2¡Ý¥¢¥ß¥Î¡Ý5¡Ý¥¯¥í¥í¡Ý4¡Ý¥á¥Á¥ë¥Ù¥ó¥¼¥ó¥¹¥ë¥Û¥ó»À¤Î
¥é¥Ã¥È¤òÍѤ¤¤ë28Æü´Ö¤ÎÈ¿ÉüÅêÍ¿ÆÇÀ­»î¸³

Twenty-eight-day Repeated Dose Toxicity Test of 2-Amino-5-chloro-4-methylbenzenesulfonic acid in Rats

Í×Ìó

2¡Ý¥¢¥ß¥Î¡Ý5¡Ý¥¯¥í¥í¡Ý4¡Ý¥á¥Á¥ë¥Ù¥ó¥¼¥ó¥¹¥ë¥Û¥ó»À¤ÎÆÇÀ­¤òÌÀ¤é¤«¤Ë¤¹¤ë¤¿¤á¡¢SD·Ï¥é¥Ã¥È¤òÍѤ¤¤¿¶¯À©·Ð¸ýÅêÍ¿¤Ë¤è¤ë28Æü´ÖÈ¿ÉüÅêÍ¿ÆÇÀ­»î¸³¤ò¼Â»Ü¤·¤¿¡£

2¡Ý¥¢¥ß¥Î¡Ý5¡Ý¥¯¥í¥í¡Ý4¡Ý¥á¥Á¥ë¥Ù¥ó¥¼¥ó¥¹¥ë¥Û¥ó»À¤Ï¡¢0.5%¥«¥ë¥Ü¥­¥·¥á¥Á¥ë¥»¥ë¥í¡¼¥¹¡¦¥Ê¥È¥ê¥¦¥à¿åÍϱդ˷üÂù¤·¡¢0¡¢100¡¢300¤ª¤è¤Ó1,000 mg/kg¤òËèÆü1²ó¡¢4½µ´ÖϢ³·Ð¸ýÅêÍ¿¤·¤¿¡£¤½¤Î·ë²Ì¤Ï¡¢¼¡¤Î¤È¤ª¤êÍ×Ì󤵤ì¤ë¡£

ÅêÍ¿´ü´Ö¤ª¤è¤Ó²óÉü´ü´Ö¤òÄ̤¸¤Æ¡¢»óͺ¤¤¤º¤ì¤Î·²¤Ë¤â°ìÈ̾õÂ֤δѻ¡¤Ç°Û¾ï¤Îǧ¤á¤é¤ì¤¿Æ°Êª¤Ï¤Ê¤¯¡¢»àË´Îã¤âǧ¤á¤é¤ì¤Ê¤«¤Ã¤¿¡£

ÂνŤϡ¢Íº¤Î300¤ª¤è¤Ó1,000 mg/kg·²¤ÇÁý²ÃÍÞÀ©·¹¸þ¤Ë¤¢¤Ã¤¿¤¬¡¢È︳ʪ¼ÁÅêÍ¿¤Î±Æ¶Á¤È¸À¤¨¤ëÄøÌÀ³Î¤Ê¤â¤Î¤Ç¤Ï¤Ê¤«¤Ã¤¿¡£

ÀݱÂÎ̤ˤϡ¢ÅêÍ¿´ü´Ö¤ª¤è¤Ó²óÉü´ü´Ö¤òÄ̤¸¤Æ»óͺ¤È¤â·²´Ö¤Çº¹¤¬Ç§¤á¤é¤ì¤Ê¤«¤Ã¤¿¡£

·ì±Õ·ÁÂÖ³ØÅª¸¡ºº¡¢·ì±Õ¶Å¸Ç¸¡ºº¤ª¤è¤Ó·ì±ÕÀ¸²½³ØÅª¸¡ºº·ë²Ì¤Ë¤Ï¡¢»óͺ¤È¤âÈ︳ʪ¼ÁÅêÍ¿¤Ëµ¯°ø¤¹¤ë¤È¹Í¤¨¤é¤ì¤ëÊѲ½¤Ïǧ¤á¤é¤ì¤Ê¤«¤Ã¤¿¡£

Ç¢¸¡ºº¤Î·ë²Ì¡¢»óͺ¤È¤â¥¦¥í¥Ó¥ê¥Î¡¼¥²¥óÍÛÀ­¡¢Ç¢pH¤ÎÄã²¼¤¬Ç§¤á¤é¤ì¤¿¤¬¡¢¼ç¤ËÈ︳ʪ¼Á¤ÎÂå¼Õʪ¤Ë¤è¤ëÊѲ½¤È¹Í¤¨¤é¤ì¡¢ÆÃÄê¡´ï¤Î¾ã³²¤Ëµ¯°ø¤·¤¿ÊѲ½¤È¤Ï¹Í¤¨¤é¤ì¤Ê¤«¤Ã¤¿¡£

¡´ï½ÅÎ̬Äê¤Î·ë²Ì¡¢»óͺ¤È¤â½ÅÎ̬Äê¤ò¼Â»Ü¤·¤¿¤¹¤Ù¤Æ¤Î¡´ï¤Ë¤Ä¤¤¤Æ¡¢È︳ʪ¼ÁÅêÍ¿¤Ëµ¯°ø¤¹¤ë¤È¹Í¤¨¤é¤ì¤ëÊѲ½¤Ïǧ¤á¤é¤ì¤Ê¤«¤Ã¤¿¡£

ÉÂÍý³Ø¸¡ºº¤Î·ë²Ì¡¢ÅêÍ¿½ªÎ»»þ¤ª¤è¤Ó²óÉü»î¸³½ªÎ»»þ¤Î·×²èÅË»¦Æ°Êª¤Ë¤ª¤¤¤Æ¡¢È︳ʪ¼ÁÅêÍ¿¤Ë¤è¤ë¤È¹Í¤¨¤é¤ì¤ëÆù´ã½ê¸«¤Ï¡¢»óͺ¤È¤â´Ñ»¡¤µ¤ì¤Ê¤«¤Ã¤¿¡£

ÅêÍ¿½ªÎ»»þ¤ÎÂоȷ²¤ª¤è¤Ó1,000 mg/kg·²¤Ë¤Ä¤¤¤ÆÁÈ¿¥³Ø¸¡ºº¤ò¹Ô¤Ã¤¿¤¬¡¢È︳ʪ¼ÁÅêÍ¿¤Ë¤è¤ë¤È¹Í¤¨¤é¤ì¤ë½ê¸«¤Ï¡¢»óͺ¤È¤â´Ñ»¡¤µ¤ì¤Ê¤«¤Ã¤¿¡£

°Ê¾å¤Î·ë²Ì¡¢»óͺ¤È¤â̵±Æ¶ÁÎ̤Ï1,000 mg/kg/day¤ÈȽÃǤµ¤ì¤¿¡£

½ï¸À

OECD¤òÃæ¿´¤Ë¤·¤Æ¡¢´û¸²½³ØÊª¼ÁÅÀ¸¡ºî¶È¤¬¼Â»Ü¤µ¤ì¤Æ¤¤¤ë¤¬¡¢ÆüËÜÆÈ¼«¤ÎÅÀ¸¡ºî¶È¤È¤·¤Æ¡¢2¡Ý¥¢¥ß¥Î¡Ý5¡Ý¥¯¥í¥í¡Ý4¡Ý¥á¥Á¥ë¥Ù¥ó¥¼¥ó¥¹¥ë¥Û¥ó»À¤Î¥é¥Ã¥È¤òÍѤ¤¤¿28Æü´ÖÈ¿ÉüÅêÍ¿ÆÇÀ­»î¸³¤ò¼Â»Ü¤·¤¿¡£

ÊýË¡

1.È︳ʪ¼Á

2¡Ý¥¢¥ß¥Î¡Ý5¡Ý¥¯¥í¥í¡Ý4¡Ý¥á¥Á¥ë¥Ù¥ó¥¼¥ó¥¹¥ë¥Û¥ó»À¡ÊCAS No. 88-53-9¡¢ÊÌ̾¡§C»À¡¢ÂçÆüËÜ¥¤¥ó¥­²½³Ø¹©¶È³ô¼°²ñ¼ÒÀ½Â¤¡¢¼ÒÃÄË¡¿ÍÆüËܲ½³Ø¹©¶È¶¨²ñÄ󶡡ˤÏÇò¿§Ê´Ëö¤Ç¡¢¿å¤ËÆñÍÏ¡¢Ê¬»Ò¼°C7H8ClNO3S¡¢Ê¬»ÒÎÌ221.5¤Îʪ¼Á¤Ç¤¢¤ë¡£Ëܻ¤ËÍѤ¤¤¿¥í¥Ã¥È¤Î½ãÅÙ¤Ï99.5%°Ê¾å¤Ç¤¢¤ë¡£

