ヒドラジン一水和物のラットを用いる28日間反復経口投与毒性試験

Twenty-eight-day Repeat Dose Oral Toxicity Test
of Hydrazine monohydrate in Rats

要約

ヒドラジン一水和物の28日間反復経口投与毒性試験を雌雄のCD(SD)IGS系ラット(SPF)を用いて実施した.1群雌雄各5匹のラットからなる5試験群を設定し,さらに対照群および最高用量群には雌雄各5匹のラットを追加して回復群を設定した.

被験物質を注射用水に溶解して,0,1,3,10および30 mg/kgに相当する量を毎日1回,4週間反復経口投与し,一般状態の観察,体重測定,摂餌量測定,血液学検査,血液凝固能検査,血液生化学検査,尿検査,器官重量測定および病理学検査を行った.なお,回復期間は2週間とし,投与終了時と同様の検査を実施した.

投与期間および回復期間を通して対照群および各投与群で死亡例は認められなかった.

一般状態観察では,30 mg/kg群の雌雄で削痩,立毛および流涎,雌で鼻端の汚れがそれぞれ観察された.回復期間では一般状態に変化は観察されなかった.

体重は,30 mg/kg群の雌雄で低値を示し,体重増加量も減少してこの群での体重増加抑制が認められた.なお,休薬により体重の回復が認められた.

摂餌量は,30 mg/kg群の雌雄で投与7日に低値を示した.しかし,投与14日以降は差がみられなかった.30 mg/kg群の雄では飼料効率も低下し,この群での体重増加抑制が原因と考えられた.30 mg/kg群の雌では投与7日に著しい飼料効率の低下が認められたが,その後は回復した.

血液学検査では,30 mg/kg群の雌雄でヘマトクリット値,ヘモグロビン量,MCHおよびMCHCが低値および網赤血球比率が高値,30 mg/kg群の雄ではMCVが低値,30 mg/kg群の雌では赤血球数が低値,さらに10 mg/kg群の雌ではヘマトクリット値,ヘモグロビン量およびMCHが低値を示した.30 mg/kg群の雌雄および10 mg/kg群の雌では,メトヘモグロビン比率が高値および高値傾向を示した.

血液生化学検査では,30 mg/kg群の雌雄で総ビリルビン濃度,A/G比および無機リン濃度が高値,血糖値および塩素濃度が低値を示し,さらに,30 mg/kg群の雄で尿素窒素およびアルブミンの濃度が高値,30 mg/kg群の雌でカルシウム濃度が高値を示した.

尿検査の結果,各投与群において変化が認められなかった.

器官重量では,10および30 mg/kg群の雌雄で腎臓および肝臓の絶対重量または相対重量が高値あるいは高値傾向を示した.30 mg/kg群の雌雄では脾臓の絶対重量または相対重量が高値を示した.

解剖所見として,30 mg/kg群の雌雄で肝臓の淡色化が観察された.病理組織所見として,肝臓の小葉辺縁性の肝細胞の脂肪化が10および30 mg/kg群の雄で,対照群,1,3,10および30 mg/kg群の雌に観察された.なお,回復期間終了時では雌雄ともに対照群と比較して差は認められなかった.脾臓では色素沈着が30 mg/kg群の雌雄で,髄外造血が30 mg/kg群の雌雄および10 mg/kg群の雄に観察され,溶血性貧血に対する反応と考えられた.回復期間終了時では,脾臓の色素沈着が30 mg/kg群の雌雄で全例に観察され,溶血性貧血に伴う二次的変化と考えられた.

以上のように,10 mg/kg群の雄で腎臓絶対重量の高値傾向,肝臓および腎臓相対重量の高値あるいは高値傾向があり,雌ではヘマトクリット値,ヘモグロビン量およびMCHの低値,肝臓および腎臓の絶対重量の高値と相対重量の高値あるいは高値傾向が認められたことから本試験条件下におけるヒドラジン一水和物のラットに対する無影響量は,雌雄とも3 mg/kg/dayと判断された.

方法

1. 被験物質および投与液の調製

ヒドラジン一水和物[三菱ガス化学(株)(三重),Lot No. 10213103,純度100.15 %]は通常の取り扱い条件では安定な無色液体の化合物である.投与終了後,残余被験物質を提供元で再分析し,被験物質が試験期間中安定であったことを確認した.

