1,2,3-¥È¥ê¥á¥Á¥ë¥Ù¥ó¥¼¥ó¤Î¥é¥Ã¥È¤òÍѤ¤¤ë28Æü´ÖÈ¿Éü·Ð¸ýÅêÍ¿ÆÇÀ­»î¸³

Twenty-eight-day Repeat Dose Oral Toxicity Test of

1,2,3-Trimethylbenzene in Rats

Í×Ìó

¥È¥ê¥á¥Á¥ë¥Ù¥ó¥¼¥ó (TMB)¤Ï¡¤¹©¶ÈÍѤ˻ÈÍѤµ¤ì¤ë¿¤¯¤ÎÍ­µ¡ÍÏÇޤμçÍפÊÉÔ½ãʪ¤Ç¤¢¤ê¡¤TMB¤Ï dimethyl benzoic acid¤ª¤è¤Ódimethyl hippuric acid¤ËÂå¼Õ¤µ¤ì¤ë1)¡¥¥È¥ê¥á¥Á¥ë¥Ù¥ó¥¼¥ó¤Ë¤Ï¡¤º£²ó»î¸³¤ò¼Â»Ü¤·¤¿ 1,2,3-¥È¥ê¥á¥Á¥ë¥Ù¥ó¥¼¥ó¤Î¾¡¤°ÛÀ­ÂΤȤ·¤Æ1,2,4-¤ª¤è¤Ó1,3,5-¥È¥ê¥á¥Á¥ë¥Ù¥ó¥¼¥ó¤¬¤¢¤ê¡¤¤³¤ì¤é3¼ïÎà¤Î°ÛÀ­ÂΤΤ¦¤Á¡¤1,2,4-¥È¥ê¥á¥Á¥ë¥Ù¥ó¥¼¥ó¤¬ºÇ¤âÂå¼Õ¤ª¤è¤ÓÇÓÝõ¤¬ÃÙ¤¯¡¤¤½¤Î¤¿¤áÆÇÀ­¤¬¶¯¤¤¤È¤¤¤ï¤ì¤Æ¤¤¤ë2)¡¥¤Þ¤¿¡¤ÆÇÀ­¤Ë´Ø¤·¤Æ¤ÏµÛÆþ»þ¤ÎÆÇÀ­¤Ë¤Ä¤¤¤Æ¡¤Ãæ¿õ¿À·ÐÍÞÀ©¡¤Ç´Ëì»É·ã¤ª¤è¤Ó¸ÆµÛ´ï¤ËÂФ¹¤ë¾ã³²Åù¤¬ÌÀ¤é¤«¤Ë¤Ê¤Ã¤Æ¤¤¤ë3)¡¥º£²ó¡¤´û¸²½³ØÊª¼Á¤Î°ÂÁ´ÅÀ¸¡¤Ë·¸¤ï¤ëÆÇÀ­Ä´ºº»ö¶È¤Î°ì´Ä¤È¤·¤Æ¡¤1,2,3-¥È¥ê¥á¥Á¥ë¥Ù¥ó¥¼¥ó¤ÎSD·Ï¥é¥Ã¥È¤òÍѤ¤¤ë¶¯À©·Ð¸ýÅêÍ¿¤Ë¤è¤ë28Æü´ÖÈ¿ÉüÅêÍ¿ÆÇÀ­»î¸³¤ò¼Â»Ü¤·¤¿¡¥

¥é¥Ã¥È¤Ï 1·²»óͺ³Æ5ɤ¤Ç4»î¸³·²¡¤Âоȷ²¤ª¤è¤Ó¹âÍÑÎÌ·²¤Ë¤Ï»óͺ³Æ5ɤ¤Î²óÉü·²¤òÀߤ±¡¤·×60ɤ¤ò»ÈÍѤ·¤¿¡¥