2.¶¡»îưʪ

¶¡»î¤·¤¿¥é¥Ã¥È¡ÎCrj: CD(SD)·Ï¡¢SPF¡Ï¤ÏÆüËÜ¥Á¥ã¡¼¥ë¥¹¡¦¥ê¥Ð¡¼³ô¼°²ñ¼Ò¡Ê¿ÀÆàÀ¸üÌڻԡˤ«¤é4½µÎð¤Ç¹ØÆþ¤·¤¿¡£

ưʪ¤ò¸¡¼ý¸å¡¢»î¸³´Ä¶­¤Ë9Æü´ÖÆë²½¤µ¤»¤¿¸å¡¢6½µÎð¤ÇÅêÍ¿¤ò³«»Ï¤·¤¿¡£Æ°Êª¤Ï¤¢¤é¤«¤¸¤áÂνŤˤè¤Ã¤ÆÁØÊ̲½¤·¡¢Ìµºî°ÙÃê½ÐË¡¤Ë¤è¤ê³Æ»î¸³·²¤ò¹½À®¤¹¤ë¤è¤¦¤Ë·²Ê¬¤±¤·¤¿¡£

ưʪ¤Î¼±Ê̤ϡ¢¸ÄÂÎÊÌ»ô°é¥±¡¼¥¸¤Ëưʪɸ¼±ÈÖ¹æ¡ÊAnimal ID-No.¡Ë¤òÉÕ¤¹¤³¤È¤Ë¤è¤ê¹Ô¤Ã¤¿¡£

ÅêÍ¿³«»Ï»þ¤ÎÂνŤÏͺ¤Ç137¡Á151 g¡¢»ó¤Ç111¡Á127 g¤Ç¤¢¤Ã¤¿¡£

3.»ô°é¾ò·ï

ưʪ¤Ï¥Ð¥ê¥¢¥·¥¹¥Æ¥à¤Î»ô°é¼¼¡ÊW 9.8¡ßD 8.2¡ßH 2.5 m¡¢200.9 m^3¡Ë¤Ç»ô°é¤·¡¢´Ä¶­Ä´Àá¤ÎÌÜɸÃͤϲ¹ÅÙ23¡Þ1¡î¡¢ÁêÂм¾ÅÙ55¡Þ5%¡¢´¹µ¤²ó¿ô20²ó¡¿»þ¡¢¾ÈÌÀ150¡Á300 lux¡¢12»þ´Ö¡Ê¸áÁ°7»þÅÀÅô¡¢¸á¸å7»þ¾ÃÅô¡Ë¤È¤·¤¿¡£

³ô¼°²ñ¼ÒÅìµþµ»¸¦¥µ¡¼¥Ó¥¹¡ÊÅìµþÅÔÉÜÃæ»Ô¡Ë¤Î¿åÀö¼°»ô°éµ¡¡ÊW 674.2¡ßD 80.0¡ßH 175.5 cm¡Ë¤ò»ÈÍѤ·¡¢¶â°À½Á°ÌÌ¡¦¾²ÌÖÌÜ»ô°é¥±¡¼¥¸¡ÊW 20.0¡ßD 28.2¡ßH 18.0 cm¡¢»ô°é¥±¡¼¥¸¡¦¥¹¥Ú¡¼¥¹10,152 cm^3¡Ë¤Ëưʪ¤ò1ɤ¤º¤Ä¼ýÍÆ¤·¡¢¥ª¥ê¥¨¥ó¥¿¥ë¹ÚÊ칩¶È³ô¼°²ñ¼Ò¡ÊÅìµþÅÔÃæ±û¶è¡ËÀ½Â¤¤ÎÊü¼ÍÀþÌǶݲþÎÉNIH¸ø³«¥é¥Ã¥È¡¦¥Þ¥¦¥¹»ôÎÁ¤ª¤è¤Ó¿åÆ»¿å¤ò¼«Í³¤ËÀݼ褵¤»¤¿¡£»ô°é¥±¡¼¥¸¤Ï³Ö½µ1²ó¡¢µë±Â´ï¤Ï½µ1²ó¼è¤ê´¹¤¨¤¿¡£

¤Ê¤ª¡¢Æ°Êª¤ÎÆë²½´ü´Ö¤ò´Þ¤á¡¢ÅêÍ¿¤ª¤è¤Ó²óÉü´ü´ÖÃæ¡¢¥Ç¡¼¥¿¤Î¿®ÍêÀ­¤Ë±Æ¶Á¤òµÚ¤Ü¤·¤¿¤È»×¤ï¤ì¤ë´Ä¶­Í×°ø¤ÎÊѲ½¤Ï¤Ê¤«¤Ã¤¿¡£

4.»î¸³·²¤Î¹½À®

»î¸³·²¤Î¹½À®¤Ï²¼µ­¤Ë¼¨¤·¤¿¡£

1·²»óͺ³Æ5ɤ¤È¤·¡¢0¤ª¤è¤Ó1,000mg/kg·²¤Ë»óͺ³Æ5ɤ¤Î²óÉü·²¤òÀߤ±¡¢·×60ɤ¤ò»ÈÍѤ·¤¿¡£

¡ÎÍÑÎÌÀßÄêÍýͳ¡Ï

ÍÑÎÌÀßÄê¤Î¤¿¤á¤Î2½µ´ÖÅêÍ¿¤Ë¤è¤ëͽÈ÷»î¸³¤ò0¡¢100¡¢300¤ª¤è¤Ó1,000 mg/kg/day¤Î4ÍÑÎ̤Ǽ»ܤ·¤¿¡£

¤½¤Î·ë²Ì¡¢»àË´Îã¤Ï¤¤¤º¤ì¤ÎÅêÍ¿·²¤Ç¤â¤ß¤é¤ì¤º¡¢¤Þ¤¿¡¢Âνš¢»ôÎÁÀݼèÎÌ¡¢ÉÂÍý²ò˶½ê¸«¤ª¤è¤Ó¡´ï½ÅÎ̤ˤâÈ︳ʪ¼ÁÅêÍ¿¤Ëµ¯°ø¤¹¤ë¤È¹Í¤¨¤é¤ì¤ëÊѲ½¤Ïǧ¤á¤é¤ì¤Ê¤«¤Ã¤¿¡£½¾¤Ã¤Æ¡¢28Æü´ÖÈ¿ÉüÅêÍ¿»î¸³¤Ë¤ª¤±¤ëºÇ¹âÍÑÎ̤ϡ¢¸Â³¦ÍÑÎ̤Î1,000 mg/kg¤È¤·¡¢°Ê²¼¸øÈæ3¤Ç½ü¤·ÃæÍÑÎ̤ò300 mg/kg¡¢ÄãÍÑÎ̤ò100 mg/kg¤ËÀßÄꤷ¤¿¡£Ê̤ˡ¢Ã´ÂΡÊ0.5%¥«¥ë¥Ü¥­¥·¥á¥Á¥ë¥»¥ë¥í¡¼¥¹¡¦¥Ê¥È¥ê¥¦¥à¿åÍϱաˤΤߤòÅêÍ¿¤¹¤ëÂоȷ²¤òÀߤ±¤¿¡£

5.ÅêÍ¿ÊýË¡

È︳ʪ¼Á¤ÎÅêÍ¿·ÐÏ©¤Ï·Ð¸ý¤È¤·¤¿¡£È︳ʪ¼Á¤Ï0.5%¥«¥ë¥Ü¥­¥·¥á¥Á¥ë¥»¥ë¥í¡¼¥¹¡¦¥Ê¥È¥ê¥¦¥à¿åÍϱդ˷üÂù¤·¡¢°ß¥¾¥ó¥Ç¤òÍѤ¤¤Æ·Ð¸ýÅêÍ¿¤·¤¿¡£ÅêÍ¿ÍÆÎ̤ÏÂνÅ100 gÅö¤ê0.5ml¤È¤·¤¿¡£Âоȷ²¤Ë¤ÏôÂΡÊ0.5%¥«¥ë¥Ü¥­¥·¥á¥Á¥ë¥»¥ë¥í¡¼¥¹¡¦¥Ê¥È¥ê¥¦¥à¿åÍϱաˤΤßÅêÍ¿¤·¤¿¡£

