ρ-トルエンスルホン酸ナトリウムのラットを用いる28日間反復経口投与毒性試験

Twenty-eight-day Repeat Dose Oral Toxicity Test of Sodium p-toluenesulfonate in Rats

要約

ρ-トルエンスルホン酸ナトリウムを0(対照群),100,300および1000 mg/kgの用量でCD(SD)IGS[SPF]系雌雄ラットに28日間強制経口投与し,その毒性を検討した.対照群および1000 mg/kg群については,別に14日間の回復群を設けた.

雌雄いずれの投与群にも被験物質に起因すると考えられる一般状態の変化は認められず死亡例もみられなかった.体重および摂餌量測定の結果,雌雄いずれの投与群とも被験物質に起因すると考えられる変化は認められなかった.

血液学検査,血液凝固能検査,血液生化学検査および尿検査の結果,雌雄いずれの投与群とも被験物質に起因すると考えられる変化は認められなかった.

器官重量測定の結果,雌雄いずれの投与群とも被験物質に起因すると考えられる変化は認められなかった.

病理学検査の結果,肉眼所見および組織学所見ともに被験物質の影響を示唆する所見は認められなかった.

以上の結果から,本試験条件下におけるρ-トルエンスルホン酸ナトリウムの無影響量は,雌雄とも被験物質に起因する変化が認められなかった1000 mg/kg/dayと考えられた.

方法

1. 被験物質

ρ-トルエンスルホン酸ナトリウム[明友産業(株)(大阪)提供,Lot No. 980900,純度92.7 wt%]は熱および光に安定な白色粉末状の化合物である.投与終了後の残余被験物質について分析を行った結果,使用期間中は安定であったことが確認された.

2. 供試動物

供試したSprague-Dawley系ラット[Crj:CD(SD)IGS,SPF]は日本チャールス・リバー(株)から4週齢で購入した.動物を検収後,試験環境に9日間馴化後,体重増加が順調で一般状態に異常を認めなかった雌雄各30匹を選び,5週齢で投与を開始した.動物の群分けは投与開始前日に行い,当日の体重に基づいて層別化し,平均体重が均等となるように各群に割り付けた.投与開始時の体重は雄で129〜144 g,雌で111〜125 gであった.

3. 飼育条件

動物は温度23 ± 3 ℃,相対湿度55 ± 20 %,換気回数20回/時,照明150〜300 lux,照明時間12時間(午前7時点灯,午後7時消灯)に設定されたバリアシステム飼育室で飼育した.アルミ製前面・床ステンレス網目飼育ケージに動物を1匹ずつ収容した.オリエンタル酵母工業(株)製造の放射線滅菌改良NIH公開ラット,マウス飼料および水道水を自由に摂取させた.飼育ケージは隔週1回,給餌器は週1回取り換えた.

4. 試験群の構成

試験群は0,100,300および1000 mg/kgの4群とし,1群雌雄各5匹を用い,0および1000 mg/kg群に雌雄各5匹の回復群を設け,計60匹を使用した.

[用量設定理由]

用量は,2週間の投与量設定試験で1000 mg/kgにおいても被験物質による変化が認められなかったので28日間反復投与毒性試験の最高用量を1000 mg/kgとし,以下公比約3で除し,中用量を300 mg/kg,低用量を100 mg/kgと設定した.

5. 投与方法

投与容量は体重100 gあたり1.0 mLとし,個体別に測定した体重に基づいて投与量を算出し,1日1回胃ゾンデを用いて胃内に強制経口投与した.対照群には蒸留水のみを同様に投与した.回復期間は14日間とした.

6. 投与液の調製

被験物質を濃度が1.0,3.0および10.0 w/v%となるように蒸留水に溶解し,必要量を調製した.蒸留水中のρ-トルエンスルホン酸ナトリウムは,冷蔵保管条件下で7日間安定であることから,投与液の調製は毎週1回実施し,投与まで冷蔵庫に保存した.全ての試験群の投与液について適切に調製されていることを確認するため,初回および最終調製時に各投与液の被験物質濃度を確認した.

7. 検査項目

1) 一般状態の観察

全動物を投与期間中は毎日3回(投与前,投与後1および5時間)観察し,中毒症状の有無や行動異常を記録した.

2) 体重

投与開始から回復期間終了まで毎週1回測定した.

3) 摂餌量

毎週1回飼料の残量を測定し,飼料摂取量(g/week)を算出した.

