2,4-ジアミノ-6-フェニル-s-トリアジンのチャイニーズハムスター培養細胞を用いる
染色体異常試験

In Vitro Chromosomal Aberration Test of 2,4-Diamino-6-phenyl-s-triazine
on Cultured Chinese Hamster Cells

要約

2,4-ジアミノ-6-フェニル-s-トリアジンが培養細胞に及ぼす細胞遺伝学的影響について,チャイニーズ・ハムスター培養細胞(CHL/IU)を用いて染色体異常試験を実施した.

細胞増殖抑制試験結果をもとに,連続処理法の24時間処理で1600 μg/mL,48時間処理で800 μg/mL,短時間処理法の-S9処理で5000 μg/mLおよび同+S9処理では625 μg/mLを最高処理濃度とした.連続処理法の24時間処理は,最高処理濃度の1/4,1/8および1/16を,48時間処理では最高処理濃度の1/2,1/4,1/8をそれぞれ高濃度,中濃度および低濃度とした.また,短時間処理法の-S9処理で最高処理濃度の1/2および1/4をそれぞれ中濃度および低濃度とし,+S9処理では最高処理濃度の1/8,1/16,1/32をそれぞれ高濃度,中濃度および低濃度として設定した.連続処理法では,S9 mix非存在下における24時間および48時間連続処理後,短時間処理法ではS9 mix存在下および非存在下で6時間処理(18時間の回復時間)後,標本を作製し,検鏡することにより染色体異常誘発性を検討した.

その結果,連続処理法の48時間処理ならびに短時間処理法の+S9処理で,染色体構造異常の誘発作用が認められた.

また,連続処理法の高用量群では分裂機構障害を示唆するC-分裂(C-mitosis)の出現が多数認められたことから,連続処理法の48時間処理で最高処理濃度を1600 μg/mLとした確認試験を実施した.最高処理濃度および最高処理濃度の1/2,1/4,1/8を設定した.

その結果,倍数性細胞の誘発作用が認められた.

さらに,連続処理法の24時間処理では染色体構造異常の出現頻度が10 %未満の増加を示し,短時間処理法の+S9処理では明確な用量依存性が認められなかった事から,最高処理濃度をそれぞれ900 μg/mLおよび160 μg/mLとした追加試験を実施した.連続処理法の24時間処理で最高処理濃度より公差100で6段階減じた7用量,短時間処理法の+S9処理では最高処理濃度より公差20で5段階減じた6用量を設定した.

その結果,いずれの処理群においても試験用量に依存した染色体構造異常の誘発作用が認められた.

以上の結果より,本試験条件下では2,4-ジアミノ-6-フェニル-s-トリアジンは,染色体異常を誘発する(陽性)と結論した.

方法

1. 試験細胞株

哺乳類培養細胞を用いる染色体異常試験に広く使用されていることから,試験細胞株としてチャイニーズ・ハムスターの肺由来の線維芽細胞株(CHL/IU)を選択した.昭和59年11月15日に国立衛生試験所(現:国立医薬品食品衛生研究所)から分与を受け,一部はジメチルスルホキシド(DMSO:MERCK社)を10 vol%添加した後,液体窒素中に保存した.試験に際しては凍結細胞液を融解し数回継代したものを使用した.なお,本染色体異常試験では継代数32,確認試験では同48,追加試験では同29の細胞を用いた.

2. 培養液の調製

Eagle-MEM液体培地(LIFE TECHNOLOGIES社)に,メンブランフィルター(0.45 μm:CORNING社)を用いて加圧濾過除菌した非働化(56℃,30分)済み仔牛血清(LIFE TECHNOLOGIES社)を最終濃度で10 vol%になるよう加えた後,試験に使用した.調製後の培養液を冷暗所(4℃)に保存した.

3. 培養条件

CO2インキュベーター(FORMA社あるいは三洋電機特機(株))を用い,CO2濃度5 %,37℃の条件で細胞を培養した.

4. S9 mix

製造後6ヵ月以内のキッコーマン(株)製S9 mixを試験に使用した.S9 mix中のS9は誘導剤としてフェノバルビタールおよび5,6-ベンゾフラボンを投与したSprague-Dawley系雄ラットの肝臓から調製された.また,S9 mixの組成は松岡らの方法1)に従って調製された.

5. 被験物質

被験物質の2,4-ジアミノ-6-フェニル-s-トリアジン(ロット番号:7P11)は純度98.0 %以上(不純物としてメラミン0.1~0.2 %,ジシアンアミド0.04 %およびベンゾアミド0.01 %を含む)の固体である.(株)日本触媒(大阪)から提供された被験物質を使用した.被験物質は,使用時まで室温で保管した.試験終了後,被験物質提供元において残余被験物質を分析した結果,安定性に問題はなかった.

