ピグメントオレンジ16のチャイニーズハムスター培養細胞を用いる染色体異常試験

In Vitro Chromosomal Aberration Test of Pigment orange 16 on Cultured Chinese Hamster Cells

要約

ピグメントオレンジ16が培養細胞に及ぼす細胞遺伝学的影響について,チャイニーズ・ハムスター培養細胞(CHL/IU)を用いて染色体異常試験を実施した.

細胞増殖抑制試験結果をもとに,短時間処理法ならびに連続処理法で5000 μg/mLを最高処理濃度とした.短時間処理法-S9処理では313〜5000 μg/mLの5用量,短時間処理法+S9処理ならびに連続処理法では625〜5000 μg/mLの4用量を設定した.短時間処理法ではS9 mix存在下および非存在下で6時間処理(18時間の回復時間)後,連続処理法では,S9 mix非存在下における24時間連続処理後,標本を作製し,検鏡することにより染色体異常誘発性を検討した.短時間処理法ならびに連続処理法とも1250〜5000 μg/mLの3用量について顕微鏡観察を実施した.

その結果,短時間処理ならびに連続処理のいずれの処理群においても,染色体の構造異常や倍数性細胞の誘発作用は認められなかった.

以上の結果より,本試験条件下ではピグメントオレンジ16は,染色体異常を誘発しない(陰性)と結論した.

方法

1. 試験細胞株

哺乳類培養細胞を用いる染色体異常試験に広く使用されていることから,試験細胞株としてチャイニーズ・ハムスターの肺由来の線維芽細胞株(CHL/IU)を選択した.昭和59年11月15日に国立衛生試験所(現:国立医薬品食品衛生研究所)から分与を受け,一部はジメチルスルホキシド(DMSO:MERCK KGaA)を10 vol%添加した後,液体窒素中に保存した.試験に際しては凍結細胞を融解し3〜5日ごとに継代したものを使用した.なお,細胞増殖抑制試験で継代数14の細胞を,染色体異常試験では短時間処理法で継代数12,連続処理法で同14の細胞を用いた.

2. 培養液の調製

Eagle-MEM液体培地(岩城硝子(株))に,メンブランフィルター(0.45 μm:Featuring Corning and Costar Products)を用いて加圧濾過除菌した非働化(56 ℃,30分)済み仔牛血清(GIBCO Life Technologies, Inc)を最終濃度で10 vol%になるよう加えた後,試験に使用した.調製後の培養液を冷暗所(4 ℃)に保存した.

3. 培養条件

CO2インキュベーター(Formaおよび三洋電機メディカシステム(株))を用い,CO2濃度5 %,37 ℃の条件で細胞を培養した.

4. S9 mix

製造後6ヵ月以内のキッコーマン(株)製S9 mixを試験に使用した.S9 mix中のS9は誘導剤としてフェノバルビタールおよび5,6-ベンゾフラボンを投与したSprague-Dawley系雄ラットの肝臓から調製された.また,S9 mixの組成は松岡らの方法1)に従った.S9 mixの組成を以下に示す.
成  分S9 mix 1 mL中の量
S90.3 mL
MgCl25 μmol
KCl33 μmol
G-6-P5 μmol
NADP4 μmol
HEPES緩衝液(pH 7.2)4 μmol
精製水残 量

5. 被験物質

ピグメントオレンジ16(ロット番号:46236L)は純度99 %以上の橙色粉末で,水,DMSO,アセトン,メタノール,トルエンに不溶である.大日本インキ化学工業(株)から提供された被験物質を使用した.被験物質は,使用時まで室温で保管した.試験終了後,被験物質提供元において残余被験物質を分析した結果,安定性に問題はなかった.

6. 被験物質液の調製

試験の都度,被験物質を1 %カルボキシメチルセルロース・ナトリウム(1 %CMC・Na:和光純薬工業(株))水溶液を用いて懸濁させ調製原液とした.調製原液を使用溶媒を用いて順次所定濃度に希釈した後,速やかに処理を行った.