6.ÅêÍ¿±Õ¤ÎÄ´À½¡¢Ê¬ÀÏ

È︳ʪ¼Á¤Ï¡¢»ØÄêÍÑÎÌ¡Ê100¡¢300¤ª¤è¤Ó1,000 mg/kg¡Ë¤´¤È¤Ë½êÄêÎ̤òÀºÇ餷¡¢¥á¥Î¡¼ÆýÈ­¤òÍѤ¤¤Æ·üÂù±Õ¤òÄ´À½¤·¤¿¡£ÅêÍ¿±Õ¤ÏÄ´À½¸å¡¢Î䢸ËÊݸ¤Ç2½µ´Ö°ÂÄê¤Ç¤¢¤ë¤³¤È¤¬³Îǧ¤µ¤ì¤Æ¤¤¤ë¤¬¡¢Ëܻ¤Ë¤ª¤¤¤Æ¤ÏËè½µ1²óÄ´À½¤ò¹Ô¤Ã¤¿¡£ÅêÍ¿±Õ¤ÎÇ»ÅÙʬÀϤò¤¹¤Ù¤Æ¤Î·²¤Ë´Ø¤·ÅêÍ¿1¤ª¤è¤Ó4½µ¤ÎÄ´À½±Õ¤Ë¤Ä¤¤¤Æ¼Â»Ü¤·¤¿·ë²Ì¡¢ÀßÄêÇ»ÅÙ¤Î97.3¡Á104%¤ÎÈϰϤǤ¢¤ê¡¢Å¬ÀÚ¤ËÄ´À½¤µ¤ì¤Æ¤¤¤¿¡£

7.ÅêÍ¿´ü´Ö

ÅêÍ¿´ü´Ö¤Ï28Æü´Ö¤È¤·¡¢ÅêÍ¿½ªÎ»¸å0¤ª¤è¤Ó1,000 mg/kg·²¤Ë¤Ä¤¤¤Æ2½µ´Ö¤Î²óÉü»î¸³¤ò¼Â»Ü¤·¤¿¡£

8.´Ñ»¡¡¢Â¬Äꤪ¤è¤Ó¸¡ºº

1).°ìÈ̾õÂ֤δѻ¡

Á´Æ°Êª¤òËèÆü¸áÁ°¡¢¸á¸å¤Î2²ó¡ÊµÙÆü¤Ï1²ó¡Ë´Ñ»¡¤·¡¢ÃæÆÇ¾É¾õ¤Î̵ͭ¡¢¹Ôư°Û¾ï¡¢»à´ü¤ÎÇ÷¤Ã¤¿Æ°Êª¤ª¤è¤Ó»à˴ưʪ¤Î̵ͭÅù¤òµ­Ï¿¤·¤¿¡£

2).ÂνÅ

ÅêÍ¿³«»Ï¤«¤é²óÉü»î¸³½ªÎ»»þ¤Þ¤Ç¡¢Ëè½µ1²ó¬Äꤷ¤¿¡£

3).ÀݱÂÎÌ

Ëè½µ1²óµë±Â¤·¤¿»ÄÎ̤ò¬Äꤷ¡¢»ôÎÁÀݼèÎÌ¡Êg/week¡Ë¤ò»»½Ð¤·¤¿¡£

4).Î×¾²¸¡ºº

ÅêÍ¿½ªÎ»»þ¤ª¤è¤Ó²óÉü´ü´Ö½ªÎ»»þ¤Î·×2²ó¼Â»Ü¤·¤¿¡£

ºÎ·ì¤¹¤ë¤ËÅö¤ê¡¢Æ°Êª¤ÏÌó16»þ´ÖÀä¿©¤µ¤»¤¿¡£Æ°Êª¤ò¥¨¡¼¥Æ¥ë¤ÇËã¿ì¸å³«Ê¢¤·¡¢Ê¢ÉôÂçÆ°Ì®¤«¤éºÎ·ì¤·¤¿¡£

a.·ì±Õ·ÁÂÖ³ØÅª¸¡ºº

¸¡ºº¤Ë¤ÏEDTA-3K¤òź²Ã¤·¤¿½é·ì¤òÍѤ¤¤¿¡£

Çò·ìµå¿ô¡ÊWBC¡§°Å»ëÌîÈÄË¡¡Ë¡¢ÀÖ·ìµå¿ô¡ÊRBC¡§°Å»ëÌîÈÄË¡¡Ë¡¢¥Ø¥â¥°¥í¥Ó¥óÎÌ¡ÊHGB¡§¥·¥¢¥ó¥á¥È¥Ø¥â¥°¥í¥Ó¥óË¡¡Ë¡¢¥Ø¥Þ¥È¥¯¥ê¥Ã¥ÈÃÍ¡ÊHCT¡§Á´ÀÖ·ìµå¤ÎÍÆÀѤè¤êÊäÀµ¡Ë¡¢Ê¿¶ÑÀÖ·ìµåÍÆÀÑ¡ÊMCV¡§RBC, HCT¤è¤ê»»½Ð¡Ë¡¢Ê¿¶ÑÀÖ·ìµå·ì¿§ÁÇÎÌ¡ÊMCH¡§HGB, RBC¤è¤ê»»½Ð¡Ë¡¢Ê¿¶ÑÀÖ·ìµå·ì¿§ÁÇÇ»ÅÙ¡ÊMCHC¡§HGB, HCT¤è¤ê»»½Ð¡Ë¡¢·ì¾®ÈÄ¿ô¡ÊPLT¡§°Å»ëÌîÈÄË¡¡Ë¤ª¤è¤ÓÇò·ìµåɴʬΨ¡Ê¥Õ¥í¡¼¥µ¥¤¥È¥±¥ß¥¹¥È¥ê¡¼Ë¡¡Ë¤Ï·ì±Õ¼«Æ°Ê¬ÀÏÁõÃÖTHMS¡ÊÊÆ¹ñ¥Æ¥¯¥Ë¥³¥ó¼Ò¡Ë¤òÍѤ¤¤ÆÂ¬Äꤷ¤¿¡£

ÌÖÀÖ·ìµå¡ÊRC¡ËΨ»»ÄêÍѤˡ¢Á´·ì¤ò¥­¥ã¥Ô¥í¥Ã¥È¡Ê¥Æ¥ë¥â³ô¼°²ñ¼Ò¡¢ÅìµþÅÔ½Âë¶è¡Ë¤ÇÀ÷¿§¸å¡¢·ì±ÕÅÉËõɸËܤòºîÀ½¤·Êݴɤ·¤¿¡£

¤Þ¤¿¡¢¥¯¥¨¥ó»À¥½¡¼¥Àź²Ã·ì±Õ¤Î·ìÞù¤Ë¤Ä¤¤¤Æ¡¢¥×¥í¥È¥í¥ó¥Ó¥ó»þ´Ö¡Êguick 1ÃÊË¡¡Ë¤ª¤è¤Ó³èÀ­²½Éôʬ¥È¥í¥ó¥Ü¥×¥é¥¹¥Á¥ó»þ´Ö¡Ê¥¯¥í¥Ã¥ÈË¡¡Ë¤ò·ì±Õ¶Å¸Ç¼«Æ°Â¬ÄêÁõÃÖKC-40¡ÊÆÈ¹ñAmelung¼Ò¡Ë¤òÍѤ¤¤ÆÂ¬Äꤷ¤¿¡£

