2,4-ジアミノ-6-フェニル-s-トリアジンのラットを用いる
反復経口投与毒性・生殖発生毒性併合試験
Combined Repeat Dose and Reproductive/Developmental Toxicity
Screening Test of 2,4-Diamino-6-phenyl-s-triazine by Oral Administration in Rats
要約
OECD既存化学物質安全性点検に係わる毒性調査の一環として,2,4-ジアミノ-6-フェニル-s-トリアジンの0(媒体対照),4,20および100 mg/kg/dayをCrj:CD(SD系)IGSラットの雌雄(各12匹/群)に交配前14日間,雄ではその後交配期間を含む35日間,雌では交配期間,妊娠期間および分娩後3日まで通して経口投与し,親動物に対する反復投与毒性および生殖能力ならびに次世代児の発生・発育に及ぼす影響について検討した.
1. 反復投与毒性
一般状態では,100 mg/kg群の雄1例が投与18日から自発運動の低下および緩徐呼吸を呈し,投与21日に死亡した.また,同群の雌1例が妊娠22日に死亡した.体重では,雌雄とも20 mg/kg以上の群で増加抑制がみられ,同群では摂餌量も減少した.
雄の血液学検査では,100 mg/kg群で赤血球数およびヘマトクリット値の減少および網状赤血球率の増加が認められた.
雄の血液生化学検査では,100 mg/kg群でアルブミン,A/G比,GOT,GPT,総コレステロール,リン脂質および総ビリルビンの増加ならびにトリグリセライド,ナトリウムおよびカリウムの減少が認められた.
病理学検査では,100 mg/kg群の雄で肝臓重量の増加がみられ,組織学的には雌雄で小葉中心性の肝細胞の肥大が認められた.また,死亡例では,100 mg/kg群の雄1例で回腸の粘膜固有層から漿膜にかけて好中球性の細胞浸潤および肉芽形成がみられたほか,腺胃のびらん,肺の水腫,脾臓の萎縮,胸腺の萎縮および出血がみられ,同群の雌1例で腺胃のびらん,肺の水腫,脾臓の萎縮および副腎の壊死が認められた.
2. 生殖発生毒性
親動物の生殖機能に関しては,性周期,黄体数,交尾率,着床痕数,授(受)胎率および交尾所要日数に被験物質投与の影響は認められなかった.
分娩時の検査では,100 mg/kg群の2例で分娩直後の児の回集および保温の不良などが認められた.更に,100 mg/kg群で死産率の増加およびそれに伴う出生率の減少,雌雄新生児体重の減少が認められた.各群とも妊娠期間,出産児数,出産率,新生児数および新生児の性比では被験物質投与の影響はみられず,新生児の外表検査においても,異常は認められなかった.
哺育期の検査では,20 mg/kg群の2例および100 mg/kg群の7例で児の回集,授乳,保温などの哺育行動の不良がみられ,これらの母動物では全児が死亡した.また,20 mg/kg以上の群では母動物の哺育行動の不良に起因した新生児の4日の生存率の減少が認められた.更に,100 mg/kg群では新生児の哺育4日の体重に低値が認められた.
以上のように,反復投与毒性では20 mg/kg以上の群の雌雄で体重の増加抑制および摂餌量の減少が認められたことから,本試験条件下における無影響量は雌雄とも4 mg/kg/dayと推察された.生殖発生毒性では,親動物の生殖機能に被験物質投与の影響はみられなかったが,20 mg/kg以上の群で母動物に哺育行動の不良がみられ,100 mg/kg群で新生児の哺育4日の体重に低値が認められたことから,本試験条件下における無影響量は親動物に対しては雄で100 mg/kg/day,雌で4 mg/kg/day,児動物に対しては20 mg/kg/dayと推察された.
