o-トルエンスルホンアミドのチャイニーズ・ハムスターの
培養細胞を用いる染色体異常試験

In Vitro Chromosomal Aberration Test of o-Toluenesulfonamide
on Cultured Chinese Hamster Cells

要約

o-トルエンスルホンアミドの染色体異常誘発性の有無を検討するため,チャイニーズ・ハムスター肺由来の線維芽細胞株(CHL/IU)を用いてin vitroにおける染色体異常試験を実施した.

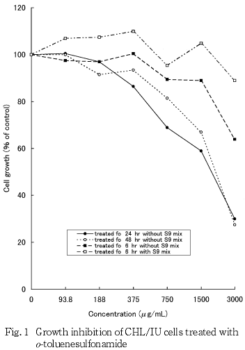
染色体異常試験に用いる濃度を決定するため,3000 μg/mLを最高濃度として細胞増殖抑制試験を行ったところ,連続処理法の場合は24時間および48時間処理ともに 3000 μg/mLで50 %を上回る細胞増殖抑制が認められ,短時間処理法の場合はS9 mix非存在および存在下ともに50 %を上回る細胞増殖抑制は認められなかった.したがって,染色体異常試験における濃度は,連続処理法では375,750,1500,2250および3000 μg/mL,短時間処理法では375,750,1500および3000 μg/mLとした.

試験の結果,連続処理法および短時間処理法のいずれの方法においても,染色体異常を有する細胞の明らかな増加は認められなかった

以上の成績から,o-トルエンスルホンアミドのCHL/IU細胞に対する染色体異常誘発性は陰性と判定した.

方法

1. 試験細胞株

国立医薬品食品衛生研究所変異遺伝部(元:国立衛生試験所変異原性部)から昭和60年1月13日に分与を受けたチャイニーズ・ハムスター肺由来の繊維芽細胞株(CHL/IU)を使用した.供試細胞は,浮遊細胞液に10 vol%の割合でジメチルスルホキシド(DMSO,和光純薬工業(株))を添加し,液体窒素条件下で保存したものを培養液に戻し,解凍後の継代数が3回までのものを使用した.

2. 培養液

Eagle-MEM粉末培地(Gibco Laboratories)を常法に従い調製し,これに非働化仔牛血清(Gibco Laboratories)を 10 vol%の割合で添加したものを用いた.

3. 培養条件

4×10^3個/mLの細胞を含む培養液5 mLをディッシュ(径6 cm,Becton Dickinson Co.)に加え,37℃のCO2インキュベーター(5 % CO2)内で培養した.

連続処理法では,培養開始3日後に被験物質を加え24時間および48時間処理した.短時間処理法では,培養開始3日後にS9 mix非存在および存在下で6時間処理し,処理終了後,新鮮培養液でさらに18時間培養した.

4. S9 mix

製造後6ヶ月以内の染色体異常試験用凍結S9 mix(キッコーマン(株))を購入し,使用した.S9は,誘導剤としてフェノバルビタールおよび5,6-ベンゾフラボンを投与したSprague-Dawley系雄ラットの肝臓から調製されたものである.

5. 被験物質

o-トルエンスルホンアミド(ロット番号GC01,東京化成工業(株),東京)は,白色の粉末で,水に微溶,DMSOおよびアルコールに易溶であり,純度99 %の物質である.

実験終了後,被験物質提供元において残余被験物質を分析した結果,安定性に問題はなかった.

6. 被験物質供試液の調製

溶媒にDMSO(和光純薬工業(株))を用い,被験物質を溶解して最高濃度の供試液(原液)を調製した.この原液の一部を溶媒で順次希釈して所定濃度の供試液を調製した.供試液は,用時調製し,そのディッシュ内への添加量は培養液量の0.5 vol%とした.

7. 細胞増殖抑制試験

染色体異常試験に用いる被験物質の処理濃度を決定するため,3000 μg/mL(被験物質供試液の作製可能な上限濃度)を最高濃度として,細胞増殖に及ぼす影響を調べた.0.1 w/v%クリスタルバイオレット水溶液で染色した細胞の密度を単層培養細胞密度計(MonocellaterTM,オリンパス光学工業(株))を用いて測定し,溶媒対照群の細胞増殖率を100 %とした時の各濃度群の細胞増殖率を求めた.

その結果(Fig. 1),連続処理法では,24時間および48時間処理ともに3000 μg/mLで50 %を上回る細胞増殖抑制が認められ,50 %細胞増殖抑制濃度は1500〜3000 μg/mL間にあるものと判断された.短時間処理法では,S9 mix非存在および存在下ともに処理した全ての濃度で50 %を上回る細胞増殖抑制は認められず,50 %細胞増殖抑制濃度は3000 μg/mL 以上と判断された.

