ベンジルトリメチルアンモニウムクロリドの
チャイニーズ・ハムスター培養細胞を用いる染色体異常試験
In Vitro Chromosomal Aberration Test of Benzyltrimethylammonium chloride
on Cultured Chinese Hamster Cells
要約
既存化学物質安全性点検作業の一環として,ベンジルトリメチルアンモニウムクロリドの変異原性について染色体異常誘発性の有無を検討するため,チャイニーズ・ハムスター肺線維芽細胞株(CHL)を用いるin vitro染色体異常試験を行った.細胞増殖抑制試験において細胞が死滅するほどの毒性が観察されなかったので,OECDのガイドラインに従って10 mM相当の濃度を最高用量とした.すなわち,連続処理法(24時間処理および48時間処理)ならびに短時間処理法(6時間処理の+S9 mixおよび-S9 mix)のいずれにおいても使用溶媒での10 mM相当を最高用量とした475, 950および1900 μg/mlの3用量(公比2)について染色体標本を作製した後,顕微鏡観察を実施した.短時間+S9 mix処理法の1900 μg/mlにおいて,僅かではあるが染色体構造異常の誘発傾向が観察された.同処理法において1000, 1300, 1600および1900 μg/mlの4用量を用いた確認試験を2回繰り返して実施した結果,構造異常誘発頻度は1回目で各用量群2.5〜3.5%であったが,2回目は4.0〜6.5%の細胞に構造異常の誘発が認められた.一方,連続処理法の陽性対照物質マイトマイシンC(MMC)および短時間+S9 mix処理の陽性対照物質シクロホスファミド(CP)は,いずれも染色体構造異常を高頻度に誘発した.従って,本試験条件下のin vitro試験系において,ベンジルトリメチルアンモニウムクロリドの染色体異常誘起性について疑陽性と判断した.
材料および方法
1. 試験細胞株
哺乳類培養細胞を用いる染色体異常試験に広く使用されていることから,試験細胞株としてチャイニーズ・ハムスターの肺由来の線維芽細胞株
(CHL)を選択した.昭和59年11月15日に国立衛生試験所から分与を受け,一部はジメチルスルホキシド(DMSO:MERCK社)を10%添加した後,液体窒素中に保存し,残りは3〜5日ごとに継代した.なお,本染色体異常試験では解凍後継代数9の細胞を,確認試験においては同8および45の細胞を用いた.
2. 培養液の調製
Eagle-MEM培地(LIFE TECHNOLOGIES社)を1000 mlの精製水で溶解した後,2.2 gの炭酸水素ナトリウム(関東化学(株))を加えた.1N塩酸を用いてpHを7.2に調整した後,メンブランフィルター(0.2 μm:Gelman Sciences社)を用いて加圧濾過除菌した.非働化(56℃,30分)済み仔牛血清(LIFE TECHNOLOGIES社)を最終濃度で10%になるよう加えた後,試験に使用した.
3. 培養条件
CO2インキュベーター(FORMA社あるいは三洋電機特機(株))を用い,CO2濃度5%,37℃の条件で細胞を培養した.
4. S9 mix
製造後
6ヵ月以内のキッコーマン(株)製S9 mixを試験に使用した.S9 mix中のS9は誘導剤としてフェノバルビタールおよび5,6-ベンゾフラボンを投与したSprague-Dawley系雄ラットの肝臓から調製されたものである.S9 mixの組成は松岡らの方法に従った1).
5. 被験物質
被験物質のベンジルトリメチルアンモニウムクロリド
(ロット番号:RSL9083,CAS No.:56-93-9)は分子式C10H16ClN,分子量185.70,純度99.0%以上の白色粉末である.和光純薬工業(株)から提供された被験物質を使用した.試験終了後,被験物質提供元において残余被験物質を分析した結果,安定性に問題はなかった.
6. 被験物質溶液の調製
生理食塩液
((株)大塚製薬工場)に被験物質を溶解して調製原液とした.調製原液を使用溶媒を用いて順次所定濃度に希釈した後,直ちに処理を行った(用時調製).
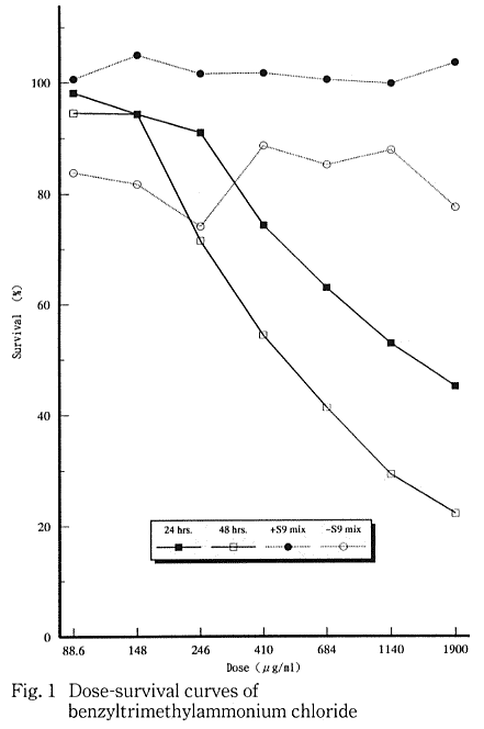
7. 予備試験(細胞増殖抑制試験)
細胞培養用マルチプレートに細胞を播種し,培養
3日後に被験物質溶液を処理した.連続処理法の場合,24あるいは48時間連続して処理を実施し,短時間処理法ではS9 mix存在下(+S9 mix)あるいは非存在下(-S9 mix)で6時間処理した後,新鮮な培養液に交換してさらに18時間培養を続けた.