方法
1. 被験物質および投与液の調製
2,4-ジアミノ-6-フェニル-s-トリアジン(Lot No. 7P11,純度98.0 %,(株)日本触媒提供,大阪)は,水,アセトン,DMSOに微溶,メタノール,エタノールに易溶である白色粉末である.入手後の被験物質は,低温遮光下で保管し,投与終了後に供給源にて分析を行い試験期間中安定であったことを確認した.媒体は,カルボキシメチルセルロース・ナトリウム(CMC-Na,ナカライテスク(株),Lot No. M7T4661)の0.5 w/v%水溶液を使用し,これに被験物質を0.16,0.8および4 w/v%濃度になるように懸濁して投与液を調製した.調製した投与液は冷蔵保存した。なお,投与開始週に投与液の濃度を測定し設定値の±10 %以内にあることを確認した.また,投与開始前に本調製法による0.1 %および20 %溶液が冷蔵遮光下で少なくとも8日間安定であることを確認した。
2. 使用動物および飼育条件
8週齢のCrj:CD(SD系)IGSラット(日本チャールス・リバー(株))を雌雄各55匹購入し,13日間の検疫馴化を行ったのち,雌雄各48匹を選んで10週齢で試験に使用した.投与開始時の体重は雄で347.7〜432.2 g,雌で220.3〜255.2 gであった.動物は温度24±2℃,湿度55±10 %,照明12時間(午前7時〜午後7時)および換気回数13〜15回/時に設定したバリアーシステム飼育室でステンレススチール製ハンガーケージに,投与期間中は1匹(雌雄別),交配期間中は2匹(雌雄各1匹),妊娠および哺育期間中は床敷(ホワイトフレーク,日本チャールス・リバー(株))を入れたポリカーボネイト製ケージに1匹ずつ(哺育期間中は哺育児を含む)収容し,飼育した.飼料は,高圧蒸気滅菌処理した固型飼料(MF,オリエンタル酵母工業(株))を,飲水は次亜塩素酸ナトリウムを添加(約2 ppm)した水をそれぞれ自由に摂取させた.
3. 投与量,投与方法,試験群構成および群分け
投与量は,予備試験の結果より設定した.すなわち,本被験物質の30,100および300 mg/kgを2週間反復経口投与した結果,300 mg/kg群で死亡が雄に,自発運動の低下,緩徐呼吸,体重減少,摂餌量の減少,GPT,総ビリルビンおよび尿素窒素の増加,肝臓重量の増加などが雌雄に,100 mg/kg群で体重減少,摂餌量の減少,GPT,総ビリルビンおよび尿素窒素の増加などが雄に,肝臓重量の増加が雌に認められたが,30 mg/kg群では被験物質投与による明らかな変化はみられなかった.したがって,本試験の高用量には投与期間の延長により雌雄動物に対して明確な影響が現れると推測される100 mg/kgを設定し,以下公比5で除した20および4 mg/kgをそれぞれ中間量および低用量とした.試験群は,上記3用量に媒体のみを投与する対照を加え計4群とした.1群当たりの動物数は雌雄各12匹とし,群分けは,投与前日の体重を基に層別連続無作為化法で行った.
投与経路は経口とし,雄では交配前14日間およびその後交配期間を含む35日間の合計49日間,雌では交配前14日間,交配期間(最長14日間),妊娠期間および哺育3日までの期間,1日1回,胃管を用いて投与した.投与容量は2.5 mL/kgとし,雄ならびに交配前および交配期間中の雌については最新の体重を基に,交尾成立後の雌については妊娠0日の体重を基にそれぞれ算出した.
4. 反復投与毒性に関する観察・検査
1) 一般状態
雌雄とも,全例について一般状態の観察および生死の確認を1日2回以上行った.
2) 体重および摂餌量
体重については,雄は投与期間を通じて週2回測定した.雌は,交配前の投与期間および交配期間中は週2回,妊娠期間中は妊娠0(妊娠確認日),4,7,10,14,17および21日,哺育期間中は哺育0(分娩日)および4日に測定した.摂餌量については,雄は交配期間を除く投与期間中,週2回測定した.雌は,交配前の投与期間は週2回,妊娠期間中は妊娠1,4,7,10,14,17および21日,哺育期間中は哺育1および4日に測定した.
3) 血液学検査
雄全例について,投与期間終了後に,18時間以上絶食させたのち,ペントバルビタール・ナトリウムの腹腔内投与による麻酔下で開腹し,後大静脈腹部から採血を行った.採取した血液はEDTA-2K処理(EDTA-2K加血液)して多項目自動血球計数装置(Sysmex CC-780,東亜医用電子(株))を用いて,白血球数(電気抵抗検出方式),赤血球数(電気抵抗検出方式),ヘモグロビン量(オキシヘモグロビン法),ヘマトクリット値(血球パルス波高値検出方式)および血小板数(電気抵抗検出方式)を測定し,これらを基に平均赤血球容積(MCV),平均赤血球血色素量(MCH)および平均赤血球色素濃度(MCHC)を算出した.