投与液は,被験物質を注射用水((株)大塚製薬工場)に溶解して0.1,0.3,1.0および3.0 mg/mLの濃度となるように調製した.なお,注射用水中のヒドラジン一水和物は冷蔵保存条件下で7日間安定であることから,投与液の調製は毎週1回実施し,1日分ずつ小分けして投与まで冷蔵庫に保管した.全ての試験群の投与液について適切に調製されていることを確認するため,初回および最終調製時の各投与液の一部を分取し,被験物質濃度分析を行った.初回調製時は設定濃度の91.8〜97.5 %および最終調製時は93.2〜100.3 %であり,適切に調製されていることが確認された.

2. 動物および飼育方法

4週齢のCrj:CD(SD)IGS系ラット(SPF)の雌雄各52匹を日本チャールス・リバー(株)から購入し,検収後9日間,試験環境に馴化させた後,体重増加が順調で一般状態に異常を認めなかった雌雄各35匹(計70匹)を選び,5週齢で投与を開始した.動物は群分け当日の体重に基づいて層別化し,各群の平均体重が均等となるように各群に割り付けた.投与開始時の体重は雄で140〜164 g,雌で110〜131 gであった.試験群は0,1,3,10および30 mg/kgの5群とし,1群雌雄各5匹を用い,0および30 mg/kg群に雌雄各5匹を追加して回復群を設けた.

動物は,温度21.4〜25.9 ℃,湿度51〜75 %,換気回数1時間20回,照明12時間(午前7時点灯,午後7時消灯)に設定されたバリアシステム飼育室で飼育した.アルミ製前面・床ステンレス網目飼育ケージに動物を1匹ずつ収容し,オリエンタル酵母工業(株)製造の放射線滅菌したラット,マウス飼料CRF-1(Lot No. 010406)および水道水を自由に摂取させた.飼育ケージは隔週1回,給餌器は週1回取り換えた.

3. 投与量の設定および投与方法

投与量設定のため雌雄とも0,1,3,10および30 mg/kgの5用量を用いて2週間反復投与試験を実施した結果,30 mg/kg群では雌雄とも体重増加抑制が認められ,摂餌量および飼料効率が低値を示した.また,ヘマトクリット値,ヘモグロビン量,MCVおよびMCHが低値を示した.従って,28日間毒性試験の最高用量を30 mg/kgとし,以下高用量を10 mg/kg,中用量を3 mg/kgおよび低用量を1 mg/kgと設定した.

投与液量は体重100 g当たり1.0 mLとし,個体別に測定した体重に基づいて投与液量を算出し,1日1回胃ゾンデを用いて強制経口投与した.対照群には注射用水のみを同様に投与した.なお,回復期間は14日間とした.

4. 観察および検査

1) 一般状態の観察

全動物を投与期間中は投与前,投与後1および5時間,回復期間は午前および午後に観察し,中毒症状の有無や行動異常を記録した.

2) 体重

投与開始時から回復期間終了時まで毎週1回測定した.

3) 摂餌量

給餌した飼料の残量を毎週1回,測定し,摂餌量(g/day)および飼料効率(%)を算出した.

4) 血液学検査

投与期間終了時および回復期間終了時の計2回実施した.採血するに当たり,動物は約16時間絶食させた.動物をエーテルで麻酔して開腹し,腹部大動脈から採血した.

採取した血液の一部にEDTA-2Kを添加し,白血球数(WBC:フローサイトメトリー),赤血球数(RBC:暗視野板法),ヘモグロビン量(HGB:シアンメトヘモグロビン法),ヘマトクリット値(HCT:RBC,MCVより算出),平均赤血球容積(MCV:暗視野板法),平均赤血球血色素量(MCH:HGB,RBCより算出),平均赤血球血色素濃度(MCHC:HGB,HCTより算出),血小板数(PLT:暗視野板法),白血球百分率(フローサイトメトリー)および網赤血球率(Reticulocyte:RNA染色法)を総合血液学検査装置ADVIA120(バイエル社)を用いて測定した.また,上述の血液を用いてメトヘモグロビン比率(Methemoglobin:松原法)を測定した.さらに,3.13 %クエン酸ナトリウム水溶液添加血液の血漿を用いて,プロトロンビン時間(PT:Quick1段法),活性化部分トロンボプラスチン時間(APTT:クロット法)およびフィブリノーゲン量(Fibrinogen:トロンビン時間法)を血液凝固自動測定装置KC-40(独国Amelung社)により測定した.