6. 被験物質液の調製

DMSO(MERCK社)に被験物質を溶解して調製原液とした.調製原液を使用溶媒を用いて順次所定濃度に希釈した後,直ちに処理を行った(用時調製).

7. 予備試験(細胞増殖抑制試験)

12ウエルの細胞培養用マルチプレートに細胞を播種し,培養3日後に被験物質液を処理した.連続処理法の場合,24あるいは48時間連続して処理を実施し,短時間処理法ではS9 mix非存在下(-S9 mix)あるいは存在下(+S9 mix)で6時間処理した後,新鮮な培養液に交換してさらに18時間培養を続けた.

細胞を10 vol%中性緩衝ホルマリン液(和光純薬工業(株))で固定した後,0.1 w/v%クリスタル・バイオレット(関東化学(株))水溶液で10分間染色した.色素溶出液(30 vol%エタノール,1 vol%酢酸水溶液)を適量加え,5分間程度放置して色素を溶出した後,580 nmでの吸光度を測定した.各用量群について溶媒対照群での吸光度に対する比,すなわち細胞生存率を算出した.

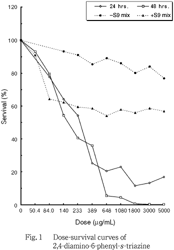
その結果,連続処理法において顕著な細胞増殖抑制が観察されたが,短時間処理法においては明確な細胞増殖抑制は観察されなかった(Fig. 1).プロビット法を用いて算出した50 %細胞増殖抑制濃度は連続処理法24時間処理で219 μg/mL,同48時間処理で190 μg/mLであった.

8. 試験用量および試験群の設定

細胞増殖抑制試験結果をもとに,染色体異常試験では連続処理法の24時間処理で1600 μg/mL,48時間処理で800 μg/mL,短時間処理法の-S9処理では5000 μg/mL,+S9処理では625 μg/mLを最高処理濃度とし,以下公比2で減じた計4〜7用量ならびに溶媒対照群を設定した.

また,連続処理法の高用量群では,分裂機構障害を示唆するC-mitosisの出現が多数認められたことから,連続処理法48時間処理で確認試験を実施した.1600 μg/mLを最高用量とし,以下公比2で減じた4用量を設定した.

さらに,連続処理法の24時間処理では染色体構造異常の出現頻度が10%未満の増加を示し,短時間処理法の+S9処理では明確な用量依存性が認められなかった事から,最高処理濃度をそれぞれ900 μg/mLおよび160 μg/mLとした追加試験を実施した.連続処理法の24時間処理で最高処理濃度より公差100で6段階減じた7用量,短時間処理法の+S9処理では最高処理濃度より公差20で5段階減じた6用量を設定した.

なお,陽性対照として,連続処理法の場合,マイトマイシンC(MMC:協和醗酵工業(株))を,24時間処理で0.05 μg/mL,48時間処理で0.025 μg/mLの用量で,短時間処理法の場合,シクロホスファミド(CP:塩野義製薬(株))を,12.5 μg/mLの用量で試験した.

9. 染色体標本の作製

直径60 mmのディッシュを用い,予備試験と同様に被験物質等の処理を行った.培養終了2時間前に,最終濃度で0.2 μg/mLとなるようコルセミド(LIFE TECHNOLOGIES社)を添加した.トリプシン処理で細胞を剥離させ,遠心分離により細胞を回収した.75 mM塩化カリウム水溶液で低張処理を行った後,固定液(メタノール3容:酢酸1容)で細胞を固定した.空気乾燥法で染色体標本を作製した後,1.2 vol%ギムザ染色液で12分間染色した.

10. 染色体の観察

各ディッシュあたり100個,すなわち用量当たり200個の分裂中期像を顕微鏡下で観察し,染色体の形態的変化としてギャップ(gap),染色分体切断(ctb),染色体切断(csb),染色分体交換(cte),染色体交換(cse)およびその他(oth)の構造異常に分類した.同時に,倍数性細胞の出現率を記録した.染色体の分析は日本環境変異原学会・哺乳動物試験分科会による分類法2)に従って実施した.

すべての標本をブラインド処理した後,観察した.

11. 結果の解析

ギャップのみ保有する細胞を含めた場合(+gap)と,含めない場合(-gap)とに区別して染色体構造異常の出現頻度を表示した.

各試験群の構造異常を有する細胞あるいは倍数性細胞の出現頻度を,石館ら3)の基準に従って判定した.染色体異常を有する細胞の出現頻度が5 %未満を陰性(-),5 %以上10 %未満を疑陽性(±),10 %以上を陽性(+)とした.最終的には再現性あるいは用量に依存性が認められた場合に陽性と判定した.

なお,統計学的手法を用いた検定は実施しなかった.