4) 血液生化学検査
血液学検査に引き続き採取した血液を室温で約60分間放置後,3000回転/分で10分間遠心分離し,得られた血清を用いて自動分析装置(7170,(株)日立製作所)により,総蛋白質(ビウレット法),アルブミン(BCG法),総ビリルビン(バナジン酸酸化法),GOT(UVレート法),GPT(UVレート法),γ-GTP(L-γ-グルタミル-3-ヒドロキシメチル-4-ニトロアニリド基質法),アルカリ性フォスファターゼ(ρ-ニトロフェニルリン酸基質法),総コレステロール(COD・HDAOS法),トリグリセライド(GPO-HDAOS法・グリセリン消去法),リン脂質(コリンオキシダーゼ・DAOS法),グルコース(ヘキソキナーゼ・G-6-PDH法),尿素窒素(ウレアーゼ・GlDH法),クレアチニン(Jaff
法),無機リン(PNP・XOD法)およびカルシウム(MXB法)を測定した.また,総蛋白質およびアルブミンからA/G比を算出した.更に,電解質分析装置(PVA-aIII,(株)アナリティカル・インスツルメンツ)によりナトリウム(電極法),カリウム(電極法)およびクロール(電量滴定法)を測定した.
5) 病理学検査
雄では投与期間終了後の採血を行ったのちに,雌では哺育4日にエーテル麻酔下で外側腸骨動脈を切断して放血致死させ,解剖して諸器官および組織の肉眼的観察を行い,雌について黄体数および着床痕数を調べた.剖検後,脳,心臓,肺(気管支を含む),胸腺,肝臓,脾臓,腎臓,副腎,精巣,精巣上体および卵巣を摘出して器官重量(絶対重量)を測定するとともに,剖検日の体重を基に体重比器官重量(相対重量)を算出した.重量測定器官に加え,肉眼的異常部位を採取して10 %中性緩衝ホルマリン溶液(精巣および精巣上体はブアン液で前固定)で固定した.なお,10 %中性緩衝ホルマリン溶液による固定に先だって,精巣および精巣上体はブアン液で前固定した.固定後,全群の肉眼的異常部位,対照群および100 mg/kg群の脳,心臓,肺(気管支を含む),胸腺,肝臓,脾臓,腎臓,副腎,精巣,精巣上体および卵巣について,常法に従ってパラフィン切片を作製し,ヘマトキシリン・エオジン(HE)染色を施し,光学顕微鏡下で観察した.また,100 mg/kg群で変化がみられた肺,胸腺,肝臓および脾臓については20 mg/kg群まで同様に検査を行った.
5. 生殖発生毒性に関する観察・検査
1) 生殖機能
雌について,投与開始日(投与1日)から15日間,毎日午前の一定時間に膣垢を採取し,性周期検査を行った.
交配は雌雄(12週齢)1対1で一晩同居させる方法で行い,翌朝膣垢中の精子または膣栓が確認された日を妊娠0日とした.また,交配は同一群内で行い,交配期間は最長2週間とした.交配期間終了後,交尾所要日数,交尾率[(交尾動物数/同居動物数)×100]および授(受)胎率[(受胎動物数/交尾動物数)×100]を算出した.
2) 分娩および哺育状態ならびに新生児の観察
交尾が確認された雌は全例を自然分娩させ,分娩徴候を含め分娩状態および授乳,営巣などの哺育状態を観察するとともに,妊娠期間,出産率[(生児出産雌数/妊娠雌数)×100]を算出した.午後0時の時点で分娩が終了している動物を当該日分娩とし,その日を哺育0日とした.出産児については,分娩時に出産児数,新生児数,死産児数,新生児の性別および外表異常を検査した.新生児については,出生日および哺育4日に体重を個体ごとに測定するとともに出生率[(新生児数/着床痕数)×100]および新生児の4日の生存率[(哺育4日の生児数/新生児数)×100]を算出した.哺育4日に新生児の全例をエーテル麻酔下で放血致死させ,器官・組織の肉眼的観察を行った.
