臥位,側臥位およびあえぎ呼吸も認められた.

機能観察総合検査では,30 mg/kg以上の群の雌雄に散瞳が認められた.60 mg/kg群では,雌雄に振戦,緩徐呼吸および流涎がみられ,雄に瞳孔反射の低下,雌に瞳孔反射の低下および視覚反応の低下がみられ,さらに60分間の測定を通して自発運動量のカウント数に低値または低値傾向が認められた.

体重では,60 mg/kg群の雄で投与8日より回復期間終了時まで,雌では投与8日より28日まで,低値または低値傾向を示した.

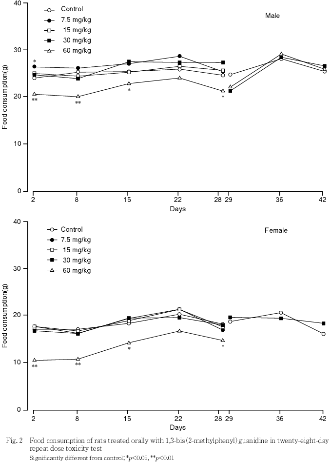
摂餌量では,60 mg/kg群の雌雄で投与2,8,15および28日に低値を示した

尿検査では,30 mg/kg以上の群の雄に尿量の増加傾向,15 mg/kg以上の群の雌に尿量の増加がみられ,この変化に伴って浸透圧および比重の低値が認められた.

血液学検査では,30 mg/kg以上の群の雄にAPTTの短縮が認められた.

血液生化学検査では,60 mg/kg群の雌雄に総蛋白質の低値,GPTおよびカリウムの高値が認められた.さらに,雄ではアルブミンの低値,アルカリ性フォスファターゼおよび尿素窒素の高値がみられ,雌ではGOTおよびナトリウムの低値,総コレステロール,トリグリセライドおよびリン脂質の高値が認められた.また,30 mg/kg群の雌に総コレステロールおよびリン脂質の高値が認められた.

器官重量では,30 mg/kg以上の群の雌に肝臓の体重比器官重量の高値が認められた.

剖検および病理組織学検査では,死亡した60 mg/kg群の雌1例に肉眼的に腺胃粘膜の単発性の淡赤色点,組織学的に腺胃の軽度びらんが認められた.生存例では,60 mg/kg群の雌1例に病理組織学的検査で肝細胞の肥大が認められた.

60 mg/kg群の雌1例に病理組織学的検査で認められた肝細胞の肥大については,同群で投与期間中に死亡が発生したことにより回復群が設けられなかったことから,回復性は確認できなかった.その他の変化は,いずれも14日間の休薬により回復しており,回復性は良好であった.

以上の結果から,本試験条件下における無影響量は雄が15 mg/kg/day,雌が7.5 mg/kg/dayと考えられた.

方法

1.被験物質および投与液の調製

1,3-ビス(2-メチルフェニル)グアニジン(住友化学工業(東京),ロット番号30J08,純度99.6 wt%)は白色粉末である.入手後の被験物質は室温で保存し,投与期間終了後に提供元にて分析を行い,試験期間中安定であったことを確認した.媒体には,0.1 %Tween 80添加0.5 %CMC-Na溶液(Tween 80,CMC-Na:ナカライテスク)を使用し,これに被験物質を0.75,1.5,3および6 mg/mLの濃度となるように懸濁して調製した.調製は週1回以上の頻度で行い,調製した投与液は褐色バイアルに入れて室温で保存した.なお,初回調製時に投与液の濃度が規定範囲内であることを確認した.また,本調製法による0.1および100 mg/mL液は均一であり,かつ褐色ガラス容器中で室温あるいは冷蔵保存下で安定であることを確認した.

2.使用動物および飼育条件

5週齢のCrj:CD(SD)IGSラット(日本チャールス・リバー)を雄は7日間,雌は8日間の検疫馴化を行ったのち,6週齢で試験に使用した.群分けは,投与開始前日の体重を基に層別連続無作為化法で実施した.投与開始時の体重は雄が197.5〜225.2 g,雌が142.5〜168.0 gであった.

