メタクリルアミドのラットを用いる28日間反復経口投与毒性試験

Twenty-eight-day Repeat Dose Oral Toxicity Test of Methacrylamide in Rats

要約

繊維加工剤,接着剤,紙加工剤,凝集剤等の幅広い用途で使用されているメタクリルアミドの0(精製水),30,100および300 mg/kg/dayを1群雌雄各7あるいは14匹のCrj:CD(SD)IGSラットに28日間反復経口投与して毒性を検討し,さらに0および300 mg/kg群の雌雄各7匹を用いて14日間の回復性も併せて検討した.その結果,以下の成績を得た.

一般状態では,雌雄の300 mg/kg群でよろめき歩行ならびに後肢の反転を伴う例が認められ,この症状は回復期間の14日間を通して認められた.行動機能観察では300 mg/kg群に投与21あるいは28日に雌雄で筋緊張の低下,歩行失調,雄で前肢の握力の低下がみられ,100および300 mg/kg群の雌雄ならびに30 mg/kg群の雌で自発運動量の低下が認められた.回復期間にも,300 mg/kg群の雌雄で筋緊張の低下,歩行失調,後肢の握力および自発運動量の低下がみられ,雄では後肢の着地開脚幅の低下も認められた.この変化は,投与期間および回復終了時の病理組織学検査において,300 mg/kg群の雌雄の全例で坐骨神経に神経線維の変性,また小脳に小脳脚における軸索膨化(1〜2例)がみられたことから,メタクリルアミドによる神経毒性に起因するものであった.この神経毒性に関連して,投与終了時の剖検時に300 mg/kg群の雌雄の1〜3例に膀胱の内腔拡張も認められた.

一方,回復終了時の病理組織学検査で1例のみの変化ではあるが,雄の300 mg/kg群にステージIX,Xにおけるステップ19精子細胞のretentionがみられ,軽度な精巣毒性も認められた.この変化との関連は明らかでなかったが,回復終了時に300 mg/kg群の雄の精巣の器官重量および器官体重重量比の増加も認められた.

その他にも,体重では,300 mg/kg群の雌雄で投与2日から体重増加抑制が認められ,投与7日以降にも低く推移し,この体重増加抑制は回復期間中にも認められた.また,投与28日には100 mg/kg群の雌でも認められた.摂餌量では,300 mg/kg群の雌雄で摂餌量の低下が投与2日以降に散見されたが,この摂餌量の低下は回復期間の後半には回復した.また投与4週に300 mg/kg群の雌雄で飲水量の低下がみられ,雌では回復2週にも認められた.血液学検査では,300 mg/kg群の雌雄および100 mg/kg群の雄で貧血傾向が認められたが,回復終了時には雄で血小板数の増加が,雌で血小板数の増加およびプロトロンビン時間の延長が認められたのみであった.血液生化学検査では,300 mg/kg群の雌雄でアルブミンの増加,α1-グロブリンおよびアルカリホスファターゼの低下がみられ,雄でα2-グロブリンの低下,雌でトリグリセリドの増加,尿素窒素およびクレアチニンの低下が認められた.回復終了時では,300 mg/kg群の雄でA/G比,アルブミン,カリウムおよび無機リンの増加,総蛋白,グルコースおよびトリグリセリドの低下,雌でアルカリホスファターゼ,カリウム,クロールおよび無機リンの増加,総蛋白およびグルコースの低下が認められた.これらの変化はメタクリルアミドの直接の毒性あるいはメタクリルアミドによる神経毒性に関連した変化と考えられた.

以上のことから,本試験条件下での無影響量(NOEL)は雄で30 mg/kg/day,雌で30 mg/kg/day未満と考えられた.

方法

1. 被験物質および投与液の調製

メタクリルアミド(純度:99.5 %,Lot No. 710130,三井化学(株),東京)は,白色の結晶で,融点が112〜114℃で,30℃で水100 gに40.9 g溶解する.入手後の被験物質は遮光気密容器に入れ,室温で保存し,残余被験物質を製造業者が分析し,投与期間中の被験物質の安定性を確認した.溶媒は日本薬局方精製水(ヤクハン製薬(株))を用い,これに被験物質を所定の濃度となるように溶解させた.調製液は,冷蔵庫内遮光下で7日間安定であることから,調製後直ちに遮光できる褐色瓶に入れて冷蔵庫内(3〜7℃)に保存し,調製後7日以内に使用した.また,これらの調製液について濃度を確認し,設定値の±5 %以内にあることを確認した.