b.À¸²½³ØÅª¸¡ºº

·ìÀ¶¤òÍѤ¤¤Æ¡¢ÁíÃÁÇò¡Ê¥Ó¥å¡¼¥ì¥Ã¥ÈË¡¡Ë¡¢¥¢¥ë¥Ö¥ß¥ó¡ÊB.C.G.Ë¡¡Ë¡¢A/GÈæ¡Ê·×»»Ã͡ˡ¢·ìÅü¡Ê¥Ø¥­¥½¥­¥Ê¡¼¥¼Ë¡¡Ë¡¢ÃæÀ­»éËáʹÚÁÇË¡¡Ë¡¢Áí¥³¥ì¥¹¥Æ¥í¡¼¥ë¡Ê¹ÚÁÇË¡¡Ë¡¢Ç¢ÁÇÃâÁÇ¡ÊBUN¡§¥¦¥ì¥¢¡¼¥¼²þÎÉË¡¡Ë¡¢¥«¥ë¥·¥¦¥à¡Ê¥¢¥ê¥¶¥ê¥óË¡¡Ë¡¢Ìµµ¡¥ê¥ó¡Ê¥â¥ê¥Ö¥Ç¥ó¥Ö¥ë¡¼Ë¡¡Ë¡¢¥Ê¥È¥ê¥¦¥à¡ÊÅŶËË¡¡Ë¡¢¥«¥ê¥¦¥à¡ÊÅŶËË¡¡Ë¤ª¤è¤Ó±öÁÇ¡ÊÅŶËË¡¡Ë¤òEKTACHEM 700N¡ÊÊÆ¹ñ¥³¥À¥Ã¥¯¼Ò¡Ë¤Ç¡¢¥¯¥ì¥¢¥Á¥Ë¥ó¡ÊJaffË¡¡Ë¡¢¥°¥ë¥¿¥ß¥ó»À¥ª¥­¥¶¥í¿Ý»À¥È¥é¥ó¥¹¥¢¥ß¥Ê¡¼¥¼¡ÊGOT¡§Karmen²þÎÉË¡¡Ë¡¢¥°¥ë¥¿¥ß¥ó»À¥Ô¥ë¥Ó¥ó»À¥È¥é¥ó¥¹¥¢¥ß¥Ê¡¼¥¼¡ÊGPT¡§Wroblewski and LaDue²þÎÉË¡¡Ë¡¢¦Ã¡¼¥°¥ë¥¿¥ß¥ë¥È¥é¥ó¥¹¥Ú¥×¥Á¥À¡¼¥¼¡Ê¦Ã-GTP¡§¹ÚÁÇË¡¡Ë¤ª¤è¤Ó¥¢¥ë¥«¥ê¥Û¥¹¥Õ¥¡¥¿¡¼¥¼¡ÊALP¡§Bessey-Lowry-Brock²þÎÉË¡¡Ë¤òCentrifiChem ENCORE­¶¡ÊÊÆ¹ñ¥Ù¡¼¥«¡¼¼Ò¡Ë¤Ç¬Äꤷ¤¿¡£

c.Ç¢¸¡ºº

·ì±Õ³Ø¸¡ºº¤ËÀèΩ¤Á¡¢ºÎÇ¢´ï¤òÍѤ¤¤Æ24»þ´Ö¡Ê¸áÁ°10»þ¤«¤éÍâÆü¸áÁ°10»þ¤Þ¤Ç¡ËÇ¢¤òºÎ¼è¤·¡¢Ç¢ÎÌ¡¢¿§Ä´¤ª¤è¤ÓÂùÅÙ¤ò¸¡ºº¸å¡¢Ç¢Èæ½Å·×UR-S¡Ê³ô¼°²ñ¼Ò¥¢¥¿¥´¡¢ÅìµþÅÔÈͶ¶è¡Ë¤òÍѤ¤¤ÆÇ¢Èæ½Å¤ò¬Äꤷ¤¿¡£¤Þ¤¿¡¢Ç¢¤ò±ó¿´Ê¬Î¥¸åSternheimerÊÑË¡¤Ë¤è¤êÄÀÞÖ¤òÀ÷¿§¤·¡¢¶À¸¡¤·¤¿¡£

pH¡¢Àø·ì¡¢¥±¥È¥óÂΡ¢Åü¡¢ÃÁÇò¡¢¥Ó¥ê¥ë¥Ó¥ó¤ª¤è¤Ó¥¦¥í¥Ó¥ê¥Î¡¼¥²¥ó¤Ë¤Ä¤¤¤Æ¡¢N-¥Þ¥ë¥Æ¥£¥¹¥Æ¥£¥Ã¥¯¥¹SG»î¸³»æ¡Ê¥Þ¥¤¥ë¥¹¡¦»°¶¦³ô¼°²ñ¼Ò¡¢ÅìµþÅÔÃæ±û¶è¡Ë¤ª¤è¤ÓCLINITEK200¡ÊÊÆ¹ñ¥Þ¥¤¥ë¥¹¼Ò¡Ë¤òÍѤ¤¤ÆÂ¬Äꤷ¤¿¡£¥¦¥í¥Ó¥ê¥Î¡¼¥²¥ó¤Ë¤Ä¤¤¤Æ¤Ï¡¢¥¦¥í¥Ú¡¼¥Ñ¡¼¡È±É¸¦¡ÉUAG-3¡Ê±É¸¦²½³Ø³ô¼°²ñ¼Ò¡¢ÅìµþÅÔʸµþ¶è¡Ë¤òÄɲûÈÍѤ·¤¿¡£

5).ÉÂÍý³Ø¸¡ºº

ÉÂÍý²ò˶¤ÏÅêÍ¿½ªÎ»»þ¤ª¤è¤Ó²óÉü´ü´Ö½ªÎ»»þ¤Ëưʪ¤ò¥¨¡¼¥Æ¥ëËã¿ì¤·¡¢Êü·ìÃ׻व¤»¼Â»Ü¤·¤¿¡£Æù´ãŪ°Û¾ï¤òÉÂÍý²ò˶½ê¸«µ­Ï¿¥·¡¼¥È¤Ëµ­Ï¿¤·¤¿¡£¤Þ¤¿¡¢Ç¾¡¢´Î¡¢¿Õ¡¢ç£¡¢Éû¿Õ¡¢ÀºÁ㤪¤è¤ÓÍñÁã¤Ë¤Ä¤¤¤Æ½ÅÎ̤ò¬Äꤷ¡¢Â¡´ï½ÅÎÌ¡¦ÂνÅÈæ¤ò»»½Ð¤·¤¿¡£¾åµ­½ÅÎ̬Äê¡´ï¤È²¼¿âÂΡ¢´ãµå¡¢¹Ã¾õÁ£¡Ê¾åÈé¾®ÂΤò´Þ¤à¡Ë¡¢¿´¡¢ÇÙ¡¢°ß¡¢ç¯æù¡¢¿ñ¡ÊÂçÂܹü¡Ë¤ª¤è¤ÓÆù´ã½ê¸«¤ÇÊѲ½¤¬Ç§¤á¤é¤ì¤¿´ï´±¡¦ÁÈ¿¥¤Ï10%ÃæÀ­´Ë¾×¥Û¥ë¥Þ¥ê¥ó±Õ¤Ç¸ÇÄꤷ¤¿¡£

ÉÂÍýÁÈ¿¥³Ø¸¡ºº¤Ï¸ÇÄꤷ¤¿´ï´±¡¦ÁÈ¿¥¤Î¤¦¤Á¡¢Âоȷ²¤È¹âÍÑÎÌ·²¤Î¿´¡¢´Î¡¢ç£¡¢¿Õ¤ª¤è¤ÓÉû¿Õ¤Ë¤Ä¤¤¤Æ¹Ô¤Ã¤¿¡£¾ïË¡¤Ë½¾¤Ã¤ÆÇöÀÚɸËܤòºîÀ½¤·¡¢¥Ø¥Þ¥È¥­¥·¥ê¥ó¡¦¥¨¥ª¥¸¥óÀ÷¿§¤·¶À¸¡¤·¤¿¡£

6).¥Ç¡¼¥¿¤Îµ­Ï¿¤ª¤è¤ÓÅý·×ʬÀÏ

³Æ»î¸³·²¤ÎÂνš¢»ôÎÁÀݼèÎÌ¡¢·ì±Õ³Ø¸¡ººÃÍ¡¢À¸²½³Ø¸¡ººÃÍ¡¢Ç¢¸¡ººÃÍ¡ÊÇ¢Î̤ª¤è¤ÓÇ¢Èæ½Å¤Î¤ß¡Ë¡¢Â¡´ï½ÅÎ̤ª¤è¤Ó¡´ï½ÅÎÌ¡¦ÂνÅÈæ¤Ï¡¢²¼µ­¤Ë¼¨¤·¤¿¼«Æ°È½ÊÌÊý¼°¤Ë½¾¤¤¡¢ºÇ½é¤ËBartlett¤ÎÅùʬ»¶¸¡Äê¤ò¼Â»Ü¤·¤¿¡£Åùʬ»¶¤Î¾ì¹ç¤Ï°ì¸µÇÛÃÖ¤Îʬ»¶Ê¬ÀϤò¹Ô¤¤¡¢Ê¬»¶¤¬Í­°Õ¤Ç³Æ·²¤ÎɸËÜ¿ô¤¬Æ±¿ô¤Î¾ì¹ç¤ÏDunnett¤Î¿½ÅÈæ³Ó¸¡Äê¡¢³Æ·²¤ÎɸËÜ¿ô¤¬°Û¤Ê¤ë¾ì¹ç¤ÏDuncan¤Î¿½ÅÈϰϸ¡Äê¤ÇÂоȷ²¤È³ÆÅêÌô·²´Ö¤ÎÍ­°Õº¹¤ò¸¡Äꤷ¤¿¡£Bartlett¤ÎÅùʬ»¶¸¡Äê¤ÇÉÔÅùʬ»¶¤Î¾ì¹ç¤ÏKruskal-Wallis¤Î½ç°Ì¸¡Äê¤ò¼Â»Ü¤·¡¢Í­°Õ¤Î¾ì¹ç¤Ï¥Î¥ó¥Ñ¥é¥á¥È¥ê¥Ã¥¯¤ÎDunnett¤Î¿½ÅÈæ³Ó¸¡Äê¤ÇÂоȷ²¤È³ÆÅêÌô·²´Ö¤ÎÍ­°Õº¹¤ò¸¡Äꤷ¤¿¡£