5) 血液生化学検査

血液学検査に引き続き採取した血液を静置後,遠心分離して得られた血清を用いて,総蛋白(T.protein:Biuret法),アルブミン(Albumin:BCG法),A/G比(A/G:総蛋白およびアルブミンより算出),血糖(Glucose:HK-G-6-PDH法),中性脂肪(Triglyceride:GK-GPO遊離グリセロール消去法),総コレステロール(T.cholesterol:コレステロールオキシダーゼHDAOS法),尿素窒素(BUN:ウレアーゼGLDH法),クレアチニン(Creatinine:酵素法),総ビリルビン(T.bilirubin:バナジン酸酸化法),アスパラギン酸アミノトランスフェラーゼ(AST:酵素-UV法),アラニンアミノトランスフェラーゼ(ALT:酵素-UV法),アルカリホスファターゼ(ALP:P-ニトロフェニルリン酸基質法),γ-グルタミルトランスペプチターゼ(γ-GTP:L-γ-グルタミル3-カルボキシ4NA法),カルシウム(Calcium:MXB法)および無機リン(I.phosphorus:PNP-XDH法)を多項目生化学自動分析装置日立7170((株)日立製作所)により測定した.また,電解質のナトリウム(Sodium:イオン選択電極法),カリウム(Potassium:イオン選択電極法)および塩素(Chloride:イオン選択電極法)は電解質測定装置EA06R((株)エイアンドティー)により測定した.

6) 尿検査

投与期間終了週および回復期間終了週に検査を実施した.すなわち,検査動物を代謝ケージに個別に収容し,飼料および飲料水を自由に与えて3時間尿(午前10時から午後1時まで)および24時間尿(午前10時から翌日午前10時まで)を採取した.3時間尿を用いて,N-マル ティスティックスSG(バイエル メディカル(株))と尿分析装置CLINITEK 500(バイエル社)でpH,潜血,ケトン体,糖,蛋白,ビリルビン,ウロビリノーゲンを検査した.24時間尿を用いて,尿量,色調,尿浸透圧および尿沈渣を検査した.なお,尿浸透圧は,自動浸透圧測定装置OM-6030((株)アークレイファクトリー)により氷点降下法で測定した.また,尿を1500 r.p.m.で5分間遠心し,残渣を用いてステルンハイマー変法による染色を施し,尿沈渣について鏡検した.

7) 病理学検査

投与期間終了時および回復期間終了時に動物をエーテル麻酔し,放血致死させ病理解剖を実施した.解剖では動物の体表,体腔および諸器官について観察した.観察された肉眼的異常(部位,大きさ,硬さなど)は全て記録した.

器官重量は脳,心臓,肝臓,腎臓,副腎,胸腺,脾臓,精巣,精巣上体および卵巣について測定した.器官重量/体重比(相対重量)は投与27日または回復13日の測定体重および器官重量から算出した.また,リンパ節(腸間膜,下顎),骨髄(大腿骨),胸腺,気管,肺(気管支を含む),心臓,甲状腺,上皮小体,胃,十二指腸,空腸,回腸(パイエル氏板を含む),盲腸,結腸,直腸,肝臓,脾臓,膵臓,腎臓,副腎,膀胱,精嚢,前立腺,精巣,精巣上体,卵巣,子宮,腟,眼球,脳,下垂体,脊髄(頸部,胸部,腰部),骨格筋(大腿部)および坐骨神経を10 %中性緩衝ホルマリン液で固定した.なお,精巣および精巣上体はホルマリン酢酸液(FA液)で前固定した後,10 %中性緩衝ホルマリン液で固定した.病理組織学検査は対照群および最高用量群の上記器官および組織について実施した.また,最高用量群の肝臓および脾臓で被験物質の影響と考えられる変化が認められたため,他の用量群および回復群についても実施した.組織標本の作製は,常法に従ってパラフィン包埋,薄切後,ヘマトキシリン・エオジン染色を施した.鏡検では,病変の種類および程度を含む各所見について記録した.

5. 統計解析

各試験群の体重,摂餌量,血液学検査値,血液凝固能検査値,血液生化学検査値,尿検査値(尿量および尿浸透圧),器官重量および器官重量/体重比は,最初にBartlettの等分散検定を実施した.等分散の場合はDunnettの多重比較検定1, 2)で対照群と各投与群間の有意差を検定した.Bartlettの等分散検定で不等分散の場合はSteelの検定3)で対照群と各投与群間の有意差を検定した.上記定量値の有意水準は5 %および1 %の両側検定で実施した.また,病理学検査結果の検定はFisherの確率計算法を用いた.