6. 統計解析
体重,摂餌量,血液学検査,血液生化学検査,交尾所要日数,性周期検査(発情回数,発情周期),器官重量,妊娠期間,黄体数,着床痕数,総出産児数,新生児数および新生児の体重については各群ごとに平均値と標準偏差を求め,対照群と被験物質投与群間でまず分散の均一性をBartlett法により検定した.分散が均一な場合はDunnettの多重比較検定を用いて対照群との比較を行い,分散が均一でない場合は,Steelの多重比較検定を用いて対照群との比較を行った.また交尾率,受(授)胎率,出産率および新生児の性比についてはχ^2検定により,死産率,出生率および4日生存率についてはWilcoxonの順位和検定により,病理学検査についてはMann-WhitneyのU検定により対照群と各投与群間の比較を行った.いずれの場合も有意水準を1および5 %とした.なお,新生児に関する測定値については一腹単位で処理した.
結果
1. 反復投与毒性
1) 一般状態
雄では,100 mg/kg群の1例が投与18日の投与前から自発運動の低下および緩徐呼吸を呈し,投与21日の投与前に死亡した.20 mg/kg以下の群では,死亡の発生はなく,一般状態にも変化は認められなかった.
雌では,100 mg/kg群の1例が妊娠22日の投与前に死亡した.このほか,100 mg/kg群の別の1例では,妊娠9日から剖検日(哺育4日)まで胸部の皮下腫瘤が認められた.20 mg/kg以下の群では,死亡の発生はなく,一般状態にも変化は認められなかった.なお,20 mg/kg群の2例および100 mg/kg群の7例は,哺育3日までに全児が死亡したため,途中剖検した.
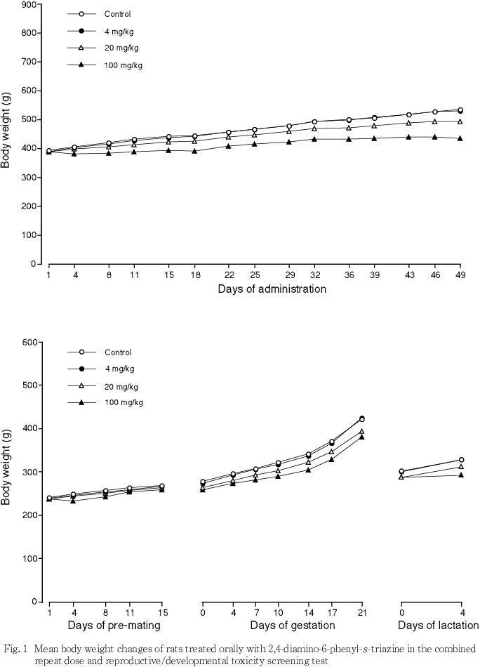
2) 体重(Fig. 1)
雄では,20 mg/kg以上の群で投与期間を通して体重の増加抑制またはその傾向がみられ,投与期間中の総体重増加量は有意な低値を示した.
雌では,100 mg/kg群で交配前の投与期間中の投与4および8日に増加抑制が認められた.また,妊娠および哺育期間中では20 mg/kg以上の群で体重の増加抑制またはその傾向が認められた.
3) 摂餌量
雄では,20 mg/kg以上の群で投与初期に減少がみられ,その後,回復したが,交配期間終了後の投与後期には再度減少した.
雌では,20 mg/kg以上の群で投与初期に減少がみられ,その後,回復したが,哺育4日には再度減少した.なお,100 mg/kg群では投与8〜15日には増加が認められた.このほか用量相関のない偶発的変化として,4 mg/kg群で妊娠21日に増加が認められた.
4) 血液学検査(Table 1)
100 mg/kg群で赤血球数およびヘマトクリット値の減少ならびにMCHおよびMCHCの増加が認められた.また,100 mg/kg群では網状赤血球率も増加した.なお,20 mg/kg群においてもMCHの増加が認められた.