7. 細胞増殖抑制試験(予備試験)

12ウエルの細胞培養用マルチプレートに細胞を播種し,培養3日後に被験物質液を処理した.短時間処理法ではS9 mix非存在下(-S9 mix)あるいは存在下(+S9 mix)で6時間処理した後,新鮮な培養液に交換してさらに18時間培養を続けた.連続処理法の場合,24時間連続して処理を実施した.

細胞を10 vol%中性緩衝ホルマリン液(和光純薬工業(株))で固定した後,0.1 w/v%クリスタル・バイオレット(関東化学(株))水溶液で10分間染色した.色素溶出液(30 vol%エタノール,1 vol%酢酸水溶液)を適量加え,5分間程度放置して色素を溶出した後,580 nmでの吸光度を測定した.各用量群について溶媒対照群での吸光度に対する比,すなわち細胞生存率を算出した.

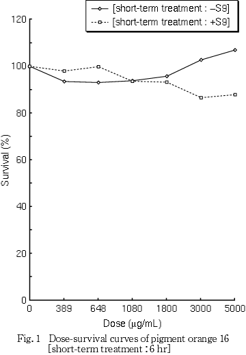
その結果,いずれの処理法においても明確な細胞増殖抑制は観察されなかった(Fig. 1, 2).

なお,被験物質暴露終了時,被験物質の懸濁液処理のため全用量で被験物質の残存が認められた.

8. 試験用量および試験群の設定

細胞増殖抑制試験結果をもとに,染色体異常試験では短時間処理法ならびに連続処理法のいずれにおいても5000 μg/mLを最高処理濃度とし,以下公比2で減じた計4〜5用量ならびに溶媒対照群を設定した.

なお,陽性対照として,短時間処理法の場合,-S9処理でマイトマイシンC(MMC:協和醗酵工業(株))を0.1 μg/mL,+S9処理でシクロホスファミド(CP:塩野義製薬(株))を12.5 μg/mLの用量で,連続処理の場合マイトマイシンCを0.05 μg/mLの用量で試験した.

9. 染色体標本の作製

直径60 mmのプレートを用い,細胞増殖抑制試験と同様に被験物質等の処理を行った.培養終了2時間前に,最終濃度で0.2 μg/mLとなるようコルセミド(GIBCO Life Technologies, Inc)を添加した.トリプシン処理で細胞を剥離させ,遠心分離により細胞を回収した.75 mmol/L塩化カリウム水溶液で低張処理を行った後,固定液(メタノール3容:酢酸1容)で細胞を固定した.空気乾燥法で染色体標本を作製した後,1.2 vol%ギムザ染色液で12分間染色した.

10. 染色体の観察

各プレートあたり100個,すなわち用量当たり200個の分裂中期像を顕微鏡下で観察し,染色体の形態的変化としてギャップ(gap),染色分体切断(ctb),染色体切断(csb),染色分体交換(cte),染色体交換(cse)およびその他(oth)の構造異常に分類した.同時に,倍数性細胞の出現率を記録した.染色体の分析は日本環境変異原学会・哺乳動物試験分科会による分類法2)に従って実施した.

すべての標本をコード化した後,マスキング法で観察した.

11. 結果の解析

ギャップのみ保有する細胞を含めない場合(-gap)について染色体構造異常の出現頻度を表示した.

各試験群の構造異常を有する細胞あるいは倍数性細胞の出現頻度を,石館ら3)の基準に従って判定した.染色体異常を有する細胞の出現頻度が5 %未満を陰性(-),5 %以上10 %未満を疑陽性(±),10 %以上を陽性(+)とした.最終的には再現性あるいは用量に依存性が認められた場合に陽性と判定した.

なお,統計学的手法を用いた検定は実施しなかった.

結果および考察

短時間処理法での試験結果をTable 1〜2に示した.ピグメントオレンジ16処理群の場合,S9 mix非存在下ならびに存在下とも,いずれの用量においても染色体構造異常および倍数性細胞の誘発傾向は観察されなかった.また,細胞増殖抑制作用も観察されなかった.一方,S9 mix非存在下における陽性対照物質MMCで処理した細胞,およびS9 mix存在下における陽性対照物質CPで処理した細胞ではいずれにおいても染色体構造異常の顕著な誘発が認められた.なお,被験物質暴露終了時,被験物質の懸濁液処理のため,いずれの処理法とも全用量で被験物質の残存が認められた.