4) 血液学検査

投与期間終了時および回復期間終了時の計2回実施した.採血するに当たり,動物は約16時間絶食させた後,動物をエーテルで麻酔後開腹し,腹部大動脈から採血した.採取した血液の一部にEDTA-2Kを添加し,ヘマトクリット値(HCT:RBC, MCVより算出),ヘモグロビン量(HGB:シアンメトヘモグロビン法),赤血球数(RBC:暗視野板法),平均赤血球容積(MCV:暗視野板法),平均赤血球血色素量(MCH:HGB, RBCより算出),平均赤血球血色素濃度(MCHC:HGB, HCTより算出),血小板数(PLT:暗視野板法),白血球数(WBC:フローサイトメトリー法)および白血球百分率を血液自動分析装置THMS H・1E(米国マイルス社)を用いて測定した.さらに,3.13 %クエン酸ナトリウム水溶液添加血液の血漿を用いて,プロトロンビン時間(PT:Quick 1段法),活性化部分トロンボプラスチン時間(APTT:クロット法)およびフィブリノーゲン量(Fibrinogen:トロンビン時間法)を血液凝固自動測定装置KC-40(独国Amelung社)を用いて測定した.

5) 血液生化学検査

血液学検査に引き続き採取した血液を静置後,遠心分離して得られた血清を用いて,総蛋白(T. protein:Biuret法),アルブミン(Albumin:BCG法),A/G(A/G:総蛋白およびアルブミンより算出),血糖(Glucose:HK-G-6-PDH法),中性脂肪(Triglyceride:GK-GPO遊離グリセロール消去法),総コレステロール(T. cholesterol:コレステロールオキシダーゼESET法),尿素窒素(BUN:ウレアーゼGLDH法),クレアチニン(Creatinine:酵素法),総ビリルビン(T. bilirubin:バナジン酸酸化法),アスパラギン酸アミノトランスフェラーゼ(AST:酵素-UV法),アラニンアミノトランスフェラーゼ(ALT:酵素-UV法),アルカリホスファターゼ(ALP:ρ-ニトロフェニルリン酸基質法),γ-グルタミルトランスペプチターゼ(γ-GTP:L-γ-グルタミル-3-カルボキ-4NA基質法),カルシウム(Calcium:MXB法)および無機リン(I. phosphorus:PNP-XDH法)を多項目生化学自動分析装置日立7170((株)日立製作所)を用いて,ナトリウム(Sodium:イオン選択電極法),カリウム(Potassium:イオン選択電極法)および塩素(Chloride:イオン選択電極法)を電解質測定装置EA06R((株)エイアンドティー)を用いて測定した.

6) 尿検査

投与期間終了週および回復期間終了週の計2回検査を実施した.すなわち,検査動物を代謝ケージに個別に収容し,給餌給水の条件下で3時間尿(午前10時から午後1時まで)および24時間尿(午前10時から翌日午前10時まで)を採取した.3時間尿を用いて,N-マルティスティックスSG(バイエル・三共(株))と尿分析装置CLINITEK 500(バイエル社)でpH,潜血,ケトン体,糖,蛋白,ビリルビン,ウロビリノーゲンを検査した.24時間尿を用いて,尿量,色調,尿比重および尿沈渣を検査した.なお,尿比重は,尿比重屈折計UR-S((株)アタゴ)で測定した.また,尿を1500 r.p.m.で5分間遠心し,残渣を用いてステルンハイマー変法による染色を施し,尿沈渣について鏡検した.

7) 病理学検査

投与期間終了時および回復期間終了時の全動物をエーテル麻酔し,放血致死させ病理解剖を実施した.解剖では動物の体表,体腔および諸器官について観察した.観察された肉眼的異常(部位,大きさ,硬さなどを)は全て記録した.

器官重量は脳,肝臓,腎臓,副腎,胸腺,脾臓,精巣,精巣上体および卵巣について測定した.器官重量/体重比(相対重量)は投与28日または回復14日の測定体重および器官重量から算出した.また,脳(大脳,小脳,橋を含む),脊髄,下垂体,眼球,唾液腺(顎下腺,舌下腺),甲状腺,上皮小体,心臓,胸腺,肺(気管支を含む),気管,肝臓,腎臓,脾臓,副腎,胃,小腸(パイエル氏板を含む),大腸,精巣,精巣上体,精嚢,前立腺,卵巣,子宮,腟,膀胱,末梢神経(坐骨神経),リンパ節(下顎リンパ節,腸間膜リンパ節),骨髄(大腿骨),大動脈および皮膚は十分な量の10 %中性緩衝ホルマリン液で固定した.但し,精巣および精巣上体はブアン液で前固定した後,10 %中性緩衝ホルマリン液で固定した.

