4-(1-メチル-1-フェニルエチル)フェノールのラットを用いる
28日間反復経口投与毒性試験
Twenty-eight-day Repeat Dose Oral Toxicity Test
of 4-(1-Methyl-1-phenylethyl)phenol in Rats
要約
4-(1-メチル-1-フェニルエチル)フェノールは界面活性剤原料,各種樹脂改質剤,殺菌殺かび剤,可塑剤,安定剤等の用途で使用されている.オリブ油に溶解した4-(1-メチル-1-フェニルエチル)フェノールの0,100,300および1000 mg/kgを,1群あたり雌雄各7あるいは14匹のCrj:CD(SD)IGS系ラットに28日間反復経口投与してその毒性と,また0および1000 mg/kg投与終了後の14日間の回復性も併せて検討した.その結果,以下の成績を得た.
一般状態では,雌雄の1000 mg/kg群で投与期間中に軟便が散見され,投与26日に雄2例,雌1例が死亡した.また,投与28日には雄1例を衰弱のため切迫屠殺した.1000 mg/kg群の雄で低体重が投与7日から継続して認められたが,雌では投与期間中に体重の変化はなかった.摂餌量では,雌雄の300 mg/kg以上の群で一過性の低値がみられた.尿検査では,雌雄の300 mg/kg以上の群で沈渣中に大小不同の黒色物質が散見され,飲水量および尿量の増加もみられた.雌の300 mg/kg群および雌雄の1000 mg/kg群で尿比重の低下および尿蛋白の減少がみられ,1000 mg/kg群では,雄で尿pHの低下,雌で尿中ナトリウムの低値も認められた.血液学検査では,1000 mg/kg群の雌雄で血小板数の高値がみられ,雄で白血球数の高値が認められた.血液生化学検査では,1000 mg/kg群の雌雄でGPT,アルカリホスファターゼ,γ-GTP,無機リンに高値,トリグリセリド,尿素窒素,クレアチニンに高値または高値傾向がみられ,雄でグルコース,カリウムおよびクロールに低値,総蛋白,総ビリルビン,総コレステロールおよびカルシウムに高値,雌でA/G比に低値および蛋白分画の変化が認められた.器官重量では,1000 mg/kg群の雌雄で肝臓および腎臓の絶対重量および相対重量に高値が認められた.300 mg/kg群でも雄の肝臓の相対重量の高値が認められた.回復期間終了時には,1000 mg/kg群の雄で副腎の絶対重量および相対重量の高値が認められた.剖検では,1000 mg/kg群の雌雄で前胃粘膜の肥厚あるいは微細隆起部がみられ,病理組織学的には扁平上皮過形成がみられた.腎臓には白色斑あるいは褪色がみられ,病理組織学的には尿細管の拡張,顆粒円柱,尿細管上皮および集合管上皮の再生等が認められた.また,肝臓には肉眼的には変化がみられなかったが,病理組織学的には胆管増殖が認められた.
これらの投与期間中にみられた変化には,いずれも回復性が認められた.
以上のことから,300 mg/kg以上の群で,肝臓,腎臓および胃に毒性が認められ,本試験条件下における4-(1-メチル-1-フェニルエチル)フェノールの無影響量(NOEL)は雌雄とも100 mg/kg/dayと考えられた.
方法
1. 被験物質および投与液の調製
4-(1-メチル-1-フェニルエチル)フェノール(純度: 99.88 %,Lot No. 101002,サン テクノケミカル(株),東京)は,白色結晶あるいはフレーク状の固体である.入手後の被験物質は遮光気密容器に入れ,5〜10 ℃の冷暗所で保存し,残余被験物質を製造業者が分析し,投与期間中の被験物質の安定性を確認した.媒体はオリブ油(ヤクハン製薬(株)を用い,これに被験物質を所定の濃度となるように溶解させた.調製液は,遮光・冷蔵保存条件下で8日間安定であることから,調製後速やかに遮光気密容器に入れ,使用時まで冷蔵保存し,室温に戻してから投与に使用した.また,これらの調製液について濃度を確認し,設定値の± 5 %以内にあることを確認した.