5) 血液生化学検査(Table 2)
100 mg/kg群でアルブミン,A/G比,GOT,GPT,総コレステロール,リン脂質および総ビリルビンの増加ならびにトリグリセライド,ナトリウムおよびカリウムの減少が認められた.このほか,20 mg/kg群でGPT,アルカリ性フォスファターゼおよびクレアチニンの減少がみられたが,いずれも生理学的な変動範囲内の変化であった.
6) 器官重量(Table 3)
雄では,100 mg/kg群で胸腺の絶対および相対重量の減少または減少傾向,肝臓および副腎の絶対および相対重量の増加または増加傾向が認められた.このほか雄では,100 mg/kg群で脾臓の絶対重量の減少が,また,20 mg/kg群で肺,腎臓,副腎,精巣および精巣上体の相対重量の増加,100 mg/kg群で脳,心臓,肺,腎臓,精巣および精巣上体の相対重量の増加が認められた.
雌では,100 mg/kg群で脳の相対重量の増加が認められた.
このほか,用量相関のない偶発的変化として,4 mg/kg群の雄で副腎の絶対重量の増加,20 mg/kg群の雌で心臓の絶対および相対重量の減少が認められた.
7) 剖検所見
投与期間終了後の雄の剖検では,精巣および精巣上体の萎縮が対照群でそれぞれ2および1例,精巣上体の灰白色結節が対照群,4および100 mg/kg群でそれぞれ1,1および2例認められた.
哺育4日の雌の剖検では,腎臓の灰白色斑および皮下の灰白色腫瘤が100 mg/kg群で各1例認められた.
死亡例の剖検では,100 mg/kgの雄1例で腺胃粘膜の暗赤色点,回腸および盲腸の拡張,胸腺の萎縮および暗赤色化ならびに脾臓の萎縮がみられ,100 mg/kg群の雌1例で腺胃粘膜の暗赤色点,水様物による胃の膨満および脾臓の萎縮が認められた.
全児死亡の母動物および不妊例の剖検では,いずれも異常は認められなかった.
8) 病理組織学検査(Table 4)
100 mg/kg群の雄5例および雌7例で小葉中心性の肝細胞の肥大が認められた.このほか,雄では対照群,4および100 mg/kg群のそれぞれ1,1および3例で精巣上体の精子肉芽腫,対照群の2例で精巣の萎縮がみられ,精巣の萎縮がみられたうちの1例では精巣上体管腔内の精子の減少およびcell debrisも認められた.雌では,100 mg/kg群の1例で腎盂および乳頭の移行上皮の増殖がみられ,同群では限局性の尿細管上皮の好塩基性化および乳腺の腺癌がそれぞれ各1例認められた.更に,雌では対照群,20および100 mg/kg群のそれぞれ1,3および1例で胸腺の萎縮が認められた.
死亡例では,100 mg/kg群の雄1例で回腸の粘膜固有層から漿膜にかけて好中球性の細胞浸潤および肉芽形成,腺胃のびらん,肺の水腫,脾臓の萎縮,胸腺の萎縮および出血,雌1例で腺胃のびらん,肺の水腫,脾臓の萎縮および副腎の壊死が認められた.
2. 生殖発生毒性
1) 生殖機能(Table 5)
性周期検査では,各群とも発情回数および発情周期において対照群との間に差は認められなかった.
生殖能力検査では,各群ともすべての例で交尾がみられたが,対照群および100 mg/kg群の各1例が不妊であった.したがって,交尾率は各群とも100 %,受(授)胎率は対照群,4,20および100 mg/kg群でそれぞれ91.67,100,100および91.67 %であり,対照群と各群との間に差は認められなかった.また,交尾所要日数においても,対照群と各群との間に差は認められなかった.
2) 分娩および哺育ならびに新生児の観察(Table 6)
分娩時の検査では,100 mg/kg群の2例で分娩直後の児の回集および保温の不良などが認められた.更に,100 mg/kg群で死産率の増加およびそれに伴う出生率の減少,雌雄新生児体重の減少が認められた.このほか,4 mg/kg群で死産率の増加がみられたが,20 mg/kg群では同様の変化は認められなかったことから,偶発的変化と考えられた.妊娠期間,黄体数,着床痕数,出産児数,新生児数,出産率および新生児の性比では各群とも対照群との間に差は認められなかった.新生児の外表検査においても,各群とも異常は認められなかった.