1,2,3-¥È¥ê¥á¥Á¥ë¥Ù¥ó¥¼¥ó¤Ï¡¤¥³¡¼¥óÌý¤ËÍϲò¤·¡¤0¡¤100¡¤300¤ª¤è¤Ó1000 mg/kg¤òËèÆü1²ó¡¤4½µ´ÖϢ³·Ð¸ýÅêÍ¿¤·¡¤°ìÈ̾õÂ֤δѻ¡¡¤ÂνŬÄꡤÀݱÂÎ̬Äꡤ·ì±Õ³Ø¸¡ºº¡¤·ì±Õ¶Å¸Ç¸¡ºº¡¤·ì±ÕÀ¸²½³Ø¸¡ºº¡¤Ç¢¸¡ºº¡¤´ï´±½ÅÎ̬Äꤪ¤è¤ÓÉÂÍý³Ø¸¡ºº¤ò¹Ô¤Ã¤¿¡¥¤Ê¤ª¡¤²óÉü´ü´Ö¤Ï2½µ´Ö¤È¤·¡¤ÅêÍ¿½ªÎ»»þ¤ÈƱÍͤʸ¡ºº¤ò¼Â»Ü¤·¤¿¡¥

¤½¤Î·ë²Ì¤Ï¡¤¼¡¤Î¤È¤ª¤ê¤Ç¤¢¤ë¡¥

°ìÈ̾õÂ֤δѻ¡¤Ç¤Ï¡¤»óͺ¤Î 1000 mg/kg·²¤ÇÁ´Îã¤Ëή޷¤¬Ç§¤á¤é¤ì¤¿¤¬¡¤²óÉü´ü´Ö¤Ç¤Ïȯ¸½¤¬¤Ê¤«¤Ã¤¿¡¥

ÂνŤϻó¤Î 1000 mg/kg·²¤ÇÁý²Ã¤¬ÍÞÀ©¤µ¤ì¡¤Íº¤ÎƱ·²¤ÇÁý²ÃÍÞÀ©·¹¸þ¤¬¤ß¤é¤ì¤¿¡¥ÀݱÂÎ̤ϡ¤»óͺ¤È¤â·²´Ö¤Çº¹¤¬Ç§¤á¤é¤ì¤º¡¤»ôÎÁ¸úΨ¤Ïͺ¤Î300 mg/kg¡¤»óͺ¤Î 1000 mg/kg·²¤ÇÄãÃͤǤ¢¤Ã¤¿¡¥

·ì±Õ³Ø¸¡ºº¤Ç¤Ï¡¤È︳ʪ¼ÁÅêÍ¿¤Î±Æ¶Á¤ò¼¨º¶¤¹¤ëÊѲ½¤Ïǧ¤á¤é¤ì¤Ê¤«¤Ã¤¿¤¬¡¤·ì±Õ¶Å¸Ç¸¡ºº¤Ç¤Ï¡¤³èÀ­²½Éôʬ¥È¥í¥ó¥Ü¥×¥é¥¹¥Á¥ó»þ´Ö (APTT)¤¬»óͺ¤ÎÈ︳ʪ¼ÁÅêÍ¿·²¤Ç±äĹ¤Þ¤¿¤Ï±äĹ·¹¸þ¤ò¼¨¤·¡¤¤µ¤é¤Ë¡¤¥×¥í¥È¥í¥ó¥Ó¥ó»þ´Ö(PT)¤¬Íº¤Î¤¹¤Ù¤Æ¤ÎÈ︳ʪ¼ÁÅêÍ¿·²¡¤»ó¤Î300 mg/kg·²¤Ç±äĹ¤Þ¤¿¤Ï±äĹ·¹¸þ¤ò¼¨¤·¡¤¥Õ¥£¥Ö¥ê¥Î¡¼¥²¥óÎ̤¬Íº¤Î1000 mg/kg·²¤Ç¹âÃͤò¼¨¤·¤¿¡¥²óÉü»î¸³¤Ç¤Ïͺ¤Î1000 mg/kg·²¤ÇAPTT¤Î¤ß±Æ¶Á¤¬·Ñ³¤·¤ÆÇ§¤á¤é¤ì¤¿¤¬¡¤¤½¤Î¾¤ÎÊѲ½¤Ë¤Ï²óÉü¤¬Ç§¤á¤é¤ì¤¿¡¥