2. 試験動物および飼育条件

日本チャールス・リバー(株)より受け入れた4週齢のSprague-Dawley系ラット(Crj:CD(SD)IGS)の雌雄を8日間の検疫・馴化を行った後,雌雄各42匹を選択して5週齢で試験に供した.投与日の体重範囲は雄が152〜183 g,雌が128〜154 gであった.動物は,温度22〜24℃,湿度50〜63 %,換気回数10〜15回/時間および照明時間12時間(午前8時から午後8時まで点灯)に制御されたバリアシステムの飼育室で,ブラケット式金属製金網床ケージに群分け前は5匹以内,群分け後は個別で飼育した.飼料は,γ線照射固型飼料(CRF-1,オリエンタル酵母工業(株))を金属製給餌器を用いて,飲料水は札幌市水道水を自動給水装置を用いてそれぞれ自由に摂取させた.

3. 投与量および投与方法

投与量設定試験では雌雄のラットに150,300および600 mg/kgの3用量を1群5匹に14日間投与し,600 mg/kgで雄に3例,雌に1例の死亡あるいは切迫屠殺例が認められ,300 mg/kg以上の投与群で一般状態,体重,摂餌量,血液および血液生化学検査,剖検,器官重量等に雌雄いずれもメタクリルアミドの毒性が認められた.150 mg/kg群でも雌雄に体重増加抑制傾向,雄に尿素窒素の低下および脳重量の低下,雌に無機リンの増加が認められた.これらのことから,300 mg/kgを本試験の高用量に設定し,150 mg/kgでも弱い毒性がみられていることから,公比約3で除し,100および30 mg/kgとし,これに日本薬局方精製水を投与する対照群を含めた計4群を設定した.1群の動物数は雌雄とも7匹とし,投与前々日の体重に基づいて層化無作為抽出法により群分けを行った.

動物は,投与日に一番近い測定日の体重に基づいて5 mL/kgの容量でラット用胃ゾンデを用いて1日1回,28日間の計28回,強制的に胃内に投与した.

4. 検査項目

1) 一般状態観察

投与期間および回復期間中,全例について1日1回以上の頻度で観察した.

2) 行動機能観察(FOB)

投与開始前,投与7,14,21および28日ならびに回復7および14日に雌雄の各群7例のうち4例を用いて,ケージ外から動物のケージ内状態を姿勢,眼瞼閉鎖,呼吸,振戦・痙攣,常同行動(回転,旋回)および異常行動(自傷)について,ケージから取り出す時に取り出し易さ,扱い易さ,筋緊張,立毛,被毛の状態,皮膚,眼球,瞳孔径,可視粘膜,流涙,流涎および体温について,またオープンフィールド装置内で痙攣,歩行,覚醒状態,排尿,排糞,呼吸,常同行動(毛繕いおよび匂嗅ぎ)および異常行動(後方突進および発声)について,検査台上で視覚(棒を接近させた時の反応),触覚(筆を接触させた時の反応),聴覚(ガルトン笛に対する反応),痛覚(尾根部を挟んだ時の反応),固有受容反応(強制姿勢からの復帰反応)および空中正向反射(30 cm上方から落下させた時の反応)について,それぞれのスコアリング表に従って観察し,スコア付けした.また,投与4週および回復2週に前肢および後肢の握力(CPUゲージ,アイコーエンジニアリング(株)),後肢の着地開脚幅,10分毎60分間の自発運動量(Actomonitor II,メディカル・エイジェント社)を測定した.

3) 体重および摂餌量測定

体重は全例について,投与1日(投与前),投与2,7,14,21および28日(投与終了日),回復1,7および14日ならびに剖検日に測定し,投与1日から28日の体重増加量および体重増加率を算出した.また,摂餌量は剖検日を除いて体重と同じ日に測定した.