連続処理法での試験結果をTable 3に示した.被験物質処理群の場合,染色体構造異常ならびに倍数性細胞の誘発傾向は観察されなかった.また,細胞増殖抑制作用も観察されなかった.一方,陽性対照物質のMMCで処理した細胞では染色体構造異常の顕著な誘発が認められた.なお,被験物質暴露終了時,被験物質の懸濁液処理のため,いずれの処理法とも全用量で被験物質の残存が認められた.

以上の試験結果から,本試験条件下においてピグメントオレンジ16のチャイニーズハムスター培養細胞に対する染色体異常誘発性に関し,陰性と判定した.

本被験物質の変異原性に関する報告はなかったが,ピグメントオレンジ16のアゾ基の切断時に生成される化学物質であるo-ジアニシジンについては Ames試験で陽性4),マウスの骨髄細胞に対するin vivo染色体異常試験では陽性5)であるが,in vitro染色体異常試験では陰性6)との報告があった.しかしながら,マウスの骨髄細胞に対するin vivo小核試験では,inconclusive7)との報告もあることから,o-ジアニシジン活性体自身の染色体異常誘発性はあまり高くないものと思われた.さらに,ピグメントオレンジ16は,水やあらゆる有機溶媒に対して不溶であり,アゾ基の還元を促進する代謝活性化系を用いたAmes試験においても陰性であったことから,アゾ基の還元を促進する代謝活性化系を用いた染色体異常試験の追加試験実施の必要性は無いものと判断した.

なお,アゾ化合物の不溶性が,アゾ基還元の妨害になっていることを示唆する知見として,不溶性アゾ化合物であるピグメントイエロー12(本被験物質と類似構造を示し,3,3'-ジクロロベンジジンの誘導体)のAmes試験陰性8)の報告およびラットならびにマウス癌原性試験陰性8)の報告がある.

文献

1)A. Matsuoka, M. Hayashi and M. Ishidate Jr., Mutat. Res., 66, 277(1979).
2)日本環境変異原学会・哺乳動物試験分科会編,“化学物質による染色体異常アトラス,”朝倉書店,東京,1988, pp.31-35.
3)石館基監修,“<改訂>染色体異常試験データ集,”エル・アイ・シー,東京,1987, pp. 19-24.
4)労働省労働基準局安全衛生部化学物質調査課監修,“労働安全衛生法有害性調査制度に基づく既存化学物質変異原性試験データ集,”日本化学物質安全・情報センター,東京,1996, p.184.
5)Z. You, M. D. Brezzell, S. K. Das, M. C. Espadas-Torre, B. H. Hooberman and J. E. Sinsheimer, Mutat. Res., 319(1), 19(1993).
6)S. M. Galloway, A. D. Bloom, M. Resnick, B. H. Margoline, F. Nakamura, P. Archer and E. Zeiger, Environ. Mutagen., 7, 1(1985).
7)T. Morita, N. Asano, T. Awogi, Y. F. Sasaki, S. Sato, H. Shimada, S. Sutou, T. Suzuki, A. Wakata, T. Sofuni and M. Hayashi, Mutat. Res., 389, 3(1997).
8)M. J. Prival, S. J. Bell, V. D. Mitchell, M. D. Peiperl and V. L. Vaughan, Mutat. Res., 136, 33(1984).

連絡先
試験責任者:益森勝志
試験担当者:植田ゆみ子,北澤倫世,菊池正憲,中嶋 圓,永井美穂,鈴木ゆみ子
(財)食品農医薬品安全性評価センター
〒437-1213 静岡県磐田郡福田町塩新田582-2
Tel 0538-58-1266 Fax 0538-58-1393

Correspondence
Authors:Shoji Masumori(Study director) Yumiko Ueta, Michiyo Kitazawa, Masanori Kikuchi, Madoka Nakajima, Miho Nagai, Yumiko Suzuki
Biosafety Research Center, Foods, Drugs and Pesticides(An-pyo Center)
582-2 Shioshinden, Fukude-cho, Iwata-gun, Shizuoka, 437-1213, Japan
Tel +81-538-58-1266 Fax +81-538-58-1393