病理組織学検査は固定した器官・組織のうち,投与期間終了時に解剖した対照群および高用量群の胸腺,心臓,肝臓,脾臓,腎臓,副腎,精巣,精巣上体,子宮,卵巣,骨髄(大腿骨)について実施した.組織標本は,常法に従ってパラフィン包埋,薄切後,ヘマトキシリン・エオジン染色を施した.鏡検では,病変の種類および程度を含む各所見について記録した.

8. 統計解析

各試験群の体重,摂餌量,血液学検査値,血液凝固能検査値,血液生化学検査値,尿検査値(尿量および比重),器官重量および器官重量/体重比は,最初にBartlettの等分散検定を実施した.等分散の場合はDunnettの多重比較検定1, 2)で対照群と各投与群間の有意差を検定した.Bartlettの等分散検定で不等分散の場合はSteelの検定3)で対照群と各投与群間の有意差を検定した.上記定量値の有意水準は5および1 %の両側検定で実施した.また,病理学検査結果の検定はFisherの確率計算法を用いた.

結果

1. 一般状態

雄では,1000 mg/kg群で外傷が1例に,雌の100 mg/kg群で皮下部の腫瘤が1例にそれぞれ観察された.しかし,投与期間を通して,雌雄いずれの群にも死亡例は認められなかった.また,回復期間中には,雌雄とも対照群および1000 mg/kg群で死亡例は認められなかった.

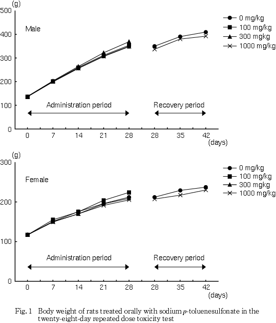
2. 体重(Fig. 1)

雌雄とも投与期間および回復期間を通して,対照群と被験物質投与群とで平均体重に差は認められなかった.

3. 摂餌量

雄では,投与期間中対照群に比較して300 mg/kg群で高値あるいは高値傾向を示した週もあったが,継続性のない変化であった.回復期間においては1000 mg/kg群で2週に低値を示したが,投与期間においてはみられなかった変化であった.

4. 血液学検査(Table 1)

[投与期間終了時の検査結果]

雌では,対照群に比較して100 mg/kg群で好中球比率の高値およびリンパ球比率の低値が認められたが,用量に関連した変化ではなかった.

[回復期間終了時の検査結果]

雄では,対照群と比較して1000 mg/kg群で単球比率が僅かな高値を示した.雌では,対照群と比較して1000 mg/kg群でヘモグロビン量が僅かな低値を示した.しかし,雌雄のいずれの変化も投与終了時の結果においてみられなかった変化であった.

5. 血液凝固能検査(Table 1)

[投与期間終了時の検査結果]

雌雄とも対照群と比較して被験物質投与群で差が認められなかった.

[回復期間終了時の検査結果]

雌雄とも対照群と1000 mg/kg群で差が認められなかった.

6. 血液生化学検査(Table 2)

[投与期間終了時の検査結果]

雄では,対照群に比較して300 mg/kg群でクレアチニンおよび総ビリルビンが僅かな高値を示し,1000 mg/kg群ではγ-GTPが僅かに低値を示した.雌では,対照群に比較して100 mg/kg群で塩素が僅かに低値を示した.しかし,雌雄のいずれの変化も用量に関連しない変化あるいは軽微な変化であった.

[回復期間終了時の検査結果]

雄では,対照群に比較して1000 mg/kg群で血糖が高値を示した.雌では,対照群に比較して1000 mg/kg群でγ-GTPが僅かに低値を示した.雌雄のいずれの変化も投与終了時の結果においてみられなかった変化であった.

7. 尿検査(Table 3)

[投与期間終了時の検査結果]

雄では,対照群に比較して1000 mg/kg群で尿比重が高値を示した.

[回復期間終了時の検査結果]

雌雄とも,対照群に比較して1000 mg/kg群では差が認められなかった.

8. 器官重量(Table 4)

[投与期間終了時の検査結果]

雌雄とも,対照群に比較して各投与群の全ての器官において差が認められなかった.

[回復期間終了時の検査結果]

雌雄とも,対照群に比較して1000 mg/kg群の全ての器官において差が認められなかった.