動物は,温度24 ± 2℃,湿度55 ± 10 %,照明12時間(午前7時〜午後7時)および換気回数13〜15回/時に設定したバリアーシステム飼育室でステンレススチール製ハンガーケージに個別に収容して飼育した.飼料は高圧蒸気滅菌処理した固型飼料(CRF-1,オリエンタル酵母工業)を,飲水は次亜塩素酸ナトリウムを添加(約2 ppm)した井戸水を自動給水装置より,それぞれ自由に摂取させた.

3.投与量,投与方法および試験群構成

投与量は,予備試験の結果より設定した.すなわち,本被験物質の10,20,40および80 mg/kg(雌雄各5匹/群)を14日間反復経口投与した結果,80 mg/kg群の雄5例および雌4例が死亡した.また,主な毒性変化として,死亡例では,一般状態観察で散瞳,自発運動の低下,振戦,緩徐呼吸,腹臥位,側臥位および間代性痙攣がみられ,剖検で肺に軽度の暗赤色化が認められた.生存例では,一般状態観察で40および80 mg/kg群の雌で散瞳,自発運動の低下,振戦,緩徐呼吸および流涎がみられ,血液生化学検査で40 mg/kg群の雌雄で総コレステロールおよびリン脂質の高値がみられ,さらに雄ではトリグリセライドの高値が認められた.したがって,本試験では明らかな毒性が発現すると考えられる60 mg/kgを高用量とし,以下公比2で除した30,15および7.5 mg/kgをそれぞれ中用量群2,中用量群1および低用量群に設定した.試験群は上記4用量群に対照群を加え,計5群とした.各群とも投与期間終了時に剖検する動物数を雌雄各6匹とした.また,対照群,中用量群2および高用量群には回復期間終了時に剖検する雌雄各6匹を設けた.なお,高用量群の雄1例および雌7例が投与期間中に死亡したことから,高用量群の雌については投与期間終了時の毒性を確認するため,生存した5例全例を投与終了時剖検対象動物とした.

投与経路は経口とし,胃管を用い,1日1回,28日間反復して投与した.投与容量は10 mL/kgとし,個体ごとの投与液量は最新の体重を基に算出した.回復試験に供した動物は,投与期間終了後に14日間無処置で飼育した.

4.検査項目

1) 一般状態観察

投与期間中は毎日投与前,投与直後,投与後30分〜1時間および投与後4時間の計4回,回復期間中は毎日1回,一般状態および死亡の有無を観察した.

2) 機能観察総合検査

 機能観察

投与開始前に1回,ならびに投与期間および回復期間中は週に1回の頻度で,投与期間中は投与後約30分〜1時間,投与開始前および回復期間中は午後の時間帯に,生存動物全例について実施した.ケージ内観察では姿勢,痙攣,異常・常同行動および振戦について,ケージ外観察では取り扱い易さ,異常発声,振戦,筋攣縮,痙攣,呼吸,流涎,流涙,瞳孔径,眼球突出,目・鼻の分泌物,皮膚,立毛,毛並み,可視粘膜,尿失禁,筋緊張および体温について,オープンフィールド内観察では覚醒状態,歩行異常,異常・常同行動,眼瞼下垂,下痢,糞(回数)および尿(回数)について実施した.

 感覚機能検査

投与4週および回復2週に,各群の動物番号の小さい雌雄各6例(ただし,投与4週の60 mg/kg群の雌は5例)について,フィールドまたは作業台上で聴覚,視覚,触覚,痛覚,正向反射および瞳孔反射について検査した.

 握力測定および自発運動量測定

投与4週および回復2週に,各群の動物番号の小さい雌雄各6例(ただし,投与4週の60 mg/kg群の雌は5例)について,前肢および後肢の握力(CPUゲージ: Model 9502 A,アイコーエンジニアリング),10分毎60分間の自発運動量(SCANET SV-10,東洋産業)を測定した.