4) 尿検査

投与期間および回復期間の最終週に全例を代謝ケージに収容して非絶食下で採尿を行い,同時に採尿中の飲水量(重量)も測定した.約3時間の蓄尿についてpH,蛋白,糖,ケトン体,ウロビリノーゲン,ビリルビン,潜血反応(以上,マルティスティックス,バイエル・三共)および色調(肉眼観察)ならびに沈渣(鏡検)を検査し,21時間蓄尿について尿量(容量)および比重(屈折計,アタゴ)を測定した.

5) 血液学検査

全例について16〜21時間絶食させた後,剖検時にエーテル麻酔下で腹部大動脈より採血し,EDTA・2Kで処理した血液を用いて赤血球数,平均赤血球容積,血小板数,白血球数(以上,電気抵抗法),ヘモグロビン量(シアンメトヘモグロビン法),(以上,コールターカウンターT660型,コールター),ヘマトクリット値(赤血球数,平均赤血球容積より算出),平均赤血球ヘモグロビン量(赤血球数,ヘモグロビン量より算出),平均赤血球ヘモグロビン濃度(ヘマトクリット値,ヘモグロビン量より算出)および白血球型別百分率(May-Grnwald-Giemsa染色)を測定した.また,3.8 %クエン酸ナトリウムで処理した後,3000 rpmで10分間遠心分離して得られた血漿を用いて,プロトロンビン時間(トロンボプラスチン法)および活性化部分トロンボプラスチン時間(エラジン酸法)(以上,血液凝固自動測定装置アメルングKC-10A,バクスター)を測定した.

6) 血液生化学検査

血液学検査と同時に,全例について腹部大動脈より採血し,ヘパリン処理した後,3000 rpmで10分間の遠心分離で得られた血漿を用いてGOT(IFCC法),乳酸脱水素酵素(Wrblewski & La Due法)およびグルコース(ヘキソキナーゼ法)を測定し,また,無処理血液を3000 rpmで10分間の遠心分離で得られた血清を用いてGPT(IFCC法),アルカリホスファターゼ(Bessey-Lowry法),γ-GTP(包接L-γ-グルタミル-ρ-ニトロアニリド基質法),総コレステロール(酵素法),トリグリセリド(遊離グリセロール消去法),総ビリルビン(アゾビリルビン法),尿素窒素(ウレアーゼ・インドフェノール法),クレアチニン(Jaff法),カルシウム(OCPC法),無機リン(Fiske-SubbaRow法),総蛋白(ビウレット法)(以上,自動分析装置7150形,日立製作所),ナトリウム,カリウム(以上,炎光光度法,コーニング480型炎光光度計),クロール(電量滴定法,クロライドカウンターCL-6M,平沼産業),蛋白分画およびA/G比(以上,セルロースアセテート膜電気泳動法,全自動電気泳動装置CTE-150,常光)を測定した.

7) 剖検および器官重量測定

投与期間および回復期間終了の翌日に全例について,体外表を観察し,エーテル麻酔下で採血後放血致死させ剖検した.また,脳,肺,心臓,肝臓,腎臓,脾臓,副腎,下垂体,胸腺,甲状腺(上皮小体含む),精巣,精巣上体および卵巣の重量を測定するとともに,器官重量を剖検当日の体重で除し100を乗じて器官体重重量比を算出した.

8) 病理組織学検査

全例について肝臓,腎臓,脾臓,心臓,肺,脳,下垂体,副腎,甲状腺,上皮小体,胸腺,腸間膜リンパ節,膵臓,舌,下顎リンパ節,顎下腺,舌下腺,耳下腺,乳腺,皮膚,胸骨および大腿骨(骨髄を含む),脊髄(頸部),骨格筋(腓腹筋),胸部大動脈,喉頭,気管,気管支,食道,胃(前胃,腺胃,幽門部),十二指腸,空腸,回腸,盲腸,結腸,直腸,膀胱,精嚢(凝固腺を含む),前立腺,卵巣,子宮,腟,および坐骨神経を10 %中性緩衝ホルマリン液で,眼球およびハーダー腺をデビッドソン液で固定・保存し,精巣および精巣上体をブアン液で固定後70 %エタノールで保存した.これらの器官・組織を常法に従ってパラフィン包埋後,薄切してヘマトキシリン・エオジン染色あるいは特殊染色(ボディアン染色,K・B染色,ニューロフィラメント免疫染色)標本を作製し,鏡検した.