細胞を
10%中性緩衝ホルマリン液(和光純薬工業(株))で固定した後,0.1%クリスタル・バイオレット(関東化学(株))水溶液で10分間染色した.色素溶出液(30%エタノール,1%酢酸水溶液)を適量加え,5分間程度放置して色素を溶出した後,580 nmでの吸光度を測定した.各用量群について溶媒対照群での吸光度に対する比,すなわち細胞生存率を算出した.
その結果,連続処理法においては細胞増殖抑制作用が観察されたが,短時間処理法では明確な同作用は認められなかった
(Fig. 1).プロビット法を用いて算出した50%細胞増殖抑制濃度は連続24時間処理で1311 mg/ml,同48時間処理で585 μg/mlと算出された.また,短時間処理では1900 μg/ml以上と考えられた.
8. 試験用量および試験群の設定
細胞増殖抑制試験結果を基に,染色体異常試験では連続処理法,短時間処理法とも
10 mM相当の1900 μg/mlを高用量とし,以下公比2で減じた950および475 μg/mlの計3用量ならびに溶媒対照群を設定した.
陽性対照として,連続処理法の場合,マイトマイシン
C(MMC:協和醗酵工業(株))を,24時間処理で0.05 μg/ml,48時間処理で0.025 μg/mlの用量で,短時間処理法の場合,シクロホスファミド(CP:塩野義製薬(株))を,12.5 μg/mlの用量で試験した.
また,確認試験においては
1000, 1300, 1600および1900 μg/mlの4用量(等差数列)を設定した.
9. 染色体標本の作製
直径
60 mmのプレートを用い,予備試験と同様に被験物質等の処理を行った.培養終了2時間前に,最終濃度で0.2 μg/mlとなるようコルセミド(LIFE TECHNOLOGIES社)を添加した.トリプシン処理で細胞を剥離させ,遠心分離により細胞を回収した.75 mM塩化カリウム水溶液で低張処理を行った後,固定液(メタノール3容:酢酸1容)で細胞を固定した.空気乾燥法で染色体標本を作製した後,1.2%ギムザ染色液で12分間染色した.
10. 染色体の観察
各プレートあたり
100個,すなわち用量当たり200個の分裂中期像を顕微鏡下で観察し,染色体の形態的変化としてギャップ(gap),染色分体切断(ctb),染色体切断(csb),染色分体交換(cte),染色体交換(cse)およびその他(oth)の構造異常に分類した.同時に,倍数性細胞の出現率を記録した.染色体の分析は日本環境変異原学会・哺乳動物試験分科会2)による分類法に従って実施した.
すべての標本をコード化した後,観察した.
11. 結果の解析
ギャップのみ保有する細胞を含めた場合
(+gap)と,含めない場合(-gap)とに区別して染色体構造異常の出現頻度を表示した.
各試験群の構造異常を有する細胞あるいは倍数性細胞の出現頻度を,石館ら
3)の基準に従って判定した.染色体異常を有する細胞の出現頻度が5%未満を陰性(-),5%以上10%未満を疑陽性(±),10%以上を陽性(+)とした.最終的には再現性あるいは用量に依存性が認められた場合に陽性と判定した.
なお,統計学的手法を用いた検定は実施しなかった.
結果および考察
連続処理群での試験結果を
Table 1に示した.ベンジルトリメチルアンモニウムクロリド処理群の場合,24時間ならびに48時間処理のいずれの用量においても染色体の構造異常および倍数性細胞の誘発傾向は観察されなかった.一方,陽性対照物質のMMCで処理した細胞では染色体の構造異常の顕著な誘発が認められた.短時間処理群での試験結果をTable 2に示した.被験物質処理群の場合,+S9 mix処理において高用量の1900 μg/mlにおいてのみ染色体の構造異常の出現頻度が5%を示し,疑陽性と判定された.再現性を調査するため確認試験を実施した結果,1回目の試験では染色体構造異常の誘発頻度が2.5〜3.5%であり疑陽性の判定基準である5%を超えることはなかった(Table 3).2回目の確認試験では被験物質処理群において僅かではあるが染色体の構造異常の増加傾向が観察された(Table 4).また,陽性対照物質のCPで処理した細胞ではS9 mix存在下でのみ染色体の構造異常の顕著な誘発が認められた.以上の試験結果から,本試験条件下においてベンジルトリメチルアンモニウムクロリドの哺乳類培養細胞に対する染色体異常誘発性に関し,疑陽性と判定した.
文献
| 1) | A. Matsuoka, M. Hayashi and M. Ishidate Jr., Mutat Res., 66, 277(1979). |
| 2) | 日本環境変異原学会・哺乳動物試験分科会編, "化学物質による染色体異常アトラス," 朝倉書店,東京,1988,pp. 31-35. |
| 3) | 石館基 監修,"<改訂>染色体異常試験データ集," エル・アイ・シー社,東京,1987,pp. 19-24. |
| 連絡先 |
| 試験責任者: | 中嶋 圓 |
| 試験担当者: | 北沢倫世,菊池正憲,板倉真由実 |
| (財)食品農医薬品安全性評価センター |
| 〒437-12 静岡県磐田郡福田町塩新田字荒浜582-2 |
| Tel 0538-58-1266 | Fax 0538-58-1393 | |
| Correspondence |
| Authors: | Madoka Nakajima(Study director) Michiyo Kitazawa, Masanori Kikuchi Mayumi Itakura |
| Biosafety Research Center, Foods, Drugs and Pesticides(An-pyo Center) |
| 582-2 Shioshinden Aza Arahama, Fukude-cho, Iwata-gun, Shizuoka, 437-12, Japan |
| Tel +81-538-58-1266 | Fax +81-538-58-1393 | |