·ì±ÕÀ¸²½³Ø¸¡ºº¤Î·ë²Ì¡¤»óͺ¤Î¤¹¤Ù¤Æ¤ÎÈ︳ʪ¼ÁÅêÍ¿·²¤Ç GOT¤ÎÄãÃÍ¡¤»ó¤Î¤³¤ì¤é¤Î·²¤ª¤è¤Óͺ¤Î1000 mg/kg·²¤Ç±öÁǤÎÄãÃÍ¡¤¤µ¤é¤Ë»óͺ¤Î1000 mg/kg·²¤ÇÁí¥³¥ì¥¹¥Æ¥í¡¼¥ë¤Î¹âÃÍ¡¤»ó¤Î1000 mg/kg·²¤ÇÁíÃÁÇò¤Î¹âÃͤ¬Ç§¤á¤é¤ì¤¿¡¥¤³¤ì¤é¤ÎÊѲ½¤Î¤¦¤Á¡¤»ó¤Î1000 mg/kg·²¤Çǧ¤á¤é¤ì¤¿ÁíÃÁÇò¤Î¹âÃͤϡ¤²óÉü½ªÎ»»þ¤Î¸¡ºº¤Ç¤â¶Ï¤«¤Ë¹âÃͤǤ¢¤Ã¤¿¡¥

Ç¢¸¡ºº¤Î·ë²Ì¡¤»óͺ¤Î 300¤ª¤è¤Ó1000 mg/kg·²¤Ç²«³ì¿§Ç¢¤¬Ç§¤á¤é¤ì¡¤²óÉü½ªÎ»»þ¤Î¸¡ºº¤Ç¤â¡¤»óͺ¤Î 1000 mg/kg·²¤Ç³Æ1Î㤺¤Äǧ¤á¤é¤ì¤¿¡¥

´ï´±½ÅÎ̬Äê¤Î·ë²Ì¡¤Íº¤Ç¤Ï 300¤ª¤è¤Ó1000 mg/kg·²¤Ç¿Õ¡¡¤¤µ¤é¤Ë1000 mg/kg·²¤Ç´Î¡¤Î¼Â½ÅÎ̤ª¤è¤ÓÁêÂнÅÎ̤ιâÃͤ¬Ç§¤á¤é¤ì¤¿¡¥°ìÊý¡¤»ó¤Ç¤Ï¡¤300¤ª¤è¤Ó1000 mg/kg·²¤Ç¶»Á£¤Î¼Â½ÅÎ̤ÎÄãÃÍ¡¤¤µ¤é¤Ë1000 mg/kg·²¤Ç´Î¡¤Î¼Â½ÅÎ̤ª¤è¤ÓÁêÂнÅÎ̤ιâÃÍ¡¤Ç¾¤Î¼Â½ÅÎ̤ÎÄãÃÍ¡¤ÁêÂнÅÎ̤ιâÃͤ¬Ç§¤á¤é¤ì¤¿¡¥²óÉü½ªÎ»»þ¤Î¬Äê¤Ç¤Ï¡¤¤³¤ì¤é¤ÎÊѲ½¤Î¤¦¤Á¡¤Íº¤Î1000 mg/kg·²¤Î¿Õ¡ÁêÂнÅÎ̤ιâÃÍ¡¤»ó¤ÎƱ·²¤Î¶»Á£¼Â½ÅÎ̤ÎÄãÃͤ¬²óÉü¤Ë¤Þ¤Ç»ê¤é¤Ê¤«¤Ã¤¿¡¥

ÉÂÍý³Ø¸¡ºº¤Î·ë²Ì¡¤È︳ʪ¼Á¤Î±Æ¶Á¤¬¼¨º¶¤µ¤ì¤ëÉÂÊѤȤ·¤ÆÆù´ã½ê¸«¤Ç¤ÏÅêÍ¿½ªÎ»»þ¤Ë¿Õ¡¤ÎÈîÂ礪¤è¤Óø¿§²½¤¬Íº¤Î 300¤ª¤è¤Ó1000 mg/kg·²¤Ë¡¤´Î¡¤ÎÈîÂ礬»ó¤Î1000 mg/kg·²¤Ë´Ñ»¡¤µ¤ì¤¿¡¥¤³¤Î¤¦¤Á¿Õ¡¤Îø¿§²½¤Ïͺ¤Î²óÉü»î¸³½ªÎ»»þ¤Ë¤â´Ñ»¡¤µ¤ì¤¿¡¥