3) 体重測定

投与1日の投与前および投与2日に測定し,その後は投与期間および回復期間を通して週1回の頻度で測定した.投与期間終了日および回復期間終了日にも測定した.なお,剖検日の解剖対象動物および途中死亡動物については最終体重を測定した.

4) 摂餌量測定

投与期間および回復期間を通して週1回の頻度で測定し,投与期間終了日および回復期間終了日にも測定した.

5) 尿検査

投与4週および回復2週に各群の動物番号の小さい雌雄各6例(ただし,投与4週の60 mg/kg群の雌は5例)を代謝ケージに個別に収容し,午前中(投与4週目は投与前の時間帯)に絶食・給水下で新鮮尿を採取し,比色試験紙(プレテスト 8a,和光純薬工業)によりpH,蛋白質,ブドウ糖,ケトン体,ビリルビン,潜血およびウロビリノーゲンを検査した.また,新鮮尿を470×gで5分間遠心分離し,得られた尿沈渣を鏡検した.さらに,新鮮尿採取に引き続き,給餌・給水下で約24時間蓄積尿を採取し,尿量(メスシリンダ−測定),色調(肉眼的観察),浸透圧(氷点降下法;OSMOMETER OM801,VOGEL)および比重(屈折率法;尿屈折計,アタゴ)を測定した.

6) 血液学検査

投与期間および回復期間終了後に,動物を18時間以上絶食させたのち,ペントバルビタール・ナトリウム30 mg/kgを腹腔内投与して麻酔した後,後大静脈腹部より採血を行った.採取した血液の一部はEDTA-2 K処理(EDTA-2 K加血液)して総合血液学検査装置(ADVIA 120,バイエルメディカル)を用いて,白血球数(レーザー光学法),赤血球数(レーザー光学法),ヘモグロビン量(シアンメトヘモグロビン法),平均赤血球容積(MCV,レーザー光線法),血小板数(レーザー光学法),網状赤血球率(RNA染色レーザー法)および白血球形態検査(白血球百分比,レーザー光学法・酵素染色吸光度散乱光量分類法)を測定し,赤血球数,ヘモグロビン量およびMCVの測定結果を基に,ヘマトクリット値,平均赤血球血色素量(MCH)および平均赤血球血色素濃度(MCHC)を算出した.さらに,3.8 %クエン酸ナトリウム加血液を1870×gで15分間遠心分離し,得られた血漿を用いて全自動血液凝固測定装置(Sysmex CA-5000,シスメックス)により,プロトロンビン時間(PT,散乱光検出方式)および活性化部分トロンボプラスチン時間(APTT,散乱光検出方式)を測定した.

7) 血液生化学検査

血液学検査に引き続き採取した血液を室温で約60分間放置後,1870×gで10分間遠心分離し,得られた血清を用いて自動分析装置(7170,日立製作所)により,総蛋白質(T.Protein,Biuret法),アルブミン(BCG法),A/G比(総蛋白質及びアルブミンより算出),総ビリルビン(T.Bilirubin,Vanadate oxidation法),GOT (UV-rate法),GPT(UV-rate法),γ-グルタミルトランスペプチダーゼ(γ-GTP,L-γ-Glutamyl-3-hydroxymethyl-4- nitroanilide基質法),アルカリ性フォスファターゼ(ALP,ρ-Nitrophenylphosphate基質法),総コレステロール(T.Cholesterol,COD-HDAOS法),トリグリセライド(GPO-HDAOS法,glycerol blanking法),リン脂質(Choline oxidase-DAOS法),グルコース(Hexokinase-G-6-PDH法),尿素窒素(BUN,Urease- GLDH法),クレアチニン(Jaff法),無機リン(IP,PNP-XOD法)およびカルシウム(Ca,MXB法)を測定した.また,電解質分析装置(PVA-αIII,アナリティカル・インスツルメンツ)によりナトリウム(Na,電極法),カリウム(K,電極法)およびクロール(Cl,電量滴定法)を測定した.