8. 実験群の設定

細胞増殖抑制試験の結果から,染色体異常試験における被験物質の濃度は,連続処理法の場合は,50 %細胞増殖抑制濃度の前後が含まれ,かつ3濃度以上のデータが得られることを考慮して,375,750,1500および3000 μg/mLの4濃度(公比2)に,2250 μg/mLを加えた5濃度を設定した.短時間処理法の場合は,375,750,1500および3000 μg/mLの4濃度(公比2)を設定した.対照として,溶媒対照群と陽性対照群を設けた.

陽性対照として,連続処理法では1-methyl-3-nitro-1-nitrosoguanidine(MNNG, Aldrich Chemical Co.)を2.5 μg/mL,短時間処理法では3,4-benzo[a]pyrene(B[a]P, Sigma Chemical Co.)を10 μg/mLの濃度で用いた.陽性対照物質の溶媒には,いずれもDMSO(和光純薬工業(株))を使用した.

9. 染色体標本の作製

培養終了2時間前にコルセミド(Gibco Laboratories)を最終濃度として0.2 μg/mLとなるように添加した.トリプシン処理で細胞を剥離し,遠心分離により細胞を回収した.75 mM塩化カリウム水溶液で低張処理後,用時調製した冷却メタノール・酢酸(3:1)混合液で細胞を固定した.空気乾燥法で染色体標本を作製した後,1.4 vol%ギムザ液で約15分間染色した.スライド標本は,各ディッシュにつき3枚作製した.

10. 染色体の観察

各ディッシュあたり100個,すなわち,1濃度当たり2ディッシュ,200個の分裂中期像を,総合倍率600倍の顕微鏡下で観察した.標本は全てコード化し,盲検法で観察を行った.染色体の分析は,日本環境変異原学会・哺乳動物試験分科会(MMS)による分類法1)に基づいて行い,染色体型あるいは染色分体型のギャップ,切断,交換などの構造異常と倍数性細胞(Polyploid)の有無について観察した.

11. 記録と判定

観察した細胞数,構造異常の種類と数および倍数性細胞の数について集計し,構造異常を有する細胞については,ギャップのみを有する細胞を含めた場合(+g)と含めない場合(-g)とに区別して記録した.

ギャップを含めた染色体構造異常細胞および倍数性細胞の出現頻度について,多試料c2検定を行い有意差(有意水準5 %以下)が認められた場合は,フィッシャーの直接確率法を用いて溶媒対照群と各濃度群との間の有意差検定(有意水準は多重性を考慮して,5 %または1 %を処理群の数で割ったものを用いた.)を行った.

その結果,溶媒対照群と比較して,被験物質による染色体異常細胞の出現頻度が2濃度以上で有意に増加し,かつ濃度依存性あるいは再現性が認められた場合,陽性と判定した.

結果および考察

連続処理法による結果をTable 1に示した.o-トルエンスルホンアミドを加えて24時間および48時間処理したいずれの濃度群においても,染色体の構造異常および倍数性細胞の誘発作用は認められなかった.2250 μg/mL以上では,細胞に対する毒性のため観察可能な分裂中期像は認められなかった.

短時間処理法による結果をTable 2に示した.S9 mix非存在および存在下で6時間処理したいずれの濃度群においても,染色体の構造異常および倍数性細胞の誘発作用は認められなかった.

したがって,本実験条件下では,o-トルエンスルホンアミドのCHL/IU細胞に対する染色体異常誘発性は陰性と判定した.本試験結果は,CHL/IU細胞において,染色体異常を有する細胞の出現頻度が5 %未満を陰性とする石館らの判定基準2)からみても明らかに陰性を示すものであった.

o-トルエンスルホンアミドの異性体であるρ-トルエンスルホンアミドについても,CHL/IU細胞を用いた染色体異常試験において,1300 μg/mL濃度まで行われた連続処理法および1700 μg/mL濃度まで行われた短時間処理法のいずれの場合も,本試験結果とほぼ同様の結果を示し陰性3)と報告されている.よって,o-トルエンスルホンアミドのin vitroにおける染色体異常誘発性は低いものと考えられる.

文献

1)日本環境変異原学会・哺乳動物試験分科会編,"化学物質による染色体異常アトラス,"朝倉書店,東京,1988, pp. 16-37.
2)石館基監修,"改訂増補 染色体異常試験データ集,"エル・アイ・シー,東京,1987, p. 19.
3)厚生省生活衛生局企画課生活化学安全対策室監修,"化学物質毒性試験報告,"Vol. 1,化学物質点検推進連絡協議会,東京,1994, p. 51.

連絡先
試験責任者:野田 篤
試験担当者:野田 篤,昆 尚美
(財)畜産生物科学安全研究所
〒229-1132 神奈川県相模原市橋本台3-7-11
Tel 042-762-2775Fax 042-762-7979

Correspondence
Authors:Atsushi Noda (Study director)
Naomi Kon
Research Institute for Animal Science in Biochemistry and Toxicology
3-7-11 Hashimotodai, Sagamihara-shi, kanagawa, 229-1132, Japan
Tel +81-42-762-2775Fax +81-42-762-7979