結果

1. 一般状態

投与期間中,30 mg/kg群の雄では流涎が投与13日以降に観察され7例に認められた.さらに,削痩および立毛が2例に観察された.30 mg/kg群の雌では流涎が投与19日以降に観察され1例に認められた.さらに削痩および立毛が4例,鼻端の汚れが3例にそれぞれ観察された.なお,これらの所見は回復期間では消失した.投与期間を通して雌雄いずれの群においても死亡例は認められなかった.また,回復期間中,対照群および30 mg/kg群の雌雄で死亡例が認められなかった.

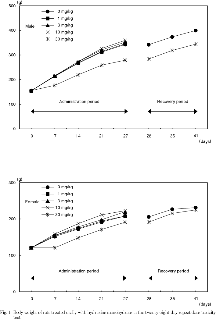
2. 体重(Fig. 1)

対照群に比較して30 mg/kg群の雌雄で低値を示し,投与期間の体重増加量も低値を示した.

3. 摂餌量

対照群に比較して30 mg/kg群の雌雄で投与7日に低値を示した.しかし,投与14日以降は差がみられな かった.飼料効率は,30 mg/kg群の雌雄で低値を示した.なお,回復期間中,対照群に比較して30 mg/kg群の雌雄で差が認められなかった.

4. 血液学検査(Table 1)

[投与期間終了時]

雄では,対照群に比較して30 mg/kg群でヘマトク リット値,ヘモグロビン量,MCV,MCHおよびMCHCが低値,血小板数,メトヘモグロビン比率および網赤血球比率が高値を示した.雌では,対照群に比較して10および30 mg/kg群でヘマトクリット値,ヘモグロビン量,MCHが低値,30 mg/kg群で赤血球数およびMCHCが低値を示した.また,30 mg/kg群で単球比率,メトヘモグロビン比率および網赤血球比率が高値を示した.血液凝固能検査では,対照群に比較して30 mg/kg群の雄でPTおよびAPTTが短縮を示した.

[回復期間終了時]

対照群に比較して30 mg/kg群の雌雄でMCHCが低値を示したが軽微な変化であった.血液凝固能検査では,対照群に比較して30 mg/kg群の雌でPTが短縮を示した.

5. 血液生化学検査(Table 2)

[投与期間終了時]

対照群に比較して30 mg/kg群の雌雄で総ビリルビン濃度,A/G比および無機リン濃度が高値,血糖値および塩素濃度が低値を示した.30 mg/kg群の雄で尿素窒素およびアルブミンの濃度が高値,ASTおよびALTの活性が低値を示した.30 mg/kg群の雌でカルシウム濃度が高値を示した.その他,1 mg/kg群の雄で総コレステロール濃度が高値,10 mg/kg群の雌でASTおよびALTの活性が低値を示したが用量に依存した変化ではなかった.

[回復期間終了時]

対照群に比較して30 mg/kg群の雌で無機リンおよび総コレステロールの濃度が高値を示した.

6. 尿検査(Table 3)

[投与期間終了時]

対照群に比較して各投与群の雌雄において検査したいずれの項目においても変化が認められなかった.

[回復期間終了時]

対照群に比較して30 mg/kg群の雌雄において検査したいずれの項目においても変化が認められなかった.

7. 器官重量(Table 4)

[投与期間終了時]

対照群に比較して10および30 mg/kg群の雌雄で腎臓絶対重量が高値あるいは高値傾向を示した.10および30 mg/kg群の雌では肝臓絶対重量が,30 mg/kg群の雌では脾臓絶対重量が高値を示した.その他,30 mg/kg群の雄で脳および精巣上体の絶対重量が低値を示した.

器官重量/体重比では,対照群に比較して10および30 mg/kg群の雌雄で肝臓および腎臓の相対重量が高値あるいは高値傾向を示した.30 mg/kg群の雌雄で脾臓相対重量が高値を示した.また,30 mg/kg群の雄で脳相対重量および雌で心臓相対重量が高値を示した.

[回復期間終了時]

対照群に比較して30 mg/kg群の雄で脳および心臓の絶対重量が低値を示した.

器官重量/体重比では対照群に比較して30 mg/kg群の雄で胸腺相対重量,雌で肝臓および腎臓の相対重量が高値を示した.