2. 試験動物および飼育条件
日本チャールス・リバー(株)より受け入れた4週齢のSprague-Dawley系ラット(Crj:CD(SD)IGS)の雌雄を6または7日間の検疫・馴化を行った後,雌雄各42匹を選択して5週齢で試験に供した.投与開始日の体重は雄が137〜158 g,雌が123〜145 gであった.動物は,温度21〜23℃,湿度52〜65 %,換気回数10〜15回/時間および照明時間12時間(8時から20時まで点灯)に制御されたバリアシステムの飼育室で,ブラケット式金属製金網床ケージに群分け前は1ケージあたり4または5匹を収容し,群分け後は個別飼育した.飼料は,g線照射固型飼料(CRF-1,オリエンタル酵母工業(株)を金属製給餌器を用いて,飲料水は札幌市水道水を自動給水装置を用いてそれぞれ自由に摂取させた.
3. 投与量および投与方法
投与量設定試験では雌雄のラットに0(オリブ油),250,500および1000 mg/kgの4用量を1群5匹に投与した.1000 mg/kg群では,雌雄の全例で軟便が散見され,また雌雄ともに摂餌量の低値がみられ,雄では体重増加抑制も認められた.さらに雌雄ともに白血球数の増加傾向,総コレステロールの高値傾向が,雄に尿素窒素,総蛋白およびGPTの高値,クロールの低値,クレアチニンの高値傾向,雌にトリグリセリドの高値が認められた.病理検査では,雌雄ともに前胃粘膜の微細隆起部がみられ,病理組織学的には粘膜の扁平上皮過形成が認められた.腎臓には白色斑がみられ,病理組織学的には尿細管腔内に細胞残屑,顆粒円柱,尿細管の拡張,尿細管上皮の再生等が認められた.また雄では盲腸の拡張も認められた.器官重量では雌雄の肝臓重量の高値がみられ,雄では腎臓および副腎に相対重量の高値も認められた.
500 mg/kg群では,雌雄の数例で軟便が認められ,摂餌量の低値が雄でみられた.また雌雄ともに白血球数の増加傾向がみられ,雌に総コレステロールの高値および尿素窒素の高値傾向が認められた.病理検査では,雄で肝臓の相対重量が高値であった.
250 mg/kg群では,雌の1例で軟便が認められ,雌に白血球数の増加傾向もみられた.
以上のことから,高用量群には1000 mg/kgを設定し,以下公比約3で除して,中用量群には300 mg/kgを,低用量群には100 mg/kgを,さらに,溶媒のみを投与する対照群も加え,雌雄各4群を設定した.1群の動物数は雌雄とも7匹とし,対照群および1000 mg/kg群には,さらに14日間の回復群として2群を割り付け,投与前々日の体重に基づいて層化無作為抽出法により群分けを行った.
各個体の投与液量は投与日に最も近い測定日の体重に基づき,5 mL/kgの容量でラット用胃ゾンデを用いて強制的に胃内に投与した.
4. 検査項目
1) 一般状態観察
投与期間および回復期間中,全例について1日1回以上の頻度で観察した.
2) 体重および摂餌量測定
体重は全例について,投与1日(投与前),投与2,7,14,21および28日(投与終了日),回復1,7および14日ならびに剖検日に測定し,投与1日から28日,回復1日から14日の体重増加量および体重増加率を算出した.また,摂餌量は剖検日を除いて体重と同じ日に測定した.
3) 尿検査および飲水量測定
投与4週および回復2週に全例を代謝ケージに収容して非絶食下で採尿を行い,同時に採尿中の飲水量(重量)も測定した.約3時間の蓄尿についてpH,蛋白,糖,ケトン体,ウロビリノーゲン,ビリルビン,潜血反応(以上,マルティスティックス,バイエル・三共)および色調(肉眼観察)ならびに沈渣(鏡検)を検査し,21時間の蓄尿について尿量(容量),比重(屈折計法,アタゴ),ナトリウム,カリウム(以上,炎光光度法),クロール(電量滴定法)を測定した.
4) 血液学検査
全例について剖検時に16〜20時間絶食させた後,エーテル麻酔下で腹部大動脈より採血し,EDTA・2Kで処理した血液を用いて赤血球数,ヘマトクリット値,血小板数,白血球数(以上,電気抵抗法),ヘモグロビン量(シアンメトヘモグロビン法),平均赤血球容積(赤血球数,ヘマトクリット値より算出),平均赤血球ヘモグロビン量(赤血球数,ヘモグロビン量より算出),平均赤血球ヘモグロビン濃度(ヘマトクリット値,ヘモグロビン量より算出)(以上,自動血球計数装置F-820,シスメックス),網赤血球数(Brecher法)および白血球百分比(May-Gr
nwald-Giemsa染色)を測定した.また,3.8 %クエン酸ナトリウムで処理した後,3000 回転/分で10分間遠心分離して得られた血漿を用いて,プロトロンビン時間(トロンボプラスチン法)および活性化部分トロンボプラスチン時間(エラジン酸法)(以上,血液凝固自動測定装置アメルングKC-10A,バクスター)を測定した.