5. 統計解析

前肢および後肢の握力,後肢の着地開脚幅,自発運動量,体重,摂餌量,尿検査の定量的項目,血液学検査,血液生化学検査,器官重量および器官体重重量比の成績について,Bartlettの検定法によって等分散性を解析し,等分散を示した場合は,一元配置分散分析法によって解析し,有意な場合には,Dunnettの検定法により対照群と他群との比較を行った.不等分散を示した場合は,Kruskal-Wallis法で解析し,有意な場合には,Mann-WhitneyのU-検定法を用いて対照群との比較を行った.行動機能観察のスコアおよび尿検査の定性的項目の成績については,Kruskal-Wallisの検定法で解析し,有意差がみられた場合はMann-WhitneyのU-検定法を用いて対照群との比較を行った.なお,対照群との検定については,危険率5%以下を統計学的に有意とした.

結果

1. 一般状態

雌雄の300 mg/kg群で投与20あるいは21日からよろめき歩行がみられ,後肢の反転を伴う例も認められた.この症状は回復期間の14日間を通して認められた.

2. 行動機能観察(Table 1)

投与期間中は,300 mg/kg群で,投与21日に雌で歩行失調がみられ,そのスコアに対照群と比較して有意差が認められた.また投与28日には雌雄に筋緊張の低下および歩行失調がみられ,そのスコアに有意差が認められた.投与4週に雄で前肢に有意な握力の低下がみられ,また自発運動量では,雄で測定開始後の10〜20および20〜30分ならびに60分間のカウント数,雌で0〜10および10〜20分のカウント数に有意な低下が認められた.また100 mg/kg群でも,雄で10〜20分,雌で0〜10分のカウント数に有意な低下が認められ,30 mg/kg群では,雌のみで0〜10分のカウント数に有意な低下が認められた.

回復期間中は,300 mg/kg群で,雌雄とも回復7および14日に筋緊張の低下および歩行失調がみられ,そのスコアに有意差が認められた.また,回復2週に雌雄とも後肢に有意な握力の低下がみられ,また自発運動量では,雄で0〜10,10〜20,20〜30および30〜40分ならびに60分間のカウント数,雌で0〜10および50〜60分のカウント数ならびに60分間のカウント数に有意な低下が認められた.雄ではさらに後肢に有意な着地開脚幅の低下も認められた.

3. 体重(Fig. 1)

投与期間中は,雌雄の300 mg/kg群で有意な体重増加抑制が認められ,投与28日には雄の300 mg/kg群で体重減少が,雌の100 mg/kg群でも有意な体重増加抑制が認められた.

回復期間中も,雌雄の300 mg/kg群で体重が低く推移したが,体重増加量および体重増加率は対照群を上回り回復傾向が認められた.

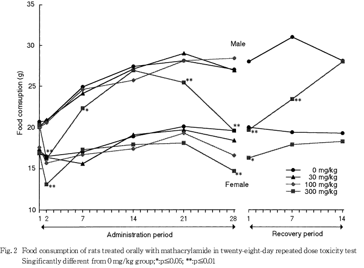
4. 摂餌量(Fig. 2)

投与期間中は,雌雄の300 mg/kg群で投与2日以降に摂餌量の低下あるいは低下傾向が認められた.

回復期間中は,雌雄の300 mg/kg群で回復1あるいは7日まで有意な低下がみられたが,回復14日には有意差はみられなかった.

5. 尿検査および飲水量

尿検査では,投与4週に雌雄の各投与群に変化は認められなかった.回復2週には雌の300 mg/kg群で尿比重に対照群と比較して有意な低下が認められたが,正常範囲内の変動であった.

飲水量では,投与4週に雌雄の300 mg/kg群で対照群と比較して有意な低下あるいは低下傾向が認められ,回復2週にも雌で有意な低下が認められた.

6. 血液学検査(Table 2, 3)

投与終了時に,雌雄の300 mg/kg群でヘマトクリット値およびヘモグロビン量に対照群と比較して有意な低下あるいは低下傾向が認められ,雄の100 mg/kg群でも低下傾向が認められた.また,雄の100および300 mg/kg群では平均赤血球容積および平均赤血球ヘモグロビン量にも低下が認められた.一方,雄の30 mg/kg群には平均赤血球容積のみに低下が認められ,その他の項目には変化がみられなかった.