ÁÈ¿¥½ê¸«¤Ç¤ÏÅêÍ¿½ªÎ»»þ¤Ë´ÎºÙ˦¼ðı¤¬»óͺ¤Î 1000 mg/kg·²¤Èͺ¤Î300 mg/kg·²¤Ë¡¤¿Õ¡¤Î¾Ë»ÒÅ©ÊÑÀ­¤¬Íº¤Î300¤ª¤è¤Ó1000 mg/kg·²¤Ë¡¤Àг¥ÄÀÃå¤Ê¤É¤ÎÊѲ½¤¬Íº¤Î1000 mg/kg·²¤Ë´Ñ»¡¤µ¤ì¤¿¡¥¿Õ¡¤Î¹¥»ÀÀ­¾®ÂΤÏͺ¤ÇÂоȷ²¤«¤é´Ñ»¡¤µ¤ì¤¿¤¬¡¤1000 mg/kg·²¤Ç½ê¸«¤ÎÄøÅÙ¤ÎÁý¶¯¤¬´Ñ»¡¤µ¤ì¤¿¤Û¤«¡¤ç£Â¡¤Îݵ·ì¤¬»ó¤Î1000 mg/kg·²¤Ç´Ñ»¡¤µ¤ì¤¿¡¥

²óÉü»î¸³½ªÎ»»þ¤Ë¤Ïç£Â¡¤Î¿§ÁÇÄÀÃ太¤è¤ÓÀÖ·ìµå·Ï¤·ìж¿Ê¤¬»óͺ¤Î 1000 mg/kg·²¤Ë´Ñ»¡¤µ¤ì¤¿¡¥

°Ê¾å¤Î¤³¤È¤«¤é¡¤Ìµ±Æ¶ÁÎ̤ϻóͺ¤È¤â 100 mg/kg/day̤Ëþ¤ÈȽÃǤµ¤ì¡¤ÄãÍÑÎ̤ˤè¤ëÄɲû¤ò¼Â»Ü¤¹¤ë¤³¤È¤È¤·¤¿¡¥

ºàÎÁ¤ª¤è¤ÓÊýË¡

1.¡¡È︳ʪ¼Á

1,2,3-¥È¥ê¥á¥Á¥ë¥Ù¥ó¥¼¥ó(CAS No.526-73-8¡¤Åìµþ²½À®¹©¶È(³ô)Äó¶¡)¤Ï̵¿§Æ©ÌÀ¤Î±ÕÂΤǡ¤Èó¿åÍÏÀ­¡¤Ê¬»Ò¼°C9H12¡¤Ê¬»ÒÎÌ120.20¤Î²½¹çʪ¤Ç¤¢¤ë¡¥Ëܻ¤ËÍѤ¤¤¿¥í¥Ã¥ÈFJA01¤Î½ãÅÙ¤Ï99.8¡ó¤Ç¤¢¤Ã¤¿¡¥

2.¡¡¶¡»îưʪ

¶¡»î¤·¤¿¥é¥Ã¥È [Crj:CD(SD)·Ï¡¤SPF]¤ÏÆüËÜ¥Á¥ã¡¼¥ë¥¹¡¦¥ê¥Ð¡¼(³ô)(¿ÀÆàÀ)¤«¤é4½µÎð¤Ç¹ØÆþ¤·¤¿¡¥Æ°Êª¤ò¸¡¼ý¸å¡¤»î¸³´Ä¶­¤Ë9Æü´ÖÆë²½¤µ¤»¤¿¸å¡¤6½µÎð¤ÇÅêÍ¿¤ò³«»Ï¤·¤¿¡¥Æ°Êª¤Ï¤¢¤é¤«¤¸¤áÂνŤˤè¤Ã¤ÆÁØÊ̲½¤·¡¤Ìµºî°ÙÃê½ÐË¡¤Ë¤è¤ê³Æ»î¸³·²¤ò¹½À®¤¹¤ë¤è¤¦¤Ë·²Ê¬¤±¤·¤¿¡¥Æ°Êª¤Î¼±Ê̤ϡ¤¸ÄÊÌ»ô°é¥±¡¼¥¸¤Ëưʪɸ¼±ÈÖ¹æ(Animal ID-No.)¤òÉÕ¤¹¤³¤È¤Ë¤è¤ê¹Ô¤Ã¤¿¡¥ÅêÍ¿³«»Ï»þ¤ÎÂνŤÏͺ¤Ç131¡Á146 g¡¤»ó¤Ç106¡Á123 g¤Ç¤¢¤Ã¤¿¡¥