哺育期の検査では,20 mg/kg群の2例および100 mg/kg群の7例で児の回集,授乳,保温などの哺育行動の不良がみられ,これらの母動物では全児が死亡し,20 mg/kg以上の群では新生児の4日の生存率の減少が認められた.更に,100 mg/kg群では雌雄とも新生児の哺育4日の体重に低値が認められた.
考察
1. 反復投与毒性試験
一般状態では,100 mg/kg群の雄1例が投与18日から自発運動の低下および緩徐呼吸を呈し,投与21日に死亡した.また,同群の雌1例が妊娠22日に死亡した.更に,20 mg/kg以上の群では雌雄とも体重の増加抑制および摂餌量の減少が認められた.
雄の血液学検査では,100 mg/kg群で赤血球数およびヘマトクリット値の減少がみられ,MCHおよびMCHCの増加も認められた.しかし,ヘモグロビン量に変化はなく,病理組織学検査では脾臓で赤血球の破壊像であるヘモジデリンの沈着等は認められなかった.赤血球数およびヘマトクリット値は摂餌量の制限により減少することも報告されている1)ことから,100 mg/kg群でみられた赤血球数およびヘマトクリット値の減少は,同群でみられた摂餌量の減少に起因した変化と考えられた.また,100 mg/kg群では赤血球の減少に伴う反応性の変化として,網状赤血球率の増加が認められた.なお,20 mg/kg群においてもMCHの増加が認められた.
雄の血液生化学検査では,100 mg/kg群でアルブミン,A/G比,GOT,GPT,総ビリルビン,総コレステロールおよびリン脂質の増加ならびにトリグリセライドの減少がみられたことから,肝臓への影響が示唆された.このほか,100 mg/kg群でナトリウムおよびカリウムの減少がみられたが,電解質の変動と関連が深い腎臓では,病理組織学的にも異常はみられず,その発生機序については不明であった.
病理学検査では,100 mg/kg群の雄で肝臓重量の増加がみられ,組織学的には雌雄で小葉中心性の肝細胞の肥大が認められた.一般に肝臓の代謝酵素の誘導により小葉中心性の肝細胞が肥大することが知られている2)ことから,薬物代謝酵素が誘導された可能性が考えられた.なお,前述の如く血液生化学検査では肝胆道疾患の指標とされるGOTおよびGPTの上昇がみられたが,肝細胞,胆管上皮の壊死等の傷害性変化は認められなかった.100 mg/kg群の雄では副腎重量の増加および胸腺重量の減少がみられたが,いずれも対応する組織学的変化はなく,これらの変化はストレスが負荷された動物で観察されるものであり,100 mg/kg群の雄は投与期間を通して体重増加が抑制されていたことから,被験物質投与に関連したストレスに起因したものと考えられた.このほか,20 mg/kg群の雄で肺,腎臓,副腎,精巣および精巣上体の相対重量の増加,100 mg/kg群の雄で脳,心臓,肺,腎臓,精巣および精巣上体の相対重量の増加ならびに脾臓の絶対重量の減少,100 mg/kg群の雌で脳の相対重量の増加がみられたが,いずれも絶対重量および相対重量がともに変動したものはなく,病理組織学検査においても被験物質投与の影響はみられなかったこと,20 mg/kg以上の群では体重の増加抑制がみられ,最終体重が低値を示していることから,これらの変化は体重の低値に起因したものと考えられた.上述のほか病理組織学検査では,100 mg/kg群の雌で腎盂および乳頭の移行上皮の増殖,限局性の尿細管上皮の好塩基性化,乳腺の腺癌がみられたが,いずれも発生頻度は低く,自然発生することが知られている3-5)ことから,被験物質投与との関連性はないものと考えられた.また,4および100 mg/kg群の雄で精巣上体の精子肉芽腫,20および100 mg/kg群の雌で胸腺の萎縮がみられたが,同様の変化は対照群においてもみられており,その変化の程度も同等であったことから,被験物質投与との関連性はないものと考えられた.