回復終了時に,雌雄の300 mg/kg群で血小板数に有意な増加がみられ,雌でプロトロンビン時間に有意な延長が認められた.また,雄で単球に有意な増加がみられたが,正常範囲内の数値であった.

7. 血液生化学検査(Table 4, 5)

投与終了時に,300 mg/kg群の雄でアルブミンに有意な増加,α2-グロブリンおよびアルカリホスファターゼに有意な低下がみられ,α1-グロブリンには低下傾向が認められた.また,雌ではトリグリセリドに有意な増加,尿素窒素およびクレアチニンに有意な低下がみられ,アルブミンの増加傾向,アルカリホスファターゼおよびα1-グロブリンの低下傾向が認められた.100 mg/kg群では,雄に総蛋白の有意な低下が認められたが,用量依存性は認められなかった.

回復終了時に,300 mg/kg群の雄でA/G比,アルブミン,カリウムおよび無機リンの有意な増加,総蛋白,グルコースおよびトリグリセリドの有意な低下が認められた.また,雌ではアルカリホスファターゼ,カリウム,クロールおよび無機リンの有意な増加,総蛋白およびグルコースの有意な低下が認められた.一方,雄でクレアチニンに有意な低下が認められたが,対照群の変動範囲内の値であった.

8. 剖検

投与終了時に,300 mg/kg群の雄で3例に膀胱の内腔拡張が認められ,1例に肺の右前葉に暗赤色化,左肺に暗赤色斑が認められ,また雌では1例に膀胱の内腔拡張が認められた.なお,対照群の1例に左肺の暗赤色斑が認められた.

回復終了時に,300 mg/kg群の雄の1例で肺の右中間葉および左肺に白色斑が認められ,また雌の1例で右腎臓に腎盂拡張および子宮に嚢胞が認められた.

9. 器官重量および器官体重重量比(Table 6, 7)

投与終了時および回復終了時のいずれにも,300 mg/kg群の雌雄ともに脳,肺,心臓および肝臓等多くの器官の器官重量が低下し,また器官体重重量比が増加した.しかし、回復終了時に雄の精巣は,器官重量および器官体重重量比のいずれもが増加を示した.

10. 病理組織学検査(Table 8, 9)

投与終了時に,300 mg/kg群の雌雄ともに1〜2例で小脳脚における軸索膨化が軽度に認められ,また全例で坐骨神経に軽度な神経線維の変性が認められた.

回復終了時には,300 mg/kg群の雌雄ともに3〜5例で小脳脚における軸索膨化が軽度に認められ,また全例で坐骨神経に軽度〜中等度な神経線維の変性が認められた.さらに,雄の1例で精巣にステージIX,Xにおけるステップ19精子細胞の軽度なretentionが認められた.

対照群および300 mg/kg群で投与終了時および回復終了時にみられたその他の変化にはメタクリルアミド投与との関連性は認められなかった。

考察

メタクリルアミドは,長期投与により神経毒性の発現が知られているアクリルアミドの類縁物質1)であり,メタクリルアミドの急性経口投与毒性試験2)において中枢神経の変性・壊死等が認められたことから,アクリルアミドと同様に神経毒性の発現が予測された.

一般状態では,300 mg/kg群で投与3〜4週から雌雄いずれにもよろめき歩行がみられ,後肢の反転を伴う例も認められ,これらの神経症状は回復期間中にも継続して観察された.よろめき歩行および後肢の反転はアクリルアミドにおいて報告されている後肢の麻痺3)と類似した症状と考えられ,メタクリルアミドではマウスに神経毒性が報告1)されていることから,これらの歩行異常はメタクリルアミドの末梢神経に対する毒性により,後肢が麻痺した結果と推察された.