8) 器官重量測定,剖検および病理組織学検査

採血終了後に放血致死させ,剖検した.剖検後に脳,下垂体,甲状腺(上皮小体を含む),心臓,肺(気管支を含む),胸腺,肝臓,脾臓,腎臓,副腎,精巣上体,精巣,卵巣および子宮を摘出して器官重量を測定するとともに,剖検日の体重を基に体重比器官重量を算出した.これらの器官に加え,脊髄(胸部),眼球,ハーダー腺,顎下リンパ節,舌下腺,顎下腺,気管,舌,膵臓,食道,胃,十二指腸,空腸,回腸(パイエル板を含む),盲腸,結腸,直腸,腸間膜リンパ節,膀胱,精嚢,前立腺,膣,大腿骨(骨髄を含む),胸骨(骨髄を含む),皮膚(下腹部),乳腺,大動脈(胸部),坐骨神経および大腿二頭筋を採取して10 %中性緩衝ホルマリン溶液(眼球およびハーダー腺は2.5 %グルタールアルデヒド溶液,精巣および精巣上体はブアン液で前固定)に固定した.投与期間終了時の対照群および60 mg/kg群の雌雄の脳(大脳,延髄/橋,小脳),下垂体,脊髄(胸部),甲状腺(上皮小体を含む),心臓,胸腺,肺(気管支を含む),気管,肝臓,脾臓,腎臓,副腎,胃,腸管(十二指腸,空腸,回腸,盲腸,結腸,直腸),膀胱,精巣,精巣上体,卵巣,子宮,リンパ節(下顎,腸間膜),坐骨神経ならびに大腿骨(骨髄)については常法に従ってパラフィン切片を作製し,ヘマトキシリン・エオジン染色を施して光学顕微鏡下で観察した.その結果,60 mg/kg群の雌1例で胃,肝臓,胸腺,副腎,子宮および大腿骨(骨髄)に変化が認められたことから,投与期間終了時の30 mg/kg群の雌雄ならびに回復期間終了時の60 mg/kg群の雄の胃,肝臓,胸腺,副腎,子宮および大腿骨(骨髄)についても同様に検査を行った.また,30 mg/kg群の雌については,投与期間終了時の剖検および病理組織学検査で何ら異常がみられなかったことから,回復期間終了時の病理組織学検査は行わなかった.

5.統計解析

体重,摂餌量,機能観察のうち糞および尿,前肢握力,後肢握力,自発運動量,尿検査(定性反応は除く),血液学検査,血液生化学検査,器官重量および体重比器官重量について,各群ごとに平均値と標準偏差を求め,Bartlett法により分散の均一性を検定した.分散が均一な場合はDunnettの多重比較検定を用いて,分散が均一でない場合はSteelの多重比較検定を用いて対照群との比較を行った.また,機能観察(糞および尿を除く)および感覚機能検査についてはWilcoxon rank-sum test,剖検においてみられた所見についてはFisherの正確確率検定,病理組織学検査においてみられた所見についてはMann-WhitneyのU検定を実施した.いずれの場合も有意水準を1および5 %とした.

結果

1.死亡の発生状況

投与期間中に60 mg/kg群の雄1例および雌7例が死亡した.雄では,投与10日の投与後4時間に1例が死亡した.雌では,投与2日の投与後4時間に2例,投与3日の投与後4時間に3例,投与8日の投与後4時間に1例,投与20日の投与後30分〜1時間に1例が死亡した.

2.一般状態

60 mg/kg群の雄では,投与期間を通して,投与後30分〜1時間に散瞳,振戦,自発運動の低下および緩徐呼吸がみられ,死亡例では腹臥位も認められた.雌では,投与後30分〜1時間に散瞳,振戦,自発運動の低下,緩徐呼吸,体温低下および下腹部汚染がみられ,死亡例ではあえぎ呼吸および側臥位も認められた.これらの症状は投与後4時間にも認められたが,その発現例数は減少していた.また,雄では投与11日,雌では投与10日より投与期間終了時まで,投与直後および投与後30分〜1時間に流涎がみられ,投与28日には雄1例で投与後4時間まで継続して認められた.