3.¡¡»ô°é¾ò·ï

ưʪ¤Ï¥Ð¥ê¥¢¥·¥¹¥Æ¥à¤Î»ô°é¼¼¤Ç»ô°é¤·¡¤´Ä¶­Ä´Àá¤ÎÌÜɸÃͤϲ¹ÅÙ 23¡Þ2¡î¡¤ÁêÂм¾ÅÙ55¡Þ10¡ó¡¤´¹µ¤²ó¿ô20²ó¡¿»þ¡¤¾ÈÌÀ150¡Á300 lux¡¤12»þ´Ö(¸áÁ°7»þÅÀÅô¡¤¸á¸å7»þ¾ÃÅô)¤È¤·¤¿¡¥(³ô)Åìµþµ»¸¦¥µ¡¼¥Ó¥¹¤Î¿åÀö¼°»ô°éµ¡¤ò»ÈÍѤ·¡¤¶â°À½Á°ÌÌ¡¦¾²ÌÖÌÜ»ô°é¥±¡¼¥¸¤Ëưʪ¤ò1ɤ¤º¤Ä¼ýÍÆ¤·¡¤¥ª¥ê¥¨¥ó¥¿¥ë¹ÚÊ칩¶È(³ô)À½Â¤¤ÎÊü¼ÍÀþÌǶݲþÎÉNIH¸ø³«¥é¥Ã¥È¡¦¥Þ¥¦¥¹»ôÎÁ¤ª¤è¤Ó¿åÆ»¿å¤ò¼«Í³¤ËÀݼ褵¤»¤¿¡¥»ô°é¥±¡¼¥¸¤Ï³Ö½µ1²ó¡¤µë±Â´ï¤Ï½µ1²ó¼è¤ê´¹¤¨¤¿¡¥

¤Ê¤ª¡¤Æ°Êª¤ÎÆë²½´ü´Ö¤ò´Þ¤á¡¤ÅêÍ¿¤ª¤è¤Ó²óÉü´ü´ÖÃæ¡¤¥Ç¡¼¥¿¤Î¿®ÍêÀ­¤Ë±Æ¶Á¤òµÚ¤Ü¤·¤¿¤È»×¤ï¤ì¤ë´Ä¶­Í×°ø¤ÎÊѲ½¤Ï¤Ê¤«¤Ã¤¿¡¥

4.¡¡»î¸³·²¤Î¹½À®

»î¸³·²¤Ï 0¡¤100¡¤300¤ª¤è¤Ó1000 mg/kg¤Î4·²¤È¤·¡¤1·²»óͺ³Æ5ɤ¤òÍѤ¤¡¤0¤ª¤è¤Ó250 mg/kg·²¤Ë»óͺ³Æ5ɤ¤Î²óÉü·²¤òÀߤ±¡¤·×60ɤ¤ò»ÈÍѤ·¤¿¡¥