¤Ê¤ª¡¢ÍÑÎÌÁê´ØÀ­¤Ë¤Ä¤¤¤Æ¤Ï¡¢Jonckheere¤Î·¹¸þ¸¡Äê¤òÍѤ¤¤ÆÍ­°Õº¹¤ò¸¡Äꤷ¤¿¡£

Í­°Õ¿å½à¤Ï5¤ª¤è¤Ó1%¤ÎÊÒ¦¸¡Äê¤Ç¼Â»Ü¤·¤¿¡£

·ë²Ì

1.»à˴Ψ

ÅêÍ¿´ü´ÖÃæ¡¢»óͺ¤È¤âÂоȷ²¤ò´Þ¤à¤¹¤Ù¤Æ¤Î»î¸³·²¤Ç»àË´Îã¤Ïǧ¤á¤é¤ì¤Ê¤«¤Ã¤¿¡£¤Þ¤¿¡¢²óÉü´ü´ÖÃæ¡¢»óͺ¤È¤âÂоȷ²¤ª¤è¤Ó1,000 mg/kg·²¤Ç»àË´Îã¤Ïǧ¤á¤é¤ì¤Ê¤«¤Ã¤¿¡£

2.°ìÈ̾õÂ֤δѻ¡

ÅêÍ¿´ü´Ö¤ª¤è¤Ó²óÉü´ü´Ö¤òÄ̤¸¤Æ»óͺ¤¤¤º¤ì¤Î·²¤Ë¤â°Û¾ïưʪ¤Ï´Ñ»¡¤µ¤ì¤Ê¤«¤Ã¤¿¡£

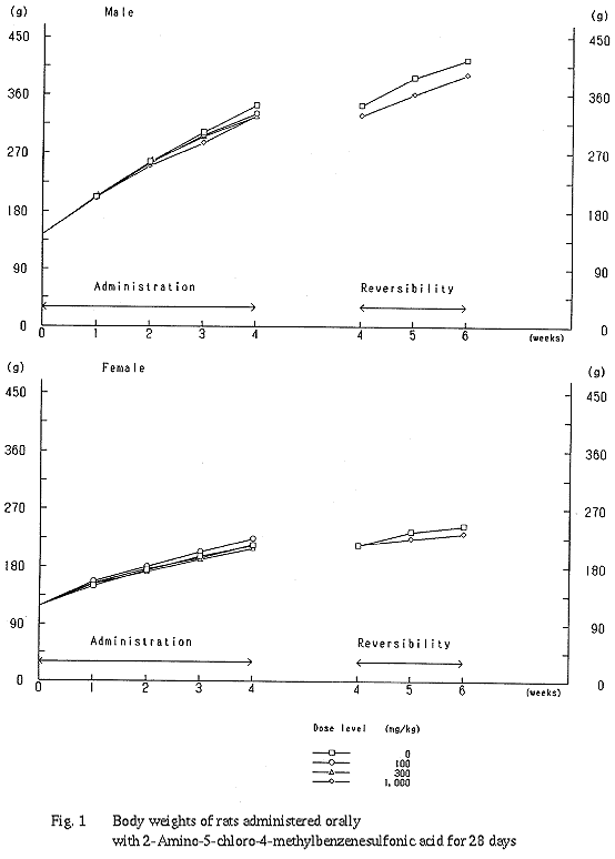
3.ÂνšÊFig. 1¡Ë

ͺ¤Ç¤Ï1,000 mg/kg·²¤ÇÅêÍ¿¸å3½µ¤ËÂоȷ²¤ËÈæ¤ÙÄãÃͤ¬Ç§¤á¤é¤ì¡¢4½µ´Ö¤ÎÂνÅÁý²ÃÎ̤Ï300¤ª¤è¤Ó1,000 mg/kg·²¤ÇÄãÃͤò¼¨¤·¤¿¡£²óÉü´ü´ÖÃæ¤Ï¡¢Âоȷ²¤È1,000 mg/kg·²¤ÇÍ­°Õº¹¤Ïǧ¤á¤é¤ì¤Ê¤«¤Ã¤¿¡£

»ó¤Ç¤ÏÅêÍ¿´ü´Ö¤ª¤è¤Ó²óÉü´ü´Ö¤òÄ̤¸¤Æ·²´Ö¤Çº¹¤¬Ç§¤á¤é¤ì¤º¡¢0¡Á4¤ª¤è¤Ó4¡Á6½µ´Ö¤ÎÂνÅÁý²ÃÎ̤ˤ⺹¤Ï¤Ê¤«¤Ã¤¿¡£

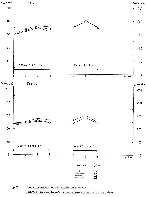
4.»ôÎÁÀݼèÎÌ¡ÊFig. 2¡Ë

»óͺ¤È¤âÅêÍ¿´ü´Ö¤ª¤è¤Ó²óÉü´ü´ÖÃæ¤òÄ̤¸¤Æº¹¤¬Ç§¤á¤é¤ì¤º¡¢0¡Á4¤ª¤è¤Ó4¡Á6½µ´Ö¤ÎÁíÀݼèÎ̤ˤ⺹¤Ïǧ¤á¤é¤ì¤Ê¤«¤Ã¤¿¡£

5.·ì±Õ·ÁÂÖ³ØÅª¸¡ºº¡ÊTable 1¡Ë

a)ÅêÍ¿½ªÎ»»þ¤Î·ë²Ì

ͺ¤Ç¤Ï 300 ¤ª¤è¤Ó 1,000 mg/kg·²¤ÇÂоȷ²¤ËÈæ³Ó¤·¤ÆMCHC¤¬ÄãÃͤò¼¨¤·¤¿¡£

»ó¤Ç¤Ï¤¤¤º¤ì¤Î¸¡ºº¹àÌܤˤª¤¤¤Æ¤âÂоȷ²¤È¤Î´Ö¤Ëº¹¤Ïǧ¤á¤é¤ì¤Ê¤«¤Ã¤¿¡£

b)²óÉü´ü´Ö½ªÎ»»þ¤Î·ë²Ì

ͺ¤Ç¤Ï1,000 mg/kg·²¤ÇÂоȷ²¤ËÈæ³Ó¤·¤Æ¥Ø¥â¥°¥í¥Ó¥óÎ̤ª¤è¤Ó·ì¾®ÈÄ¿ô¤Î¸º¾¯¤¬Ç§¤á¤é¤ì¤¿¡£

»ó¤Ç¤Ï1,000 mg/kg·²¤ÇÂоȷ²¤ËÈæ³Ó¤·¤ÆÇò·ìµå¿ô¤Î¸º¾¯¤¬Ç§¤á¤é¤ì¤¿¡£

6.·ì±Õ¶Å¸Ç¸¡ºº¡ÊTable 1¡Ë

ÅêÍ¿´ü´Ö½ªÎ»»þ¤Î¸¡ºº¤Ë¤ª¤¤¤Æ¡¢»óͺ¤È¤â¤Ë¥×¥í¥È¥í¥ó¥Ó¥ó»þ´Ö¤ª¤è¤Ó³èÀ­²½Éôʬ¥È¥í¥ó¥Ü¥×¥é¥¹¥Á¥ó»þ´Ö¤Ï·²´Ö¤Çº¹¤¬¤Ê¤«¤Ã¤¿¡£

²óÉü´ü´Ö½ªÎ»»þ¤Î¸¡ºº¤Ç¡¢»ó¤Î1,000 mg/kg·²¤Ç¥×¥í¥È¥í¥ó¥Ó¥ó»þ´Ö¤¬Âоȷ²¤ËÈæ³Ó¤·¤Æ±äŤ·¤¿¡£

7.À¸²½³ØÅª¸¡ºº¡ÊTable 2¡Ë

a)ÅêÍ¿½ªÎ»»þ¤Î·ë²Ì

ͺ¤Ç¤ÏÂоȷ²¤ËÈæ³Ó¤·¤Æ100¤ª¤è¤Ó300 mg/kg·²¤Ç¥«¥ë¥·¥¦¥à¤¬¡¢¤Þ¤¿¡¢300 mg/kg ·²¤Ç¥¢¥ë¥Ö¥ß¥ó¤¬¸º¾¯¤·¤¿¡£