30 mg/kg群の雄では投与27日,雌では投与9,20および23日に,投与後30分〜1時間に散瞳が認められた.さらに,雄では投与23日,雌では投与22日より投与期間終了時まで,投与直後および投与後30分〜1時間に流涎が認められた.

3.機能観察総合検査

 機能観察

ケージ内およびケージ外観察では,60 mg/kg群の雄で投与2〜4週,雌で投与1,2および4週に頭部の振戦が認められた.また,60 mg/kg群の雌雄ともに投与1〜4週に散瞳がみられ,雄の投与2週,雌の投与2および4週では対照群と比較して有意な差が認められた.さらに,60 mg/kg群の雄で投与2および3週に緩徐呼吸ならびに投与3および4週に流涎がみられ,雌では投与4週に流涎が認められた.30 mg/kg群の雄で投与4週,雌では投与3週目に散瞳が認められた.フィールド内観察では,60 mg/kg群の雄で投与2および4週,雌で投与1および4週に覚醒状態の低下がみられ,雌の投与4週には対照群と比較して有意な差が認められた.また,60 mg/kg群の雄で投与4週,雌では投与1および4週に軽度の歩行異常が認められた.その他,60 mg/kg群の雄で投与3週に排糞回数の低下,7.5 mg/kg群の雄で投与2週に排尿回数の増加が認められたが,軽微かつ一過性の変化であることから,被験物質投与とは関連のない偶発的変化と判断した.

 感覚機能検査

投与4週に,60 mg/kg群の雄で瞳孔反射の低下,雌では視覚反応の低下および瞳孔反射の低下が認められた.

 握力測定および自発運動量測定

自発運動量測定では,投与4週に60 mg/kg群の雌雄で60分間の測定時間を通して自発運動量のカウント数に低値または低値傾向がみられ,雄では0〜10分,20〜30分の自発運動量のカウント数および60分間の総カウント数に,雌では0〜10分の自発運動量のカウント数および1時間の総カウント数に対照群と比較して有意な差が認められた.

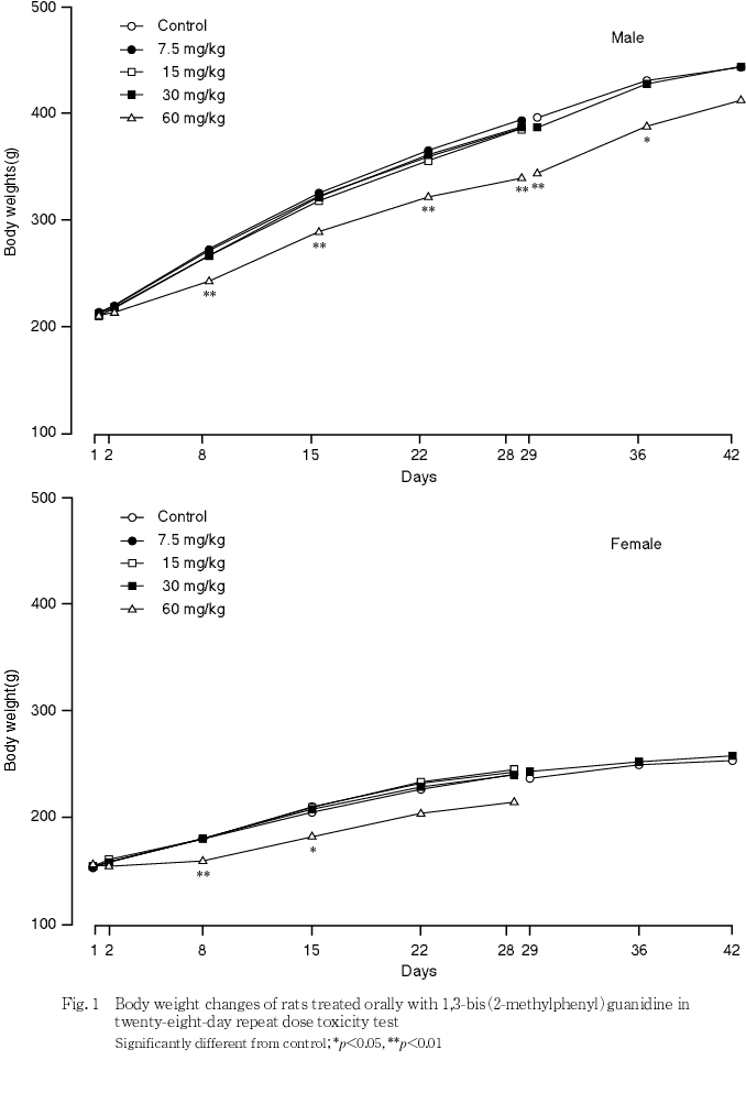
4.体重(Fig. 1)