死亡した100 mg/kg群の雄1例では,回腸の好中球性の細胞浸潤および肉芽の形成もみられたが,その発生原因については不明であった.このほか,肺の水腫,腺胃のびらん,脾臓の萎縮,胸腺の萎縮および出血もみられたが,本例では死亡までに自発運動の低下および緩徐呼吸が継続して認められていることから,衰弱に伴う変化と考えられた.また,死亡した100 mg/kg群の雌1例では,腺胃のびらん,肺の水腫,脾臓の萎縮および副腎の壊死がみられたが,本例の死亡は分娩直前であったことから,周産期の生理的な負荷に被験物質投与の影響が加わったことにより生じた衰弱性の変化と考えられた.
以上のように,20 mg/kg以上の群の雌雄で体重の増加抑制および摂餌量の減少が認められたことから,本試験条件下における反復投与毒性に関する無影響量は雌雄とも4 mg/kg/dayと推察された.
2. 生殖発生毒性
親動物の生殖機能に関しては,性周期,交尾率,授(受)胎率,交尾所要日数,黄体数および着床痕数に被験物質投与の影響は認められなかった.また,妊娠期間,出産児数および出産率にも被験物質投与の影響は認められなかった.一方,分娩時の観察では,100 mg/kg群の2例で分娩直後の哺育行動の不良が認められた.また,哺育期間の観察においては,全児死亡の母動物が20 mg/kg群で2例,100 mg/kg群で7例みられ,これらの例ではいずれも児の回集,授乳,保温などの哺育行動の不良が認められた.これらのことから,本被験物質の周産期投与による分娩および哺育行動への影響が示唆された.
更に,100 mg/kg群では死産率の増加およびそれに伴う出生率の減少がみられたが,この変化については,前述した母動物の分娩直後の哺育行動の不良に起因したものと考えられた.また,20 mg/kg以上の群では,新生児の4日の生存率の減少がみられたが,この変化は,母動物に哺育行動の不良がみられ全児が死亡したことに起因したものであり,直接的な原因は母動物の哺育行動の不良と考えられた.また,新生児の体重では,100 mg/kg群で雌雄とも出生時の体重が低く,哺育4日においても増加抑制がみられたことから,胎生期および哺育期の被験物質投与による胎児および出生児の発育に及ぼす影響が示唆された.
以上のように,親動物の生殖機能に被験物質投与の影響はみられなかったが,20 mg/kg以上の群で母動物に哺育行動の不良がみられ,100 mg/kg群で新生児の哺育4日の体重に低値が認められたことから,本試験条件下における生殖発生毒性に関する無影響量は親動物に対しては雄で100 mg/kg/day,雌で4 mg/kg/day,児動物に対しては20 mg/kg/dayと推察された.
文献
| 1) | J. C. Edozien, and B. R. Switzer, J. Nutr., 107, 1016(1977). |
| 2) | J. R. Glaistar, "Principles of Toxicological Pathology," eds. by Taylar & Francis, London and philadelphia, 1986, pp. 83-85. |
| 3) | P. Greaves, "Histopathology of Preclinical Toxicity Studies," ed. by P. Greaves, Interpretation and Relevance in Drug Safety Evaluation, Elsevier, Amsterdam, 1990, pp. 548-549. |
| 4) | P. Greaves, "Histopathology of Preclinical Toxicity Studies," ed. by P. Greaves, Interpretation and Relevance in Drug Safety Evaluation, Elsevier, Amsterdam, 1990, pp. 61-62. |
| 5) | 渡辺満利,"毒性試験講座5.毒性病理学,"前川昭彦,林裕造編,地人書館,東京,1992, p. 279. |
| 連絡先 |
| 試験責任者: | 和泉宏幸 |
| 試験担当者: | 木村栄介,幸 邦憲,千々波智子,鍬先恵美子,一鬼 勉 |
| (株)パナファーム・ラボラトリーズ 安全性研究所 |
| 〒869-0425 熊本県宇土市栗崎町1285 |
| Tel 0964-23-5111 | Fax 0964-23-2282 | |
| Correspondence |
| Authors: | Hiroyuki Izumi(Study director)
Eisuke Kimura, Kuninori Yuki, Tomoko Chijiwa, Emiko Kuwasaki, Tsutomu Ichiki |
| Safety Assessment Laboratory, Panapharm Laboratories Co., Ltd. |
| 1285 Kurisaki-machi, Uto-shi, Kumamoto, 869-0425, Japan. |
| Tel +81-964-23-5111 | Fax +81-964-23-2282 | |