»ó¤Ç¤Ï¤¹¤Ù¤Æ¤ÎÈ︳ʪ¼ÁÅêÍ¿·²¤ÇÂоȷ²¤ËÈæ³Ó¤·¤Æ¦Ã-GTP¤Î¸º¾¯¡¢¥«¥ë¥·¥¦¥à¤ÎÁý²Ã¤¬Ç§¤á¤é¤ì¡¢¤Þ¤¿¡¢100 mg/kg·²¤Ç·ìÅü¤ÎÁý²Ã¤¬Ç§¤á¤é¤ì¤¿¡£

b)²óÉü´ü´Ö½ªÎ»»þ¤Î·ë²Ì

ͺ¤Ç¤ÏÂоȷ²¤ËÈæ³Ó¤·¤Æ1,000 mg/kg·²¤Ç¥¯¥ì¥¢¥Á¥ó¥Ë¥ó¤ÎÁý²Ã¡¢ÁíÃÁÇò¡¢¥¢¥ë¥Ö¥ß¥ó¤ª¤è¤Ó¥«¥ê¥¦¥à¤Î¸º¾¯¤¬Ç§¤á¤é¤ì¤¿¡£

»ó¤Ç¤Ï¤¹¤Ù¤Æ¤Î¸¡ºº¹àÌܤˤª¤¤¤ÆÂоȷ²¤È1,000 mg/kg·²¤Çº¹¤Ïǧ¤á¤é¤ì¤Ê¤«¤Ã¤¿¡£

8.Ç¢¸¡ºº¡ÊTable 3¡Ë

a)ÅêÍ¿½ªÎ»»þ¤Î·ë²Ì

»óͺ¤È¤â¤¹¤Ù¤Æ¤ÎÈ︳ʪ¼ÁÅêÍ¿·²¤Ç¥¦¥í¥Ó¥ê¥Î¡¼¥²¥ó1.0 E.U./dl°Ê¾å¤Îưʪ¤¬Áý²Ã¤·¡¢¤µ¤é¤Ë¡¢300 mg/kg°Ê¾å¤Î·²¤ÇÇ¢pH 5.5°Ê²¼¤Îưʪ¤¬Áý²Ã¤·¤¿¡£

b)²óÉü´ü´Ö½ªÎ»»þ¤Î·ë²Ì

ͺ¤Ç¤ÏÂоȷ²¤È1,000 mg/kg·²¤Ç¡¢¤¹¤Ù¤Æ¤Î¸¡ºº¹àÌܤˤĤ¤¤ÆÌÀ³Î¤Êº¹¤Ïǧ¤á¤é¤ì¤Ê¤«¤Ã¤¿¡£

»ó¤Ç¤Ï1,000 mg/kg·²¤ÇÂоȷ²¤ËÈæ³Ó¤·¤ÆÇ¢Èæ½Å¤¬¹âÃͤò¼¨¤·¤¿¡£

9.¡´ï½ÅÎÌ¡ÊTable 4¡Ë

a)ÅêÍ¿½ªÎ»»þ¤Î·ë²Ì

»óͺ¤È¤â¤¹¤Ù¤Æ¤Î½ÅÎ̬Äê¡´ï¤Ë¤Ä¤¤¤Æ¡¢Âоȷ²¤ÈÈ︳ʪ¼ÁÅêÍ¿·²¤Çº¹¤Ïǧ¤á¤é¤ì¤Ê¤«¤Ã¤¿¡£

b)²óÉü´ü´Ö½ªÎ»»þ¤Î·ë²Ì

»óͺ¤È¤â1,000 mg/kg·²¤ÈÂоȷ²¤È¤Ç½ÅÎ̤˺¹¤Î¤¢¤ë¡´ï¤Ïǧ¤á¤é¤ì¤Ê¤«¤Ã¤¿¡£

10.¡´ï½ÅÎÌ¡¦ÂνÅÈæ¡ÊÁêÂнÅÎ̡ˡÊTable 4¡Ë

a)ÅêÍ¿½ªÎ»»þ¤Î·ë²Ì

»óͺ¤È¤â¤¹¤Ù¤Æ¤Î½ÅÎ̬Äê¡´ï¤Ë¤Ä¤¤¤Æ¡¢Âоȷ²¤ÈÈ︳ʪ¼ÁÅêÍ¿·²¤Çº¹¤Ïǧ¤á¤é¤ì¤Ê¤«¤Ã¤¿¡£

b)²óÉü´ü´Ö½ªÎ»»þ¤Î·ë²Ì

ͺ¤Ç¤Ï1,000 mg/kg·²¤ÇÂоȷ²¤ËÈæ³Ó¤·¤ÆÉû¿ÕÁêÂнÅÎ̤¬Áý²Ã¤·¤¿¡£

»ó¤Ç¤ÏÂоȷ²¤È½ÅÎ̤˺¹¤Î¤¢¤ë¡´ï¤Ïǧ¤á¤é¤ì¤Ê¤«¤Ã¤¿¡£

11.ÉÂÍý³Ø¸¡ºº¡ÊTable 5¡Ë

a)˶¸¡½ê¸«

ÅêÍ¿½ªÎ»»þ¤ª¤è¤Ó²óÉü»î¸³½ªÎ»»þ¤Î˶¸¡¤Ë¤ª¤¤¤Æ¡¢»óͺ¤È¤âÂоȷ²¤ËÈæ³Ó¤·¤Æ¡¢È︳ʪ¼ÁÅêÍ¿·²¤ÇȯÀ¸¤¬Áý²Ã¤·¤¿Æù´ãŪ°Û¾ï¤Ï´Ñ»¡¤µ¤ì¤Ê¤«¤Ã¤¿¡£

b)ÁÈ¿¥½ê¸«

ÁÈ¿¥³ØÅª¸¡º÷¤Ï¡¢ÅêÍ¿½ªÎ»»þ¤Ë²ò˶¤·¤¿Âоȷ²¤ª¤è¤Ó1,000 mg/kg·²¤Î»óͺ¤Ë¤Ä¤¤¤Æ¹Ô¤Ã¤¿¡£¤½¤Î·ë²Ì¡¢»óͺ¤È¤âξ·²¤Î´Ö¤Ëº¹¤Î¤¢¤ëÊѲ½¤Ïǧ¤á¤é¤ì¤Ê¤«¤Ã¤¿¡£¤Ê¤ª¡¢Âоȷ²¤ò´Þ¤á´Ñ»¡¤µ¤ì¤¿¼ç¤Ê½ê¸«¤Ï¡¢´Î¡¤ÎºÙË¦Ãæ¤Î¾®¶õ˦¤ª¤è¤ÓÆù²êÁã¡¢¿Õ¡¤ÎÇ¢ºÙ´É¾åÈéºÙ˦¤Î¹¥±ö´ðÀ­²½¤ª¤è¤ÓÀг¥²½¡¢Éû¿Õ¤Î«¾õÂӤζõ˦²½¤Ê¤É¤Ç¤¢¤Ã¤¿¡£

¹Í»¡

°ìÈ̾õÂÖ´Ñ»¡¤Î·ë²Ì¡¢ÅêÍ¿´ü´Ö¤ª¤è¤Ó²óÉü´ü´Ö¤òÄ̤¸¤Æ»óͺ¤¤¤º¤ì¤Î·²¤Ë¤â°Û¾ïưʪ¤Ï´Ñ»¡¤µ¤ì¤º¡¢»àË´Îã¤âǧ¤á¤é¤ì¤Ê¤«¤Ã¤¿¡£

ÂνŤϡ¢Íº¤Î1,000 mg/kg·²¤ÇÅêÍ¿3½µ¤ËÂоȷ²¤ËÈæ³Ó¤·ÄãÃͤò¼¨¤·¡¢300¤ª¤è¤Ó1,000mg/kg·²¤Ç4½µ´Ö¤ÎÂνÅÁý²ÃÎ̤¬¸º¾¯¤·¤¿¤¬¡¢¶Ë¤á¤Æ·ÚÈù¤ÊÊѲ½¤Ç¤¢¤Ã¤¿¡£»ó¤Ç¤ÏÅêÍ¿´ü´Ö¤ª¤è¤Ó²óÉü´ü´Ö¤òÄ̤¸¤Æ·²´Ö¤Çº¹¤¬Ç§¤á¤é¤ì¤Ê¤«¤Ã¤¿¡£