行動機能観察では,投与期間中に300 mg/kg群の雌雄で筋緊張の低下,歩行失調,握力の低下,雄で自発運動量の低下が認められた.この変化はいずれも末梢神経に対する神経毒性を示唆する前述の一般状態の変化とともに認められた.後肢の着地開脚幅の低下については回復期間に認められており,自発運動量の低下についても雌雄とも回復期間中の方がより高頻度に認められた.このことは末梢神経に対する神経毒性が,投与期間終了後にも進行したものと推察された.握力の低下については,アクリルアミドの30 mg/kgを5週間投与した試験4)でも報告されていることから,この変化はメタクリルアミドの影響と考えられた.後肢の握力の低下に関連する病変として病理組織学所見で坐骨神経に神経線維の変性が確認された.前肢の握力の低下については,病理組織学検査で認められた小脳の小脳脚における軸索膨化との関連が考えられた.雌の30および300 mg/kg群,雌雄の100 mg/kg群では,自発運動量の測定開始後0〜10あるいは10〜20分に有意な低下が認められた.対照群の動物では測定開始後の自発運動量が時間の経過とともに減少していく傾向がみられており,これは周囲の状況に馴れるに従って運動量が低下していくものと推察された.したがって,60分間の自発運動量に変化がみられないこと,各投与群の自発運動量の低下がいずれも測定開始後の初期にみられたことから,対照群に比較して周囲の状況の変化に対して鈍感であった可能性,あるいは運動活性が低下していた可能性が考えられた.このことは,60分間の自発運動量に有意差がみられている300 mg/kg群でも,測定開始後の初期に対照群と比較して有意差がみられる場合が多いことから,測定開始後の初期に認められた自発運動量の低下は,メタクリルアミドの影響によるものと推察された.なお,雌雄の30および100 mg/kg群では,一般状態,病理組織学検査において変化はみられなかった.

剖検では,300 mg/kg群で雌雄とも1〜3例と少数例ではあるが膀胱に内腔拡張が認められた.この変化は,600 mg/kgを10〜13日間投与した予備試験における死亡例にも認められ,メタクリルアミドとの関連が示唆された.また,この変化は,前述の後肢の麻痺に関連して,末梢神経の障害に起因した排尿困難による可能性も考えられた.

病理組織学検査では,300 mg/kg群の雌雄の全例で,坐骨神経に軽度な神経線維の変性が認められ,メタクリルアミドの神経毒性と考えられた.この変化は回復終了時ではその程度を増強し,前述と同様に末梢神経に対する神経毒性が,回復期間にも進行した可能性が推察された.アクリルアミドの50 mg/kgの週3回投与を4週間行った試験では,投与終了後40日には後肢の麻痺が回復し,末梢神経線維の再生像も認められている3)ことから,本試験において認められた神経線維の変性は,14日間の回復期間では回復するまでには至らなかったものと考えられた.また,300 mg/kg群の雌雄の小脳に散見された小脳脚における軸索膨化については,アクリルアミドの50 mg/kgの10日間投与においても認められている5).なお,30および100 mg/kg群では,これらの神経毒性を示唆する変化は認められなかった.

一方,300 mg/kg群の1例の精巣で回復終了時に認められたステージIX,Xにおけるステップ19精子細胞のretentionについては,セルトリ細胞の障害に起因するものと考えられている6).メタクリルアミドの急性経口投与毒性試験2)においても精巣毒性が示唆され,精母細胞および精子細胞に変化が認められたが,本試験で認められた所見とは異なり,またセルトリ細胞に障害がみられないことから,神経毒性の発現により体重および摂餌量の低下が継続したことに起因して,前述の精子細胞のretentionが起きた可能性も考えられた.しかし,精子細胞のretentionについては,特定のステージにのみ認められていることから精巣毒性の可能性を否定することはできなかった.

体重では,300 mg/kg群で雌雄とも投与初期から体重増加抑制が認められ,投与7日以降,回復終了時まで体重が低く推移した.また100 mg/kg群の雌でも投与28日に有意な体重増加抑制が認められた.回復期間には体重増加が認められたが,対照群と同等までの回復には至らなかった.

摂餌量では,300 mg/kgで雌雄とも摂餌量の低下が,投与初期から回復期間の前半まで継続したが,回復期間終了の時点では対照群とほぼ同等まで回復した.