5) 血液生化学検査
血液学検査と同時に,全例について腹部大動脈より採血し,ヘパリン処理した後,3000 回転/分で10分間遠心分離して得られた血漿を用いてGOT(IFCC法),乳酸脱水素酵素(Wr
blewski & La Due法)およびグルコース(ヘキソキナーゼ法)を測定し,無処理血液を3000 回転/分で10分間遠心分離して得られた血清を用いてGPT(IFCC法),アルカリホスファターゼ(Bessey-Lowry法),γ-GTP(包接L-γ-グルタミル-ρ-ニトロアニリド基質法),総コレステロール(酵素法),トリグリセリド(遊離グリセロール消去法),総ビリルビン(アゾビリルビン法),尿素窒素(ウレアーゼ・インドフェノール法),クレアチニン(Jaff
法),カルシウム(OCPC法),無機リン(Fiske-SubbaRow法),総蛋白(ビウレット法)(以上,自動分析装置7150形,日立製作所),ナトリウム,カリウム(以上,炎光光度法,自動炎光光度計480型,コーニング),クロール(電量滴定法,クロライドカウンターCL-6M,平沼産業),蛋白分画およびA/G比(以上,セルロースアセテート膜電気泳動法,全自動電気泳動装置CTE-150,常光)を測定した.
6) 剖検および器官重量測定
投与28日および回復14日の翌日に全例について,体外表を観察し,エーテル麻酔下で採血後放血致死させ剖検した.また,脳,肺,心臓,肝臓,腎臓,脾臓,副腎,下垂体,胸腺,甲状腺(上皮小体含む),精巣,精巣上体および卵巣の重量を測定するとともに,絶対重量を剖検当日の体重で除し100を乗じて相対重量を算出した.
7) 病理組織学検査
全例について脳(大脳および小脳),下垂体,胸腺,甲状腺,上皮小体,副腎,脾臓,心臓,胸部大動脈,舌,食道,胃(前胃および腺胃),肝臓,膵臓,十二指腸,空腸,回腸(パイエル板含む),盲腸,結腸,直腸,喉頭,気管,肺(気管支含む),腎臓,膀胱,前立腺,精嚢(凝固腺含む),卵巣,子宮(角部および頸部),膣,乳腺(原則として右腹部,雌のみ),皮膚(腹部),胸骨(骨髄含む),大腿骨(骨髄含む),脊髄(頸部),骨格筋(大腿部),腸間膜リンパ節,下顎リンパ節,顎下腺,舌下腺,耳下腺,坐骨神経,眼球,ハーダー腺,精巣および精巣上体を常法に従ってパラフィン包埋後,薄切してヘマトキシリン・エオジン染色標本を作製して対照群および高用量群について鏡検し,前胃,肝臓および腎臓については全例鏡検した.なお,1000 mg/kg群の雄1例の腺胃および直腸については鉱質沈着が認められたため,コッサ染色を施して確認を行った.
5. 統計解析
体重,体重増加量および増加率,摂餌量,尿検査の定量的項目,血液学検査,血液生化学検査,器官の絶対重量および相対重量の成績について,Bartlettの検定法によって等分散性を解析し,等分散の場合は,一元配置分散分析法で解析し,有意差がみられた場合は,Dunnettの検定法により解析した.不等分散の場合は,Kruskal-Wallis法で解析し,有意差がみられた場合は,Mann-WhitneyのU-検定法を用いて解析した.
尿比重および尿検査の定性的項目の成績については,Kruskal-Wallisの検定法で解析し,有意差がみられた場合はMann-WhitneyのU-検定法を用いて解析した.
これら対照群と被験物質投与群との間の検定においては,いずれも有意水準を5 %とした.