ÀݱÂÎ̤ϡ¢»óͺ¤È¤âÅêÍ¿´ü´Ö¤ª¤è¤Ó²óÉü´ü´Ö¤òÄ̤¸¤ÆÂоȷ²¤Èº¹¤¬¤Ê¤¯¡¢4½µ´Ö¤ÎÁíÀݱÂÎ̤ˤⷲ´Öº¹¤Ïǧ¤á¤é¤ì¤Ê¤«¤Ã¤¿¡£

·ì±Õ·ÁÂÖ³ØÅª¸¡ºº¤Î·ë²Ì¡¢ÅêÍ¿½ªÎ»»þ¤Ëͺ¤Î300¤ª¤è¤Ó1,000 mg/kg·²¤ÇMCHC¤¬ÄãÃͤò¼¨¤·¤¿¤¬¡¢·ÚÈù¤ÊÊѲ½¤Ç¤¢¤ë¤³¤È¡¢¥Ø¥â¥°¥í¥Ó¥óÎ̤ª¤è¤ÓÀÖ·ìµå¿ô¤ËÊѲ½¤¬Ç§¤á¤é¤ì¤Æ¤¤¤Ê¤¤¤³¤È¤«¤é¡¢°ÕµÁ¤Î¤¢¤ëÊѲ½¤È¤Ï¹Í¤¨¤é¤ì¤Ê¤«¤Ã¤¿¡£²óÉü´ü´Ö½ªÎ»»þ¤Î¸¡ºº¤Ç¤Ï¡¢Íº¤Î1,000 mg/kg·²¤Ç¥Ø¥â¥°¥í¥Ó¥óÎ̤ª¤è¤Ó·ì¾®ÈÄ¿ô¤Î¸º¾¯¤¬Ç§¤á¤é¤ì¡¢»ó¤ÎƱÍÑÎÌ·²¤ÇÇò·ìµå¿ô¤Î¸º¾¯¤¬Ç§¤á¤é¤ì¤¿¤¬¡¢·ÚÈù¤ÊÊѲ½¤Ç¤¢¤ê¡¢ÅêÍ¿½ªÎ»»þ¤Ë¤Ïǧ¤á¤é¤ì¤Æ¤¤¤Ê¤¤ÊѲ½¤Ç¤¢¤ë¤³¤È¤«¤é¡¢ÆÇÀ­³ØÅª¤Ë°ÕµÁ¤Î¤¢¤ëÊѲ½¤È¤Ï¹Í¤¨¤é¤ì¤Ê¤«¤Ã¤¿¡£

·ì±Õ¶Å¸Ç¸¡ºº¤Î·ë²Ì¡¢ÅêÍ¿½ªÎ»»þ¤Î¸¡ºº¤Ç¤Ï¡¢»óͺ¤ÎÂоȷ²¤ÈÈ︳ʪ¼ÁÅêÍ¿·²¤Çº¹¤Ïǧ¤á¤é¤ì¤º¡¢È︳ʪ¼ÁÅêÍ¿¤Î±Æ¶Á¤Ï¤Ê¤¤¤â¤Î¤È¹Í¤¨¤é¤ì¤¿¡£²óÉü´ü´Ö½ªÎ»»þ¤Î¸¡ºº¤Ç¤Ï¡¢»ó¤Î1,000 mg/kg·²¤Ç¥×¥í¥È¥í¥ó¥Ó¥ó»þ´Ö¤Ë±äŤ¬Ç§¤á¤é¤ì¤¿¤¬¡¢·ÚÈù¤ÊÊѲ½¤Ç¤¢¤Ã¤¿¡£

À¸²½³ØÅª¸¡ºº¤Î·ë²Ì¡¢ÅêÍ¿½ªÎ»»þ¤Ëͺ¤Î100¤ª¤è¤Ó300 mg/kg·²¤Ç¥«¥ë¥·¥¦¥à¤¬¡¢¤µ¤é¤Ë300 mg/kg·²¤Ç¥¢¥ë¥Ö¥ß¥ó¤¬¸º¾¯¤·¤¿¤¬¡¢¤¤¤º¤ì¤âÍÑÎÌÁê´ØÀ­¤Î¤Ê¤¤ÊѲ½¤Ç¤¢¤Ã¤¿¡£¤Þ¤¿¡¢»ó¤Î¤¹¤Ù¤Æ¤ÎÈ︳ʪ¼ÁÅêÍ¿·²¤Ç¦Ã-GPT¤Î¸º¾¯¡¢¥«¥ë¥·¥¦¥à¤ÎÁý²Ã¡¢100 mg/kg·²¤Ç·ìÅü¤ÎÁý²Ã¤¬Ç§¤á¤é¤ì¤¿¤¬¡¢¥«¥ë¥·¥¦¥à¤Ë´Ø¤·¤Æ¤Ï¡¢Âоȷ²¤ÎÃͤ¬ÇØ·ÊÃÍ¡Ê9.60¡Þ0.28 mg/dl¡¢n¡á35¡Ë¤ËÈæ³Ó¤·¤Æ¶Ï¤«¤ËÄ㤯¡¢ÊÑÆ°¤¬¾®¤µ¤¤¤¿¤á¡¢ÅêÍ¿·²¤ÇÅý·×³ØÅªÍ­°Õº¹¤¬Ç§¤á¤é¤ì¤¿¤â¤Î¤Ç¡¢¤½¤Î¾¤Î¹àÌܤ˴ؤ·¤Æ¤Ï¡¢·ÚÈù¤«¤ÄÍÑÎÌÁê´ØÀ­¤Î¤Ê¤¤ÊѲ½¤Ç¤¢¤Ã¤¿¡£²óÉü´ü´Ö½ªÎ»»þ¤Î¸¡ºº¤Ç¤Ï¡¢Íº¤Î1,000 mg/kg·²¤Ç¥¯¥ì¥¢¥Á¥Ë¥ó¤ÎÁý²Ã¡¢ÁíÃÁÇò¡¢¥¢¥ë¥Ö¥ß¥ó¤ª¤è¤Ó¥«¥ê¥¦¥à¤Î¸º¾¯¤¬Ç§¤á¤é¤ì¤¿¤¬¡¢¤¤¤º¤ì¤â·ÚÈù¤ÊÊѲ½¤ÇÅêÍ¿½ªÎ»»þ¤Ë¤Ïǧ¤á¤é¤ì¤Æ¤¤¤Ê¤¤¤³¤È¤«¤é¡¢ÆÇÀ­³ØÅª¤Ë°ÕµÁ¤Î¤¢¤ëÊѲ½¤È¤Ï¹Í¤¨¤é¤ì¤Ê¤«¤Ã¤¿¡£

Ç¢¸¡ºº¤Î·ë²Ì¡¢»óͺ¤È¤â¤¹¤Ù¤Æ¤ÎÈ︳ʪ¼ÁÅêÍ¿·²¤Ç¥¦¥í¥Ó¥ê¥Î¡¼¥²¥ó1.0 E.U./dl°Ê¾å¤Îưʪ¤¬Áý²Ã¤·¡¢300 mg/kg°Ê¾å¤Î·²¤ÇÇ¢pH 5.5°Ê²¼¤Îưʪ¤¬Áý²Ã¤·¤¿¡£¥¦¥í¥Ó¥ê¥Î¡¼¥²¥ó¤Ë´Ø¤·¤Æ¤Ï¡¢·ìÀ¶À¸²½³ØÅª¸¡ºº¤ª¤è¤ÓÉÂÍýÁÈ¿¥³ØÅª¸¡ºº¤Ç´Î¡¤¬É¸ÅªÂ¡´ï¤Ç¤Ê¤¤¤È¹Í¤¨¤é¤ì¤ë¤³¤È¤«¤é¡¢ÌôºÞ´³¾Ä¤¬¼¨º¶¤µ¤ì¡¢°Ê²¼¤ÎÄɲû¤ò¹Ô¤Ã¤¿¡£