血液学検査では,雌雄の300 mg/kg群でヘマトクリット値およびヘモグロビン量の低下あるいは低下傾向が認められ,雄の100 mg/kg群でもヘマトクリット値およびヘモグロビン量に低下傾向が認められた.また,雄の100および300 mg/kg群では平均赤血球容積および平均赤血球ヘモグロビン量にも低下が認められた.この貧血傾向は,雌雄の300 mg/kg群において神経症状が継続して認められたこと,体重の低下が投与7日以降継続して認められ,投与28日には減少あるいは停滞したこと,ならびに摂餌量の低下が継続的に認められたことに関連した二次的な変化と考えられた.しかし,骨髄あるいは脾臓に毒性を示唆する変化は認められず,回復期間には,これら貧血傾向を示唆する変化は認められなかった.また,雌雄の300 mg/kg群に血小板数の増加,雌のプロトロンビン時間の延長が認められ,この変化も,神経症状ならびに体重と摂餌量の低下が継続した影響によるものと考えられた.

血液生化学検査では,投与終了時に雌雄の300 mg/kg群でα1-グロブリンに低下傾向およびアルカリホスファターゼに低下あるいは低下傾向がみられ,雄ではα2-グロブリンに低下,雌ではトリグリセリドに増加もみられた.この変化も血液学検査の場合と同様に,神経症状ならびに体重および摂餌量の低下が継続したことに起因するものと推察された.雌雄の300 mg/kg群でアルブミンに増加あるいは増加傾向が認められ,回復終了時に雄ではA/G比に増加も認められた.雌の300 mg/kg群では,尿素窒素およびクレアチニンに低下が認められたが,腎臓に病理組織学的な異常は認められなかった.

回復期間に雌雄いずれも総蛋白,グルコースに低下およびカリウム,無機リン等の電解質に増加が認められたが,この変化は,神経症状ならびに体重と摂餌量の低下が継続した影響が回復していないことに起因するか,あるいは神経毒性が進行したことから神経組織からの逸脱に起因する等の可能性が考えられた.

器官重量および器官体重重量比では,回復終了時の300 mg/kg群で精巣の器官重量および器官体重重量比に増加が認められたが,精子細胞のretentionが認められたのは1例のみであり,その原因について病理組織学所見から明らかにすることは出来なかった.

以上,メタクリルアミドをラットに28日間反復経口投与した場合,雌雄いずれも300 mg/kg投与で神経症状および体重増加抑制が認められ,病理組織学的には神経毒性が認められた.14日間の回復終了後に,この神経毒性には回復性が認められなかった.また,100 mg/kg投与でも,雌雄いずれにも自発運動量の低下,さらに雄で貧血傾向および腎臓の器官体重重量比の増加が,雌で体重増加抑制が認められた.30 mg/kg投与では,雌で自発運動量の低下が認められた.

これらのことから,本試験条件下での無毒性量(NOEL)は雄で30 mg/kg/day,雌で30 mg/kg/day未満と考えられた.

文献

1) K. Hashimoto, J. Sakamoto, and H. Tanii, Arch. Toxicol., 47, 179(1981).
2)厚生省生活衛生局企画課生活化学安全対策室監修,"化学物質毒性試験報告,"Vol. 7,化学物質点検推進連絡協議会,東京,1999, p. 41.
3)B. Veronesi, K. Jones, S. Gupta, J. Pringle and C. Mezei, Neurotoxicology, 12, 715(1991).
4)G. E. Schulze and B. G. Boysen, Fund. Appl. Toxicol., 16, 602(1991).
5)D. J. O'Shaughnessy and G. J. Losos, Toxicol. Pathol., 14, 389(1986).
6)D. M. Creasy, Toxicol. Pathol., 25, 119(1997).

連絡先
試験責任者:須永昌男
試験担当者:吉田文子,皆川英俊,平田真理子,古川正敏,山本美代子
(株)化合物安全性研究所
〒004-0839 札幌市清田区真栄363番24
Tel 011-885-5031Fax 011-885-5313

Correspondence
Authors:Masao Sunaga (Study director)
Ayako Yoshida, Hidetoshi Minagawa, Mariko Hirata, Masatoshi Hurukawa, Miyoko Yamamoto
Safety Research Institute for Chemical Compounds Co., Ltd.
363-24 Shin-ei, Kiyota-ku, Sapporo, Hokkaido, 004-0839, Japan
Tel +81-11-885-5031Fax +81-11-885-5313