結果
1. 一般状態
投与26日に1000 mg/kg群の雄2例,雌1例が死亡した.また,投与28日に雄1例で投与後約2時間に自発運動の減少および血尿がみられた.同例は体重が減少し摂餌もないため,切迫屠殺を行った.他の例では雌雄の1000 mg/kg群で軟便が投与2日以降に認められ,肛門周囲の被毛の汚れも認められた.また,雌では外尿道口周囲の被毛の汚れも散見されたが,その他には異常は認められなかった.回復期間中には雌雄とも異常は認められなかった.
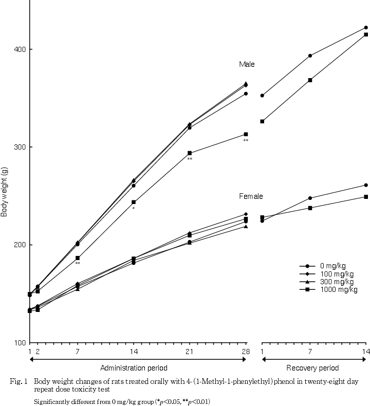
2. 体重(Fig. 1)
雄の1000 mg/kg群で,投与7日以降に体重増加抑制がみられた.死亡した2例の体重は著明に減少し,切迫屠殺例でも中等度の減少が認められた.一方,雌では群間に有意差は認められなかったが,死亡例では顕著な体重減少が認められた.回復期間中の体重増加量および増加率が,雄で有意な高値,雌で有意な低値であった.
3. 摂餌量(Fig. 2)
雌雄の300 mg/kg以上の群で,投与2日に低値がみられ,1000 mg/kg群の雄では投与21日にも低値が認められた.雄の切迫屠殺例では投与28日に摂餌がなかった.その他の測定日に対照群と比較して有意な高値もみられたが,一貫性のある変化ではなく,被験物質との関連は無いと判断した.また回復期間中には雌雄とも変化はなかった.
4. 尿検査および飲水量(Table 1, 2)
投与4週の検査で,雌雄の300 mg/kg以上の群で沈渣中に大小不同の黒色物質が散見された.雌の 300 mg/kg以上の群および雄の1000 mg/kg群で,飲水量および尿量の増加,比重および蛋白陽性例の減少が認められ,雄の300 mg/kg群でも飲水量の増加が認められた.雄の1000 mg/kg群ではpHの低下が認められた.回復2週の検査でも,雌雄の1000 mg/kg群に飲水量の増加がみられ,雄では尿量も増加し,カリウムおよびクロール排泄量の高値,雌で比重の低下が認められた.
5. 血液学検査(Table 3, 4)
投与期間終了時に,雌雄の1000 mg/kg群で血小板数の高値が認められ,雄では白血球数も高値を示した.雌では活性化部分トロンボプラスチン時間の延長が認められた.雌の300および1000 mg/kg群で,プロトロンビン時間の短縮が認められたが,用量依存的な変化ではなく,臨床的意義に乏しいことから,毒性学的意義はないと判断した.回復期間終了時に,雄の1000 mg/kg群では,分葉核好中球比率の高値およびリンパ球比率の低値が認められた.
6. 血液生化学検査(Table 5, 6)
投与期間終了時に,雌雄の1000 mg/kg群で,GPT,アルカリホスファターゼ,γ-GTPおよび無機リンの高値,トリグリセリド,尿素窒素およびクレアチニンの高値あるいは高値傾向が認められた.雄ではグルコース,カリウムおよびクロールの低値,総蛋白,総ビリルビン,総コレステロールおよびカルシウムの高値,雌ではA/G比およびAlbumin分画比の低値,a1-,a2-およびb-globulin分画比の高値も認められた.また雄の100および300 mg/kg群でb-globulin分画比の高値,雌の100 mg/kg群で尿素窒素の低値がみられたが用量依存的な変化ではなかった.回復期間終了時に雌雄の1000 mg/kg群で,総蛋白の低値がみられ,雄ではAlbumin分画比および無機リンの高値,乳酸脱水素酵素の低値,雌ではカリウムの高値が認められた.
7. 剖検
1000 mg/kg群の死亡例では,雄1例で前胃粘膜に多巣性の微細隆起部がみられ,胃,十二指腸および空腸に拡張,腎臓に多巣性の白色斑が認められた.もう1例でも,十二指腸および空腸に拡張が認められた.雌1例では胃,十二指腸および空腸に拡張がみられ,脾臓に萎縮が認められた.1000 mg/kg群の切迫屠殺例の雄1例では,腎臓に褪色および腫大がみられ,膀胱に赤色尿貯留が認められた.