(1)»î¸³¤ËÍѤ¤¤¿¤ÈƱ·ÏÅý¡¢Æ±½µÎð¤Îͺ¥é¥Ã¥È¤«¤éÇ¢¤òºÎ¼è¤·¡¢È︳ʪ¼Á¤ò²Ã¤¨¡¢Ë°Ï¤µ¤»¡ÊÈ︳ʪ¼Á¤Î¿åÍϲòÅÙ¤Ï90 mg/100 g¡ËËܻ¤ÇÍѤ¤¤¿Ç¢¸¡ºº»î¸³»æN-¥Þ¥ë¥Æ¥£¥¹¥Æ¥£¥Ã¥¯¥¹SG¤Ç¸¡ºº¤·¤¿¤È¤³¤í±¢À­¤Ç¤¢¤Ã¤¿¡£
¡¡
(2)¾å½Ò(1)¤ÇÍѤ¤¤¿Æ±°ì¥é¥Ã¥È¤Ë¡¢È︳ʪ¼Á1,000 mg/kg¤òñ²óÅêÍ¿¤·¤¿¸å¡¢Ç¢¤òºÎ¼è¤·¡¢Ëܻ¤ÇÍѤ¤¤¿N-¥Þ¥ë¥Æ¥£¥¹¥Æ¥£¥Ã¥¯¥¹»î¸³»æ¤Ç¸¡ºº¤·¤¿¤È¤³¤íÍÛÀ­¤Ç¤¢¤Ã¤¿¡£N-¥Þ¥ë¥Æ¥£¥¹¥Æ¥£¥Ã¥¯¥¹»î¸³»æ¤Î¥¦¥í¥Ó¥ê¥Î¡¼¥²¥ó¤Î¬Äê¤ÏEhrlich¥¢¥ë¥Ç¥Ò¥ÉÈ¿±þ¤òÍѤ¤¤Æ¤¤¤ë¤¿¤á¡¢¤³¤ì¤È¤Ï°Û¤Ê¤ë¬ÄêÈ¿±þ·Ï¡Ê¥¸¥¢¥¾¡¦¥«¥Ã¥×¥ê¥ó¥°È¿±þ¡Ë¤òÍѤ¤¤Æ¤¤¤ë¥¦¥í¥Ú¡¼¥Ñ¡¼¡È±É¸¦¡ÉUAG-3¤òÍѤ¤¤ÆÆ±°ìÇ¢¤ò¬Äꤷ¤¿·ë²Ì¡¢±¢À­¤Ç¤¢¤Ã¤¿¡£¤Þ¤¿¡¢È︳ʪ¼ÁÅêÍ¿¸å2Æü¤ÎÇ¢¤òξ»î¸³»æ¤Ç¸¡ºº¤·¤¿·ë²Ì¡¢±¢À­¤Ç¤¢¤Ã¤¿¡£

(1)¤ª¤è¤Ó(2)¤Î·ë²Ì¤Ë²Ã¤¨¡¢²óÉü´ü´Ö½ªÎ»»þ¤Î¸¡ºº¤Ç¤Ï¡¢Âоȷ²¤Èº¹¤¬¤Ê¤¤¤³¤È¤«¤é¡¢È︳ʪ¼Á¤ÎÂå¼Õʪ¤Ë¤è¤ëÌôºÞ´³¾Ä¤Î·ë²Ì¡¢ÍÛÀ­¤ò¼¨¤·¤¿¤â¤Î¤È¹Í¤¨¤é¤ì¤¿¡£Ç¢pH¤Ë´Ø¤·¤Æ¤Ï¡¢¾å½Ò¤Î(1)¤ª¤è¤Ó(2)¤ÇÍѤ¤¤¿¤ÈƱ°ì¤ÎÇ¢¤Ë¤Ä¤¤¤Æ¡¢N-¥Þ¥ë¥Æ¥£¥¹¥Æ¥£¥Ã¥¯¥¹»î¸³»æ¤Ç¸¡ºº¤·¤¿·ë²Ì¡¢(1)¤ÎÇ¢¤Ç¤ÏpH¤Ï¶Ï¤«¤Ë²¼¤¬¤ëÄøÅ٤ǤۤȤó¤ÉÊѤï¤é¤º¡¢(2)¤ÎÇ¢¤Ç¤ÏpH¤¬Äã²¼¤·¤¿¤³¤È¤«¤é¡¢¼ç¤ËÈ︳ʪ¼Á¤ÎÂå¼Õʪ¤Î´ØÍ¿¤¬¹Í¤¨¤é¤ì¤¿¡£

¤½¤Î¾¡¢Ç¢¸¡ºº¤Ç¤Ï¡¢²óÉü´ü´Ö½ªÎ»»þ¤Î¸¡ºº¤Ë¤ª¤¤¤Æ¡¢Íº¤Î1,000 mg/kg·²¤ÇÇ¢Èæ½Å¤¬¹âÃͤò¼¨¤·¤¿¤¬¡¢Ç¢Î̤¬¶Ï¤«¤Ê¤¬¤é¾¯¤Ê¤¤¤¿¤á¤Ç¡¢ÅêÍ¿½ªÎ»»þ¤Ë¤Ïǧ¤á¤é¤ì¤Ê¤«¤Ã¤¿ÊѲ½¤Ç¤¢¤ê¡¢È︳ʪ¼Á¤ÎÅêÍ¿¤È¤½¤ì¤Ë°ú³¤¯µÙ»ß¤È¤Î´ØÏ¢¤Ï¤Ê¤¤¤È¹Í¤¨¤é¤ì¤¿¡£

¡´ï½ÅÎ̬Äê¤Î·ë²Ì¡¢»óͺ¤È¤âÈ︳ʪ¼ÁÅêÍ¿¤Ëµ¯°ø¤¹¤ë¤È¹Í¤¨¤é¤ì¤ëÊѲ½¤Ïǧ¤á¤é¤ì¤Ê¤«¤Ã¤¿¡£

ÉÂÍý³Ø¸¡ºº¤Î·ë²Ì¡¢Æù´ãŪ¤Ë¤â¡¢ÁÈ¿¥³ØÅª¤Ë¤â¡¢È︳ʪ¼ÁÅêÍ¿¤Ë¤è¤ë¤È¼¨º¶¤µ¤ì¤ëÉÂÊѤϡ¢»óͺ¤È¤â¤Ë´Ñ»¡¤µ¤ì¤Ê¤«¤Ã¤¿¡£

°Ê¾å¤Î·ë²Ì¡¢»ó¤Ç¤Ï¬Äꤪ¤è¤Ó¸¡ºº¤·¤¿¤¹¤Ù¤Æ¤Î¹àÌܤǡ¢1,000 mg/kgÅêÍ¿·²¤Ç¤âÈ︳ʪ¼ÁÅêÍ¿¤Î±Æ¶Á¤¬Ç§¤á¤é¤ì¤Ê¤«¤Ã¤¿¡£Íº¤Ë¤ª¤¤¤Æ¤â¡¢300¤ª¤è¤Ó1,000 mg/kgÅêÍ¿¤Ç¶Ë¤á¤Æ¶Ï¤«¤ÊÂνÅÁý²ÃÍÞÀ©·¹¸þ¤¬Ç§¤á¤é¤ì¤¿¤¬¡¢ÌÀ³Î¤Ê¤â¤Î¤Ç¤Ï¤Ê¤¯¡¢È︳ʪ¼ÁÅêÍ¿¤Î±Æ¶Á¤ÈȽÃǤ¹¤ëÄø¤Î¤â¤Î¤Ç¤Ï¤Ê¤«¤Ã¤¿¡£½¾¤Ã¤Æ¡¢»óͺ¤È¤â̵±Æ¶ÁÎ̤Ï1,000 mg/kg/day¤È¿ä»¡¤µ¤ì¤¿¡£

ʸ¸¥

1)Â翹µÁ¿ÎÊÔ¡¤"²½¿³Ë¡ÆÇÀ­»î¸³Ë¡¤Î²òÀâ²þÄûÈÇ,"²½³Ø¹©¶ÈÆüÊó¼Ò, 1992.
2)µÈ¼¸ùÊÔ¡¤"ÆÇÀ­¡¦Ìô¸ú¥Ç¡¼¥¿¤ÎÅý·×²òÀÏ," ¥µ¥¤¥¨¥ó¥Æ¥£¥¹¥È¼Ò, 1987.
3)A. Jonckheere, Biometrika ,41, 133-145 (1954).

Ï¢ÍíÀè¡§
»î¸³ÀÕǤ¼Ô°æ¾åÇîÇ·
¡Êºâ¡Ë¿©ÉÊÇÀ°åÌôÉʰÂÁ´À­É¾²Á¥»¥ó¥¿¡¼
¢©437-12 ÀŲ¬¸©ÈØÅÄ·´Ê¡ÅÄÄ®±ö¿·ÅÄ»ú¹ÓÉÍ 582-2
Tel 0538-58-1266Fax 0538-58-1393

Correspondence:
Inoue, Hiroyuki
Biosafety Research Center, Foods, Drugs and Pesticides (An-pyo Center), Japan
582-2 Shioshinden Arahama, Fukude-cho, Iwata-gun, Shizuoka, 437-12, Japan
Tel 81-538-58-1266Fax 81-538-58-1393