8. 病理学検査

1) 剖検所見(Table 5)

[投与期間終了時]

30 mg/kg群に認められた所見として肝臓の淡色化が雌雄の各3例に観察された.その他,肺の褐色斑/区域,肝臓の白色斑/区域,腎臓の嚢胞,子宮の嚢胞および内腔拡張,精巣および精巣上体の小型化がそれぞれ単発性,散発性もしくは用量に依存しない発生を示した.

[回復期間終了時]

胃の黒色斑/区域,腎臓の腎盂拡張および子宮の内腔拡張がそれぞれ単発性に発生した.

2) 組織所見(Table 6)

[投与期間終了時]

対照群に比較して投与群において有意に増加した所見として,肝臓の肝細胞の脂肪化が10および30 mg/kg群の雄でそれぞれ3および4例に認められた.雌では対照群,1,3,10および30 mg/kg群でそれぞれ4,4,3,4および5例に観察された.これらの脂肪化は主に小葉辺縁性に認められた.脾臓の色素沈着が30 mg/kg群の雌雄でそれぞれ5および4例に観察された.さらに,髄外造血が10および30 mg/kg群の雄で1および3例,30 mg/kg群の雌で4例に観察された.

その他,肺の泡沫細胞集簇,肝臓の小肉芽腫,腎臓の尿細管好塩基化および尿細管拡張,精巣の中等度精細管萎縮および精巣上体の無精子,子宮の内腔拡張および甲状腺の鰓後体遺残が単発性あるいは対照群にも認められた.

[回復期間終了時]

脾臓の色素沈着が対照群の雌の1例および30 mg/kg群の雌雄の全例に観察され,雌雄とも有意な発生数の増加が認められた.

また,肝臓の脂肪化が対照群および30 mg/kg群の雌でそれぞれ3および2例に観察された.その他,肝臓の小肉芽腫が雌雄とも対照群と同様に認められた.

考察

ヒドラジン一水和物を1,3,10および30 mg/kgの用量で雌雄のCrj:CD(SD)IGS系ラットに28日間にわたって反復経口投与し,その後,対照群および最高用量群の5匹の動物については投与を休止して14日間の回復期間を設けた.

投与期間および回復期間を通して対照群および各投与群で死亡例は認められなかった.一般状態の観察では,30 mg/kg群の雌雄で削痩,立毛および流涎,雌で鼻端の汚れがそれぞれ認められた.なお,これらの所見は回復期間で消失した.

体重は30 mg/kg群の雌雄で低値を示し,体重増加量も減少し,この群での体重増加抑制が認められた.なお,休薬により体重の回復が認められた.

摂餌量は30 mg/kg群の雌雄で投与7日に低値を示したが投与14日以降は差がなかった.飼料効率は30 mg/kg群の雌雄で低値を示し,特に雌では投与7日に著しい低値を示した.いずれもこの群での体重増加抑制に起因するものと考えられた.なお,休薬により30 mg/kg群の雌雄で回復が認められた.

血液学検査では,30 mg/kg群の雌雄でヘマトクリット値,ヘモグロビン量,MCHおよびMCHCが低値,網赤血球比率が高値を示し,30 mg/kg群の雄ではMCVが低値,雌では赤血球数が低値を示した.さらに,10 mg/kg群の雌ではヘマトクリット値,ヘモグロビン量およびMCHが低値を示した.これに伴って30 mg/kg群では総ビリルビン濃度の高値があり,後述のごとく脾臓の髄外造血亢進および脾臓の色素沈着が認められたことから,本試験で認められた貧血は溶血性貧血であると判断された.なお,回復期間終了時に貧血は回復傾向を示した.さらに30 mg/kg群の雌雄および10 mg/kg群の雌では,メトヘモグロビン比率が高値および高値傾向を示したが,ヒドラジンを投与したラットにおいてメトヘモグロビン血症の発現することがすでに報告されている4)

血液凝固能検査では,30 mg/kg群の雄でPTおよびAPTTが短縮を示し,回復期間終了時では30 mg/kg群の雌でPTが短縮を示した.いずれも短縮方向への変化であり毒性学的意義のない変化と考えられた.