投与期間終了時の生存例では,雌の300 mg/kg群の1例で盲腸に拡張が認められた.雌雄の1000 mg/kg群では,前胃粘膜に多巣性の微細隆起部,前胃粘膜の肥厚,盲腸の拡張,腎臓の褪色および微細白色斑が認められた.回復期間終了時にも雄の1000 mg/kg群で,腎臓の褪色が認められた.
8. 器官重量(Table 7, 8)
投与期間終了時に,雄の300 mg/kg群で,肝臓の相対重量の高値が認められた.雌雄の1000 mg/kg群では,肝臓および腎臓の絶対重量および相対重量の高値が認められ,雄で心臓,雌で胸腺の絶対重量および相対重量の低値が認められた.雄で副腎の相対重量に用量依存的な増加傾向がみられた.雄の1000 mg/kg群の切迫屠殺例でも,肝臓,腎臓および副腎の絶対重量および相対重量の高値がみられ,心臓,胸腺および脾臓は低値であった.その他,300 mg/kg群の雄で精巣の絶対重量に有意な低値がみられたが,相対重量には変化がなく,また用量依存的な変化でもなかった.1000 mg/kg群の雄では肺および下垂体の絶対重量が有意な低値を示したが,相対重量にはいずれも有意差はみられず,脳および甲状腺の絶対重量には有意差はみられなかったが,相対重量がいずれも有意な高値を示した.これらは,同群の雄で剖検日体重が有意な低値を示したことに伴う変化であった.回復期間終了時には,雌雄の1000 mg/kg群で腎臓の相対重量の高値,雄で副腎の絶対重量および相対重量の高値が認められた.
9. 病理組織学検査(Table 9〜11)
1000 mg/kg群の死亡例では,雄1例で,前胃の粘膜および境界縁に扁平上皮過形成,肝臓に胆管増殖,腎臓に顆粒円柱,腎乳頭の好中球浸潤,尿細管上皮の再生,集合管上皮の再生が認められた.他の雄1例では,腎臓に顆粒円柱,腎乳頭の好中球浸潤,集合管上皮の再生が認められた.雌1例では,腎臓に顆粒円柱,脾臓に萎縮が認められた.1000 mg/kg群の切迫屠殺例の雄1例で,前胃の境界縁に扁平上皮過形成,腎臓に尿細管の拡張,顆粒円柱,腎乳頭に好中球浸潤,腎乳頭壊死,尿細管上皮の再生,集合管上皮の再生が認められ,腺胃の粘膜固有層に鉱質沈着,直腸の筋層に鉱質沈着,膵臓にチモーゲン顆粒の減少もみられた.
投与期間終了時の生存例では,雄の300 mg/kg群で,腎臓に尿細管上皮の再生がみられた.雌雄の1000 mg/kg群では,腎臓に尿細管の拡張,顆粒円柱,皮質にリンパ球浸潤,腎乳頭に好中球浸潤,尿細管上皮の再生,集合管上皮の再生が認められた.前胃の境界縁にびらんおよび扁平上皮過形成,その他の部位にも扁平上皮過形成が認められ,肝臓に胆管増殖が認められた.雌1例の膵臓にチモーゲン顆粒の減少および脾臓の萎縮がみられた.拡張のみられた盲腸には異常は認められなかった.
回復期間終了時では,雄の1000 mg/kg群で,腎臓に尿細管の拡張,雌雄の1000 mg/kg群で,顆粒円柱,皮質にリンパ球浸潤,尿細管上皮の再生,集合管上皮の再生が認められた.
考察
一般状態では,1000 mg/kg群にのみ,雌雄のほぼ全例で投与期間中に軟便が散見され,肛門周囲の被毛の汚れ,外尿道口周囲の被毛の汚れ等も散見された.この症状は投与量設定試験および急性経口投与毒性試験1)においても観察され,4-(1-メチル-1-フェニルエチル)フェノールの刺激性との関連が考えられたが,剖検時に300 mg/kg群の雌および1000 mg/kg群の雌雄の数例に盲腸の拡張が認められていることおよび4-(1-メチル-1-フェニルエチル)フェノールが殺菌剤として用いられる2)ことから抗生物質等の大量投与時に認められる軟便あるいは盲腸の拡張3, 4)と同様の変化と考えられた.回復期間中にも,回復1日に雌の1000 mg/kg群の2例で軟便がみられたが,同様の変化と考えられた.一方,投与26日に1000 mg/kg群の雄2例,雌1例の死亡がみられ,いずれも被毛の汚れ等に加えて顕著な体重減少を伴っていた.剖検の結果,雄1例で腎臓に白色斑がみられ,また投与28日に切迫屠殺した1000 mg/kg群の雄の1例でも腎臓に褪色ならびに腫大が認められた.これらの例の病理組織学検査において,顆粒円柱等の腎障害が認められたことから,死因は腎障害に伴う衰弱と考えられた.
