1,4-ジメチル-2-(1-フェニルエチル)ベンゼンのチャイニーズ・ハムスター培養細胞を
用いる染色体異常試験
In Vitro Chromosomal Aberration Test of 1,4-Dimethyl-2-(1-phenylethyl)benzene
in Cultured Chinese Hamster Cells
要約
1,4-ジメチル-2-(1-フェニルエチル)ベンゼンの染色体異常誘発性の有無を検討するため,チャイニーズ・ハムスター肺由来の線維芽細胞株(CHL/IU)を用いてin vitroにおける染色体異常試験を実施した.
染色体異常試験に用いる用量は,細胞増殖抑制試験の結果に基づき,短時間処理法S9 mix非存在下では15.6〜500 μg/mLの範囲(公比2)で,S9 mix存在下では65.6〜2100 μg/mLの範囲(公比2)でそれぞれ6用量を設定した.また,連続処理法では7.81〜125 μg/mLの範囲(公比2)で5用量を設定した.
試験の結果,短時間処理法S9 mix非存在および存在下並びに連続処理法のいずれの場合においても,染色体異常を有する細胞の増加は認められなかった.
以上の成績から,1,4-ジメチル-2-(1-フェニルエチル)ベンゼンのCHL/IU細胞に対する染色体異常誘発性は陰性と判定した.
方法
1. 試験細胞株
国立医薬品食品衛生研究所変異遺伝部(元:国立衛生試験所変異原性部)から昭和60年1月13日に分与を受けたチャイニーズ・ハムスター肺由来の線維芽細胞株(CHL/IU)を使用した.供試細胞は,浮遊細胞液に10 vol%の割合でジメチルスルホキシド(DMSO,和光純薬工業(株))を添加し,液体窒素条件下で保存したものを培養液に戻し,解凍後の継代数が6回までのものを使用した.
2. 培養液
Eagle-MEM粉末培地(Gibco Laboratories)を常法に従い調製し,これに非働化仔牛血清(Gibco Laboratories)を10 vol%の割合で添加したものを用いた.
3. 培養条件
4 × 103個/mLの細胞を含む培養液5 mLをディッシュ(径6 cm,Becton Dickinson Co.)に加え,37 ℃のCO2インキュベーター(5 % CO2)内で培養した.
短時間処理法では,培養開始3日後に被験物質を加え S9 mix非存在および存在下で6時間処理し,処理終了後,新鮮培養液でさらに18時間培養した.連続処理法では,培養開始3日後に被験物質を加え24時間処理した.
4. S9 mix
染色体異常試験用凍結S9 mix(キッコーマン(株))を購入し,製造後6ヶ月以内に使用した.S9は,誘導剤としてフェノバルビタールおよび5,6-ベンゾフラボンを投与したSprague-Dawley系雄ラットの肝臓から調製されたものである.
5. 被験物質
1,4-ジメチル-2-(1-フェニルエチル)ベンゼン(ロット番号PPXE000204,日本石油化学工業(株)(東京)提供)は,無色透明液体で,水に不溶,ジメチルスルホキシド(DMSO)およびアセトンに可溶であり,純度99.0 %(不純物として,ジアリールアルカン類0.6 %,indan,1-methyl-3-phenyl 0.3 %,その他構造不明炭化水素類0.1 %を含む)の物質である.被験物質は,冷暗所(4 ℃)で密栓保管した.
実験終了後,残余被験物質を分析した結果,安定性に問題はなかった.
6. 被験物質供試液の調製
溶媒にDMSO(和光純薬工業(株))を用い,被験物質を溶解して最高用量の供試液(原液)を調製した.この原液の一部を溶媒で順次希釈して所定用量の供試液を調製した.供試液は,用時調製し,そのディッシュ内への添加量は培養液量の0.5 vol%とした.
7. 細胞増殖抑制試験
染色体異常試験に用いる被験物質の用量を決定するため,被験物質の細胞増殖に及ぼす影響を調べた.0.1 w/v%クリスタルバイオレット水溶液で染色した細胞の密度を単層培養細胞密度計(モノセレーター
,MI-60,オリンパス光学工業(株))を用いて測定し,溶媒対照群の細胞増殖率を100 %とした時の各用量群の細胞増殖率を求めた.
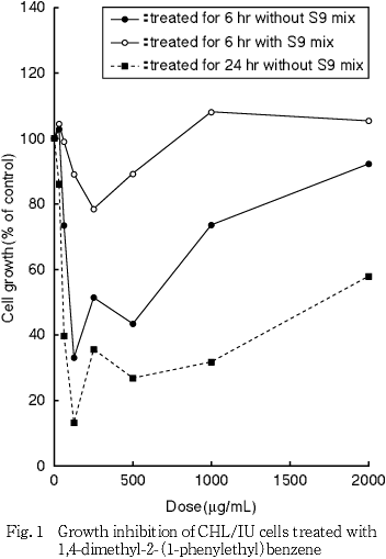
その結果(Fig. 1),短時間処理法S9 mix非存在下では125および500 μg/mLで50 %を上回る細胞増殖抑制が認められ,250 μg/mLでほぼ50 %細胞増殖抑制を示したが,その他の用量では50 %を上回る細胞増殖抑制は認められなかった.S9 mix存在下ではいずれの用量とも50 %を上回る細胞増殖抑制は認められず,50 %細胞増殖抑制用量は2000 μg/mL以上であると判断した.連続処理法では62.5〜1000 μg/mLで50 %を上回る細胞増殖抑制が認められ,特に125 μg/mLで顕著な細胞増殖抑制が認められた.2000 μg/mLでは50 %をやや下回る細胞増殖抑制が認められた.50 %細胞増殖抑制用量は31.3〜62.5 μg/mLの用量域にあるものと判断した.