血液生化学検査では,30 mg/kg群の雌雄で総ビリルビン濃度,A/G比および無機リン濃度が高値,血糖値および塩素濃度が低値,雄で尿素窒素およびアルブミンの濃度が高値を示し,いずれも被験物質の影響と考えられた.また,30 mg/kg群の雌でカルシウム濃度が高値を示した.その他,30 mg/kg群の雄でASTおよびALTの活性が低値を示したがいずれも減少方向の変化であり毒性学的意義のない変化と考えられた.回復期間終了時では30 mg/kg群の雌で無機リン濃度が高値を示したが,軽微な変化であった.また,総コレステロール濃度が高値を示したが,投与終了時においては認められなかった変化であった.

尿検査では各投与群において変化が認められなかった.

器官重量では,10および30 mg/kg群の雌雄で腎臓の絶対重量および相対重量が高値および高値傾向を示した.また,10および30 mg/kg群の雌で肝臓絶対重量が高値,10および30 mg/kg群の雌雄で肝臓相対重量が高値を示した.組織所見における小葉辺縁性の肝細胞の脂肪化の発生数とも相関しており被験物質の影響と考えられた.30 mg/kg群の雌で脾臓絶対重量が高値,30 mg/kg群の雌雄では脾臓相対重量が高値を示し,組織所見における脾臓の髄外造血の発生数と相関しており被験物質の影響と考えられた.その他,30 mg/kg群の雄で脳および精巣上体の絶対重量が低値を示し,30 mg/kg群の雌雄で脳および心臓の相対重量が高値あるいは高値傾向を示したが,いずれもこの群の体重増加抑制に伴う二次的変化と考えられた.回復期間終了時,30 mg/kg群の雌で肝臓および腎臓の相対重量が高値を示した.そこで脳重量比を算出して比較した結果,肝臓(対照群:327.54 %,30 mg/kg群:362.86 %)および腎臓(対照群:90.29 %,30 mg/kg群:96.90 %)とも大差は認められなかった.30 mg/kg群の雄で脳および心臓の絶対重量が低値,胸腺相対重量が高値を示したが,いずれもこの群の体重の低値に起因すると考えられた.

病理組織所見として,肝臓の淡色化に相当する組織所見の肝細胞の脂肪化が10および30 mg/kg群の雄で増加し,被験物質投与との関連が示唆された.しかし,回復期間終了時で認められず回復性を有すると考えられた.一方,雌では投与終了時および回復期間終了時のいずれにおいても対照群を含む各群にほぼ同様に認められた.雌雄の脾臓に観察された髄外造血は溶血性貧血に対する反応性変化と考えられた.髄外造血の発生数は回復期間終了時では1例のみであり血液学検査の結果からも貧血が回復したと考えられた.なお,脾臓の色素沈着は回復期間終了時においても雌雄の全例に観察され,溶血性貧血による二次的変化と考えられた.その他,観察された所見は単発性あるいは散発性もしくは用量に依存しない発現であることから,いずれも自然発生性病変と考えられた.

以上のように,10 mg/kg群の雄で腎臓絶対重量の高値傾向,肝臓および腎臓相対重量の高値あるいは高値傾向があり,雌ではヘマトクリット値,ヘモグロビン量およびMCHの低値,肝臓および腎臓の絶対重量の高値と相対重量の高値あるいは高値傾向が認められたことから,本試験条件下におけるヒドラジン一水和物のラットに対する無影響量は雌雄とも3 mg/kg/dayと判断された.

文献

1)佐野正樹,岡山佳弘,医薬安全性研究会会報,32, 21(1990).
2)M. Yoshida, J. Jap. Soc. Comp. Stat., 1, 111(1988).
3)倍味繁,稲葉太一,医薬安全性研究会会報,40, 33 (1994).
4)S. J. Moloney, R. Prough, Reviews in Biochemical Toxicology, 5, 313(1983).

連絡先
試験責任者:渡 修明
試験担当者:各務 進,田代 淳,杉山 豊,木原 亨,大橋信之
(財)食品農医薬品安全性評価センター
〒437-1213 静岡県磐田郡福田町塩新田字荒浜582-2
Tel 0538-58-1266Fax 0538-58-1393

Correspondence
Authors:Nobuaki Watari(Study director),
Susumu Kakamu, Jun Tashiro, Yutaka Sugiyama, Tohru Kihara, Nobuyuki Ohashi
Biosafety Research Center, Foods, Drugs and Pesticides(An-pyo Center)
582-2 Arahama, Shioshinden, Fukude-cho, Iwata-gun, Shizuoka, 437-1213, Japan
Tel +81-538-58-1266Fax +81-538-58-1393