60 mg/kg群の雄では,投与8日より回復期間終了時まで,低値または低値傾向が認められた.また,同群の雌では投与8および15日に低値がみられ,投与22および28日には低値傾向が認められた.

5.摂餌量(Fig. 2)

60 mg/kg群の雌雄では,投与2,8,15および28日に低値を示した.また,7.5 mg/kg群の雄では投与2日に高値が認められたが,用量と関連がない変化であることから,被験物質投与とは関連のない偶発的変化と判断した.

6.尿検査(Table 1)

投与4週の検査では,30および60 mg/kg群の雄に尿量の増加傾向,浸透圧および比重の低値,尿色調の淡黄色化が認められた.また,15,30および60 mg/kg群の雌に尿量の増加,浸透圧および比重の低値がみられ,さらに60 mg/kg群では尿色調の淡黄色化も認められた.

回復2週の検査では,30 mg/kg群の雌に比重の高値が認められたが,用量との関連がなく,投与4週では認められていない変化であることから,被験物質投与とは関連のない偶発的変化と判断した.

7.血液学検査(Table 2)

投与期間終了時の検査では,30および60 mg/kg群の雄にAPTTの短縮がみられた.その他,30 mg/kg群の雄にヘモグロビンおよびヘマトクリット値の低値,MCHCの高値,15 mg/kg群の雌にMCHCの高値が認められた.さらに,15 mg/kg群の雄に好中球比の高値およびリンパ球比の低値が認められたが,これらの変化は用量と関連がない変化であることから,被験物質投与とは関連のない偶発的変化と判断した.また,60 mg/kg群の雌に好塩基球比の低値が認められたが,軽微な変化であることから,被験物質投与とは関連のない偶発的変化と判断した.

回復期間終了時の検査では,60 mg/kg群の雄に網状赤血球率の高値が認められたが,投与期間終了時では認められていない変化であることから,被験物質投与とは関連のない偶発的変化と判断した.

8.血液生化学検査(Table 3)

投与期間終了時の検査では,60 mg/kg群の雄に総蛋白質およびアルブミンの低値,GPT,アルカリ性フォスファターゼ,尿素窒素およびカリウムの高値が認められた.60 mg/kg群の雌では総蛋白質,GOTおよびナトリウムの低値,GPT,総コレステロール,トリグリセライド,リン脂質およびカリウムの高値が認められた.また,30 mg/kgの群の雌では総コレステロールおよびリン脂質の高値が認められた.その他の変化として,30 mg/kg群の雄にナトリウムの低値が認められたが,用量と関連がない変化であることから,被験物質投与とは関連のない偶発的変化と判断した.

回復期間終了時の検査では,60 mg/kg群の雄にアルブミンおよびA/G比の高値,グルコースの低値がみられ,30 mg/kg群の雌にGPTの低値が認められたが,投与期間終了時では認められていない変化であることから,被験物質投与とは関連のない偶発的変化と判断した.