9. 器官重量/体重比(Table 4)

[投与期間終了時の検査結果]

雄では,対照群に比較して1000 mg/kg群の腎臓相対重量が高値を示した.

雌では,対照群に比較して300 mg/kg群の腎臓相対重量が高値を示した.雌雄いずれの変化も生理的変動(対照群の平均値± 2SD)範囲内の値であった.

[回復期間終了時の検査結果]

雌では,対照群に比較して1000 mg/kg群の脾臓相対重量が低値を示したが,投与終了時の測定では見られなかった変化であった.

10. 病理学検査

1) 剖検所見(Table 5)

[投与期間終了時の検査結果]

腎臓の嚢胞が雄の対照群および1000 mg/kg群にそれぞれ1例,腎臓の瘢痕が雌の300 mg/kg群に1例,皮下部の腫瘤が雌の100 mg/kg群に1例観察された.

[回復期間終了時の検査結果]

雄の1000 mg/kg群で皮膚に潰瘍が1例認められた.

2) 組織所見(Table 6)

[投与期間終了時の検査結果]

心臓の細胞浸潤が雄の対照群に1例,肝臓の脂肪化が雄の対照群および1000 mg/kg群にそれぞれ2例,雌の対照群および1000 mg/kg群に4および3例,リンパ球浸潤が雌の対照群および1000 mg/kg群に2および1例,小肉芽腫が雄の全例と雌の対照群および1000 mg/kg群に4および5例,腎臓の尿細管好塩基化が雄の対照群および1000 mg/kg群に5および4例,雌の対照群および1000 mg/kg群に5および3例,尿細管の拡張が雌雄の対照群および1000 mg/kg群の各1例,硝子滴変性が雄の対照群および1000 mg/kg群に4および5例,リンパ球浸潤および瘢痕性線維化が雄の対照群にそれぞれ1例,精巣の血管腫が対照群に1例,子宮の内腔拡張が1000 mg/kg群に1例観察された.

考察

投与期間および回復期間を通じて,雌雄いずれの群にも死亡例は認められなかった.

一般状態の観察では,雄の1000 mg/kg群の1例に発生した頸部の外傷は自傷であり,雌の100 mg/kg群の1例にみられた皮下部の腫瘤も被験物質に起因する変化とは認められなかった.

体重および摂餌量おいては,雌雄とも対照群と被験物質投与群とに差が認められなかった.

血液学検査,血液凝固能検査および血液生化学検査の結果,雌雄とも被験物質の影響は認められなかった.

尿検査の結果,雄の1000 mg/kg群で尿比重の高値が認められたが,他に関連する変化は認められず,毒性的意義はないものと判断された.

器官重量測定の結果,雄の1000 mg/kg群および雌の300 mg/kg群で腎臓相対重量が高値を示したが,病理学検査において変化が観察されず,被験物質の影響とは考えられなかった.

病理組織学検査の結果,1000 mg/kg群のみに発生した所見として,雌で子宮の内腔拡張が1例観察されているが,当センターの背景値においても8 %(0〜20 %)の発生が認められており,自然発生病変と考えられる.その他所見には対照群に比較して1000 mg/kg群で明らかに増加したものはなく,いずれも自然発生病変と考えられる.

以上の結果から,本試験におけるρ-トルエンスルホン酸ナトリウムの無影響量は雌雄ともに被験物質に起因する変化が認められなかった1000 mg/kg/dayと判断された.

文献

1)佐野正樹,岡山佳弘,医薬安全性研究会会報32,21(1990).
2)M. Yoshida, J. Jap. Soc. Comp. Stat. 1, 111(1988).
3)倍味繁,稲葉太一,医薬安全性研究会会報,40, 33(1994).

連絡先
試験責任者:渡 修明
試験担当者:各務 進,伊賀達也,向井大輔,山川誠己,大橋信之
(財)食品農医薬品安全性評価センター
〒437-1213 静岡県磐田郡福田町塩新田字荒浜582-2
Tel 0538-58-1266Fax 0538-58-1393

Correspondence
Authors:Nobuaki Watari(Study director)
Susumu Kakamu, Tatsuya Iga, Daisuke Mukai, Seiki Yamakawa, Nobuyuki Oohashi
Biosafety Research Center, Foods, Drugs and Pesticides(An-pyo Center)
582-2 Arahama, Shioshinden, Fukude-cho, Iwata-gun, Shizuoka, 437-1213, Japan
Tel +81-538-58-1266Fax +81-538-58-1393