結果および考察

連続処理法での試験結果をTable 1に示した.2,4-ジアミノ-6-フェニル-s-トリアジン処理群の場合,24時間処理において染色体構造異常のわずかな誘発が観察されたが(出現頻度は9.0 %),倍数性細胞の誘発傾向は観察されなかった.なお,800 μg/mLでは被験物質の影響によりほとんどの分裂中期像がC-mitosisを呈していた.48時間処理においては用量に依存した染色体構造異常の明確な誘発が認められた(200,400 μg/mLでの出現頻度は11.0,35.5 %).また,倍数性細胞の誘発傾向は観察されなかったが,800 μg/mLでの分裂中期像の約30 %がC-mitosisを呈しており,その内約15 %が倍数性を有していた.なお,被験物質の影響により800 μg/mLで染色体異常の観察可能な細胞は141細胞のみであった.一方,陽性対照物質のMMCで処理した細胞では染色体の構造異常の顕著な誘発が認められた.

短時間処理法での試験結果をTable 2に示した.被験物質処理群の場合,S9 mix非存在下においてはいずれの用量においても染色体構造異常の誘発傾向は観察されなかったが,S9 mix存在下においては染色体構造異常の顕著な誘発が認められた(出現頻度は41.5 %).また,倍数性細胞の誘発傾向はS9 mix非存在下および存在下のいずれにおいても観察されなかった.一方,陽性対照物質のCPで処理した細胞ではS9 mix存在下でのみ染色体構造異常の顕著な誘発が認められた.

連続処理法においてC-mitosisが多数認められ,数的異常の誘発性について否定できないため,48時間処理法の確認試験を実施した.ただし,被験物質に起因するC-mitosisを防ぐため,48時間の暴露期間終了時に被験物質を除去し,細胞周期1周期程度(24時間)の回復時間の後に染色体標本を作製した.その結果,被験物質処理群の場合,用量に依存した倍数性細胞の誘発が認められた(Table 3).

連続処理法24時間処理および短時間処理法+S9処理において,染色体構造異常の出現頻度が1用量のみ高値を示したことから追加試験を実施し,結果をTable 4に示した.被験物質処理群の場合,いずれの試験系においても用量に依存した染色体構造異常の誘発が観察された.なお,連続処理法の24時間処理は,900 μg/mLにおいて被験物質の影響によりほとんどの分裂中期像がC-mitosisを呈していた.また,短時間処理法の+S9処理では,160 μg/mLにおいて被験物質の影響により観察可能な分裂中期像はほとんど存在しなかった.

変異原性の強さに関する相対的比較値であるD20値およびTR値はそれぞれ0.0456(μg/mL)および365と算出された.なお,暴露終了時,連続処理法の400 μg/mL以上および短時間処理法の100 μg/mL以上の用量で粉末状被験物質が培養液中に散在しているのが観察された.

以上の試験結果から,本試験条件下において2,4-ジアミノ-6-フェニル-s-トリアジンのチャイニーズハムスター培養細胞に対する染色体異常誘発性に関し,陽性と判定した.

なお,類縁化合物である2,4-ジアミノ-6-メチル-s-トリアジンの変異原性については,Salmonella typhimurium TA100,TA1535,TA98,TA1537およびEsherichia coli WP2 uvrAを用いた復帰突然変異試験で陰性4)と報告されている.

文献

1)A. Matsuoka, M. Hayashi and M. Ishidate Jr., Mutat. Res., 66. 277(1979).
2)日本環境変異原学会・哺乳動物試験分科会編,"化学物質による染色体異常アトラス,"朝倉書店,東京,1988, pp. 31-35.
3)石館基 監修,"<改訂>染色体異常試験データ集,"エル・アイ・シー社,東京,1987, pp. 19-24.
4)労働省労働基準局安全衛生部化学物質調査課監修,"労働安全衛生法 有害性調査制度に基づく既存化学物質変異原性試験データ集,"社団法人 日本化学物質安全・情報センター,東京,1991, p.177.

連絡先
試験責任者:中嶋 圓
試験担当者:益森勝志,永井美穂,熊平智司,北澤倫世
(財)食品農医薬品安全性評価センター
〒437-1213 静岡県磐田郡福田町塩新田字荒浜582-2
Tel 0538-58-1266Fax 0538-58-1393

Correspondence
Authors:Madoka Nakajima(Study director)
Shoji Masumori, Miho Nagai, Satoshi Kumadaira, Michiyo Kitazawa
Biosafety Research Center, Foods, Drugs and Pesticides(An-pyo Center)
582-2 Shioshinden Aza Arahama, Fukude-cho, Iwata-gun, Shizuoka, 437-1213, Japan.
Tel +81-538-58-1266Fax +81-538-58-1393