9.剖検

死亡例では,60 mg/kg群の雌1例に腺胃粘膜に単発性の淡赤色点が認められた.

投与期間終了時の剖検では,60 mg/kg群の雌1例で胸腺および子宮の軽度の小型化が認められた.

回復期間終了時の剖検では,いずれの動物にも変化は認められなかった.

10.器官重量(Table 4)

投与期間終了時の測定では,60 mg/kg群の雄に脳,心臓,副腎および精巣の体重比器官重量の高値がみられ,雌に甲状腺重量の低値,胸腺および卵巣の重量および体重比器官重量の低値,肝臓の体重比器官重量の高値が認められた.また,30 mg/kg群の雌に肝臓の体重比器官重量の高値が認められた.その他の変化として,7.5 mg/kg群の雌に脾臓の体重比器官重量の高値が認められたが,用量と関連がない変化であることから,被験物質投与とは関連のない偶発的変化と判断した.

回復期間終了時の測定では,60 mg/kg群の雄に腎臓重量の低値がみられ,30 mg/kg群の雄に脾臓の重量および体重比器官重量の高値,雌に下垂体重量および体重比器官重量の高値が認められたが,これらの変化は投与期間終了時には認められていない変化であることから,被験物質投与とは関連のない偶発的変化と判断した.

11.病理組織学検査(Table 5)

死亡例では,60 mg/kg群の雌1例に腺胃の軽度のびらんが認められた.

投与期間終了時の検査では,60 mg/kgの雌1例に小葉中心性の軽度の肝細胞肥大,子宮および胸腺皮質の軽度の萎縮,副腎束状帯の軽度の巣状壊死および大腿骨骨髄の軽度の造血低下が認められた.肝細胞の肥大は,小葉中心性に生じ,かつ肥大した肝細胞の細胞質が比較的均質な好酸性を呈していた

回復期間終了時の検査では,いずれの動物にも変化は認められなかった.60 mg/kg群の雌1例で病理組織学的検査に認められた肝細胞の肥大については,同群で投与期間中に死亡が発生したことにより回復群が設けられなかったことから,回復性は確認できなかった.

考察

1,3-ビス(2-メチルフェニル)グアニジンを雌雄ラットに0(対照群),7.5,15,30および60 mg/kgの用量で28日間反復経口投与した.また,対照群,30および60 mg/kg群には,投与期間終了後に14日間の回復期間を設けた.

一般状態および行動機能総合検査では,30 mg/kg以上の群の雌雄に散瞳および流涎がみられ,60 mg/kg群の雌雄に振戦,自発運動の低下,緩徐呼吸,瞳孔反射の低下,覚醒状態の低下および視覚反応の低下が認められた.さらに,腹臥位,側臥位,あえぎ呼吸,体温低下および下腹部汚染が認められ,60 mg/kg群の雄1例および雌7例が死亡した.これらの症状は,本被験物質の中枢神経系への影響を示唆するものと考えられたが,病理学的検査で神経系に変化は認められなかった.

30 mg/kg以上の群の雌雄で投与直後に流涎が観察された.また,病理組織学検査では肉眼的に腺胃粘膜の単発性の淡赤色点,組織学的に腺胃の軽度のびらんが認められた.本被験物質の類似物質である1,3-ジフェニルグアニジンには粘膜刺激性があると報告されている1)ことから,これらの変化は被験物質の刺激性による変化と考えられた.

体重および摂餌量の測定では,60 mg/kg群の雌雄に低値が認められ,いずれも被験物質投与による影響と判断した.

尿検査では,30 mg/kg以上の群の雄に尿量の増加傾向,15 mg/kg以上の群の雌に尿量の増加がみられ,この変化に伴って浸透圧および比重の低値がみられ,30 mg/kg以上の群の雄および60 mg/kg群の雌に尿色調の淡黄色化が認められた.これらの変化はいずれも被験物質投与による影響と判断した.