1000 mg/kg群の雄で投与7日以降に体重増加抑制が摂餌量の低値を伴って認められた.一方,雌では雄ほど顕著ではなかった.
尿検査では,300 mg/kg群の雌および1000 mg/kg群の雌雄で尿量の高値がみられ,300 mg/kg以上の群で雌雄ともに飲水量の高値もみられた.300 mg/kg群の雌および1000 mg/kg群の雌雄では比重の低下および蛋白の減少あるいはpHの低下がみられていることから,飲水量の増加に伴って尿量も増加したものと考えられた.この飲水量および尿量の高値は,3-エチルフェノール等の28日間反復経口投与毒性試験5)の高用量群でも認められていることから,これらのフェノール類に共通の変化と考えられた.一方,300 mg/kg以上の群で沈渣中に大小不同の黒色物質が散見され,この物質の起源,出現機序等については明らかでなかったものの,4-(1-メチル-1-フェニルエチル)フェノール投与および腎障害に関連した変化と考えられ,1000 mg/kg群の雌でナトリウムの有意な低値がみられたのも,腎障害に関連した変化と考えられた.これらの変化は,いずれも回復2週には消失あるいは軽減していることから,可逆性の変化と考えられた.
血液学検査では,1000 mg/kg群にのみ,雌雄で血小板数の増加が認められたが,病理組織学検査において脾臓,骨髄等に変化は認められないことから産生性の変化とは考えられず,4-(1-メチル-1-フェニルエチル)フェノールの刺激等による炎症性の変化に伴う二次的なものと考えられた.しかし,増加程度は軽度であること,回復2週で認められないことから,その影響は軽度と考えられた.その他,1000 mg/kg群の雄にみられた白血球数の増加は前胃での炎症性変化等との関連が考えられたが,雌にはみられないことから,その変動機序は明らかでなかった.また,1000 mg/kg群の雌でみられた活性化部分トロンボプラスチン時間の延長については,肝障害に伴う可能性も考えられたが,プロトロンビン時間に変化がなく,出血性変化もないことから,4-(1-メチル-1-フェニルエチル)フェノール投与との関連は明らかでなかった.しかし,これらの変化はいずれも回復期間終了時には認められないことから,可逆性の変化と考えられた.
血液生化学検査では,投与期間終了時に1000 mg/kg群にのみ,雌雄ともにGPT,アルカリホスファターゼ,γ-GTPの高値がみられ,雄で総ビリルビン,総コレステロールの高値がみられたことから肝・胆道系の異常が考えられた.同群では雌雄とも肝臓の絶対重量および相対重量も高値を示し,病理組織学検査の結果,全例に胆管増殖が認められた.同群の雌雄でトリグリセリドの高値あるいは高値傾向,雄で総蛋白の高値,雌でA/G比の低下および蛋白分画に異常がみられ,前述の胆管増殖に伴う肝機能異常に関連した変化と考えられた.肝臓の絶対重量および相対重量の高値は300 mg/kg群の雄にもみられたが,病理組織学的な変化は認められなかった.これらの変化は,回復期間終了時には認められないかあるいは軽減していることから,いずれも可逆性の変化と考えられた.
一方,1000 mg/kg群にのみ,雌雄ともに無機リンの高値,尿素窒素およびクレアチニンの高値あるいは高値傾向,雄でカリウムおよびクロールの低値,カルシウムの高値が認められ,腎障害が示唆された.同群では雌雄とも腎臓の絶対重量および相対重量も高値を示し,病理組織学検査の結果,尿細管の拡張,顆粒円柱,尿細管上皮および集合管上皮の再生等がほぼ全例に認められた.尿細管上皮の再生については,他の群にも認められる変化ではあるが,300 mg/kg以上の群で例数の増加傾向が認められ,4-(1-メチル-1-フェニルエチル)フェノール投与の影響と考えられた.しかし,これらの変化も,回復期間終了時には軽減していることから,いずれも可逆性の変化と考えられた.