8. 実験群の設定
細胞増殖抑制試験の結果から,染色体異常試験における被験物質の用量は,短時間処理法S9 mix非存在下では最高用量を500 μg/mLとし,以下公比2で250,125,62.5,31.3および15.6 μg/mL,また,S9 mix存在下では10 mMに相当する2100 μg/mLを最高用量とし,以下公比2で1050,525,263,131および65.6 μg/mLの各6用量とした.連続処理法では最高用量を125 μg/mLとし,以下公比2で62.5,31.3,15.6および7.81 μg/mLの計5用量とした.なお,短時間処理法S9 mix非存在下の場合,1000および2000 μg/mLでは添加した供試液がいくつかの油滴様物となって培養液表面に集まって浮遊したため,6時間の短時間暴露では細胞に対する被験物質の影響が顕著に現れなかったものと考えられ,50 %を上回る細胞増殖抑制が認められた500 μg/mLを最高用量とした.対照として,溶媒対照群と陽性対照群を設けた.
陽性対照として,短時間処理法S9 mix存在下では3,4-benzo[a]pyrene(B[a]P,Sigma Chemical Co.)を10 μg/mL,短時間処理法S9 mix非存在下および連続処理法では1-methyl-3-nitro-1-nitrosoguanidine(MNNG,Aldrich Chemical Co.)を2.5 μg/mLの用量で用いた.陽性対照物質の溶媒には,いずれもDMSO(和光純薬工業(株))を使用した.
9. 染色体標本の作製
培養終了2時間前にコルセミド(Gibco Laboratories)を最終濃度として0.2 μg/mLとなるように添加した.トリプシン処理で細胞を剥離し,遠心分離により細胞を回収した.75 mM塩化カリウム水溶液で低張処理後,用時調製した冷却メタノール・酢酸(3:1)混合液で細胞を固定した.空気乾燥法で染色体標本を作製した後,1.4 vol%ギムザ液で約15分間染色した.
10. 染色体の観察
各ディッシュあたり100個,すなわち,1用量当たり2ディッシュ,200個の分裂中期像を,総合倍率600倍の顕微鏡下で観察した.標本は全てコード化し,盲検法で観察を行った.染色体の分析は,日本環境変異原学会・哺乳動物試験分科会(MMS)による分類法1)に基づいて行い,染色体型あるいは染色分体型の切断,交換などの構造異常と倍数性細胞(Polyploid)の有無について観察した.
11. 記録と判定
観察した細胞数,構造異常の種類と数および倍数性細胞の数について集計し,記録した.
染色体構造異常細胞および倍数性細胞の出現頻度について,多試料χ2検定を行い有意差(有意水準5 %以下)が認められた場合は,フィッシャーの直接確率法を用いて溶媒対照群と各用量群との間の有意差検定(有意水準は多重性を考慮して,5 %または1 %を処理群の数で割ったものを用いた)を行った.
その結果,溶媒対照群と比較して,被験物質による染色体異常細胞の出現頻度が2用量以上で有意に増加し,かつ用量依存性あるいは再現性が認められた場合,陽性と判定した.
結果および考察
短時間処理法による結果をTable 1に示した.1,4-ジメチル-2-(1-フェニルエチル)ベンゼンを加えてS9 mix非存在および存在下で6時間処理したいずれの用量群においても,染色体の構造異常および倍数性細胞の誘発作用は認められなかった.
連続処理法による結果をTable 2に示した.被験物質を加えて24時間処理したいずれの用量においても,染色体の構造異常および倍数性細胞の誘発作用は認められなかった.
したがって,1,4-ジメチル-2-(1-フェニルエチル)ベンゼンのCHL/IU細胞に対する染色体異常誘発性は陰性と判定した.本試験結果は,CHL/IU細胞において,染色体異常を有する細胞の出現頻度が5 %未満を陰性とする石館らの判定基準2)からみても,明らかに陰性と判断されるものであった.
なお,1,4-ジメチル-2-(1-フェニルエチル)ベンゼンおよびその類縁化合物の変異原性に関する報告は見当たらなかった.
文献
| 1) | 日本環境変異原学会・哺乳動物試験分科会編,"化学物質による染色体異常アトラス,"朝倉書店,東京,1988, pp.16-37. |
| 2) | 石館基監修,"改定増補 染色体異常試験データ集,"エル・アイ・シー,東京,1987, p.19. |
| 連絡先 |
| 試験責任者: | 野田 篤 |
| 試験担当者: | 野田 篤,昆 尚美 |
| (財)畜産生物科学安全研究所 |
| 〒229-1132 神奈川県相模原市橋本台3-7-11 |
| Tel 042-762-2775 | Fax 042-762-7979 | |
| Correspondence |
| Authors: | Atsushi Noda(Study director) Naomi Kon |
| Research Institute for Animal Science in Biochemistry and Toxicology |
| 3-7-11 Hashimotodai, Sagamihara-shi, kanagawa, 229-1132 Japan |
| Tel +81-42-762-2775 | Fax +81-42-762-7979 | |