血液学検査では,30 mg/kg以上の群の雄にAPTTの短縮が認められ,被験物質投与による影響と判断した.

血液生化学検査では,60 mg/kg群の雄に総蛋白質およびアルブミンの低値,GPT,アルカリ性フォスファターゼ,尿素窒素およびカリウムの高値が認められた.60 mg/kg群の雌では総蛋白質,GOTおよびナトリウムの低値,GPT,総コレステロール,トリグリセライド,リン脂質およびカリウムの高値が認められた.また,30 mg/kg群の雌では総コレステロールおよびリン脂質の高値が認められた.これらの変化は主に肝臓への影響を示唆する変化と考えられたが,詳細は不明であった.

器官重量では,30 mg/kg以上の群の雌に肝臓の体重比器官重量の高値が認められ,被験物質投与による影響と判断した.その他,60 mg/kg群の雄に脳,心臓,副腎および精巣の体重比器官重量の高値が認められたが,これらの変化は対応する器官重量に対照群との差がみられないことから,最終体重が低値を示したことによる見かけ上の変化と考えられた.さらに,60 mg/kg群の雌に甲状腺重量の低値,胸腺および卵巣の重量ならびに体重比器官重量の低値が認められたが,これらの変化は当該器官の組織学的検査で何ら変化がみられなかったことから,毒性学的意義の低い変化と考えられた.

病理学検査では,肝臓で組織学的に肝細胞の肥大,胸腺で肉眼的に小型化および組織学的に胸腺皮質の軽度の萎縮,子宮で肉眼的に小型化および組織学的に軽度の萎縮,大腿骨骨髄で組織学的に軽度の造血低下,副腎で組織学的に束状帯の巣状壊死が認められた.これらの変化は,投与期間を通して体重の増加抑制および摂餌量の低値がもっとも強くみられた60 mg/kgの雌1例のみで認められた.したがって,胸腺,副腎,子宮および大腿骨骨髄の変化は本個体の全身的な栄養状態の不良(衰弱)に伴う非特異的変化と考えられた.肝細胞の肥大については,小葉中心性に生じ,かつ肥大した肝細胞の細胞質が比較的均質な好酸性を呈していたことから,多くの化学物質で報告されている薬物代謝酵素の誘導,すなわち滑面小胞体の増加によるものと考えられた.

回復期間中は,60 mg/kg 群の雄で体重の低値および低値傾向が投与期間に引き続き認められたが,休薬により体重は増加推移を示していることから,回復したものと考えられた.また,60 mg/kg群の雌でみられた肝細胞肥大については,生存した全例を投与期間終了時解剖対象動物としたため,回復性を確認することはできなかった.その他の変化は,いずれも14日間の休薬により回復しており,回復性は良好であった.

以上のことから,本試験条件下における1,3-ビス(2-メチルフェニル)グアニジンの無影響量(NOEL)は雄が15 mg/kg/day,雌が7.5 mg/kg/dayと判断した.

文献

1)村田共治:1,3-ジフェニルグアニジンのラットを用いる28日間反復経口投与毒性試験.化学物質毒性試験報告,8:403-417(2001).

連絡先
試験責任者:本田久美子
試験担当者:榎嶋輝彦,浜村政夫,大西幹雄,
和泉宏幸,神谷光一,鍬先恵美子
(株)パナファ−ム・ラボラトリ−ズ安全性研究部
〒869-0425 熊本県宇土市栗崎町1285
Tel 0964-23-5111Fax 0964-23-2282

Correspondence
Authors:Kumiko Honda(Study Director)
Teruhiko Enoshima,
Masao Hamamura,Mikio Oonishi,
Hiroyuki Izumi,Kouichi Kamiya,
Emiko Kuwasaki
Safety Assessment Laboratory, Panapharm Laboratories Co, Ltd
1285 Kurisaki-machi, Uto-shi, Kumamoto,869-0425, Japan
Tel +81-964-23-5111Fax +81-964-23-2282