剖検では,1000 mg/kg群の雌雄で前胃粘膜の肥厚あるいは微細隆起部が認められ,病理組織学的に扁平上皮過形成が認められた.同様の変化は,死亡例にも認められ,回復期間終了時には認められなかったことから,4-(1-メチル-1-フェニルエチル)フェノールの直接的な刺激作用に起因する変化であり,可逆性の変化と考えられた.
器官重量では,1000 mg/kg群の雄で回復期間終了時に副腎の絶対重量および相対重量の高値が認められた.同群の雄では投与期間終了時にも用量依存的な増加傾向がみられており,切迫屠殺例の副腎も高値であったことから,4-(1-メチル-1-フェニルエチル)フェノール投与の影響と考えられた.この変化は病理組織学的な異常は認められていないものの,腎障害に対する反応性の変化である可能性が考えられた.切迫屠殺例では,肝臓,腎臓および副腎の絶対重量増加の他に,心臓,胸腺および脾臓の絶対重量低下がみられている.胸腺および脾臓の絶対重量低下は腎障害等に起因した衰弱による萎縮性の変化と考えられ,投与期間終了時に1000 mg/kg群の雌でみられている胸腺の絶対重量低下も同様の変化と考えられた.また,投与期間終了時に1000 mg/kg群の雄の心臓重量は低値を示し,切迫屠殺例の場合と一致したが,病理組織学的な変化を伴っていないことから,毒性学的意義については明らかでなかった.
病理組織学検査では,死亡例の雌1例に脾臓の萎縮が,切迫屠殺例の雄1例に膵臓のチモーゲン顆粒の減少がみられたが,これらはいずれも衰弱時にみられる変化であることから,4-(1-メチル-1-フェニルエチル)フェノールの直接の毒性ではないと判断した.これらと同様の変化が投与終了時解剖例の雌1例でもみられ,同例は体重増加率が低く,摂餌量も低値を示していることから,死亡例と同様の変化と考えられた.切迫屠殺例の雄1例の腺胃および直腸に鉱質沈着がみられたが,この変化は尿毒症時に鉱質沈着が起こることがある6)ことから,腎障害に伴った変化と考えられた.
以上,雌雄ともに,1000 mg/kg群では扁平上皮過形成がみられたことから前胃粘膜に対する粘膜刺激性が認められた。また,胆管増殖による肝障害,顆粒円柱等による腎障害も認められた.300 mg/kg群では,腎障害に関連すると考えられる飲水量の増加がみられ,雄で腎障害に関連すると考えられる尿細管上皮の再生例の増加および肝障害に関連すると考えられる肝臓の器官体重重量比の増加が認められた.これらのことから,本試験条件下における4-(1-メチル-1-フェニルエチル)フェノールの無影響量(NOEL)は雌雄とも100 mg/kg/dayと考えられた.
文献
1) | 須永昌男他,化学物質毒性試験報告,8, 717(2001). |
2) | 化学工業日報社編,“13398の化学商品,”化学工業日報社,東京,1998, p. 627. |
3) | 前川昭彦,林裕造編,“毒性試験講座5,毒性病理学,”地人書館,東京,1991, pp. 127-135. |
4) | 伊東信行編著,“最新毒性病理学,”中山書店,東京,1994, pp. 144-145. |
5) | 須永昌男他,化学物質毒性試験報告,8, 750(2001). |
6) | H. R. Brown and J. F. Hardisty, “Pathology of the Fischer Rat,” eds. by G. A. Boorman. et al., Academic Press, San Diego, 1990, pp. 15-17.
|
連絡先 |
| 試験責任者: | 須永昌男 |
| 試験担当者: | 咲間正志,木口雅夫,平田真理子,古川正敏 |
| (株)化合物安全性研究所 |
| 〒004-0839 札幌市清田区真栄363番24 |
| Tel 011-885-5031 | Fax 011-885-5313 | |
Correspondence |
| Authors: | Masao Sunaga(Study director)
Masashi Sakuma, Masao Kiguchi, Mariko Hirata, Masatoshi Furukawa |
| Safety Research Institute for Chemical Compounds Co., Ltd. |
| 363-24 Shin-ei, Kiyota-ku, Sapporo, Hokkaido, 004-0839, Japan |
| Tel +81-11-885-5031 | Fax +81-11-885-5313 | |