¡ÌÍÑÎÌÀßÄêÍýͳ¡Í

ÅêÍ¿ÎÌÀßÄê¤Î¤¿¤á¤Î 2½µ´ÖÅêÍ¿»î¸³¤ò0¡¤100¡¤300¤ª¤è¤Ó1000 mg/kg¤Î4ÍÑÎ̤Ǽ»ܤ·¤¿¡¥¤½¤Î·ë²Ì¡¤»óͺ¤Î1000 mg/kg·²¤Ç¤Ï¡¤ÂνŤª¤è¤ÓÀݱÂÎ̤ÎÄãÃÍ·¹¸þ¡¤´Î¡¤Î¼Â½ÅÎ̤ª¤è¤ÓÁêÂнÅÎ̤ιâÃͤ¬Ç§¤á¤é¤ì¡¤¤µ¤é¤Ë»ó¤ÎƱ·²¤Çή޷¤¬Ç§¤á¤é¤ì¤¿¡¥¤Þ¤¿·ì±ÕÀ¸²½³Ø¸¡ºº¤Ç¤Ï¡¤Íº¤Î1000 mg/kg·²¡¤»ó¤Î300¤ª¤è¤Ó1000 mg/kg·²¤ÇÈ︳ʪ¼ÁÅêÍ¿¤Ë¤è¤ë¤È¹Í¤¨¤é¤ì¤ë·ÚÈù¤ÊÊѲ½¤¬Ç§¤á¤é¤ì¤¿¡¥

½¾¤Ã¤Æ¡¤ 28Æü´ÖÈ¿ÉüÅêÍ¿ÆÇÀ­»î¸³¤ÎÍÑÎ̤ÏͽÈ÷»î¸³¤ÈƱÍͤÎ0¡¤100¡¤300 ¤ª¤è¤Ó1000 mg/kg¤ËÀßÄꤷ¤¿¡¥

5.¡¡ÅêÍ¿ÊýË¡

È︳ʪ¼Á¤ÎÅêÍ¿·ÐÏ©¤Ï·Ð¸ý¤È¤·¤¿¡¥È︳ʪ¼Á¤Ï¥³¡¼¥óÌý¤ËÍϲò¤·¡¤°ß¥¾¥ó¥Ç¤òÍѤ¤¤Æ·Ð¸ýÅêÍ¿¤·¤¿¡¥ÅêÍ¿ÍÆÎ̤ÏÂνŠ100 gÅö¤ê0.5 ml¤È¤·¤¿¡¥Âоȷ²¤Ë¤ÏÍÏÇޤΤßÅêÍ¿¤·¤¿¡¥

6.¡¡ÅêÍ¿±Õ¤ÎÄ´À½¡¤Ê¬ÀÏ

È︳ʪ¼Á¤Ï¡¤³ÆÍÑÎÌ (100¡¤300¤ª¤è¤Ó1000 mg/kg)¤´¤È¤Ë½êÄêÎ̤òÀºÇ餷¡¤¥³¡¼¥óÌý(¥Ê¥«¥é¥¤¥Æ¥¹¥¯(³ô))¤ËÍϲò¤·¤¿¡¥ÅêÍ¿±Õ¤ÏÄ´À½¸å¡¤Î䢸ËÊݸ¤Ç1½µ´Ö°ÂÄê¤Ç¤¢¤ë¤³¤È¤¬³Îǧ¤µ¤ì¤Æ¤¤¤ë¤Î¤Ç¡¤Ëܻ¤Ë¤ª¤¤¤Æ¤ÏËè½µ1²óÄ´À½¤ò¹Ô¤¤¡¤1ÆüʬËè¤Ë¾®Ê¬¤±¤ò¤·»ÈÍÑ»þ¤Þ¤ÇÎ䢸ˤËÊݴɤ·¤¿¡¥ÅêÍ¿±Õ¤ÎÇ»ÅÙʬÀϤò¤¹¤Ù¤Æ¤Î·²¤Ë´Ø¤·ÅêÍ¿1¤ª¤è¤Ó4½µ¤ÎÄ´À½±Õ¤Ë¤Ä¤¤¤Æ¼Â»Ü¤·¤¿·ë²Ì¡¤ÀßÄêÇ»ÅÙ¤Î98.5¡Á106¡ó¤ÎÈϰϤǤ¢¤ê¡¤Å¬ÀÚ¤ËÄ´À½¤µ¤ì¤Æ¤¤¤¿¡¥

7.¡¡ÅêÍ¿´ü´Ö

ÅêÍ¿´ü´Ö¤Ï 28Æü´Ö¤È¤·¡¤ÅêÍ¿½ªÎ»¸å0¤ª¤è¤Ó1000 mg/kg·²¤Ë¤Ä¤¤¤Æ2½µ´Ö¤Î²óÉü»î¸³¤ò¼Â»Ü¤·¤¿¡¥

8.¡¡´Ñ»¡¡¤Â¬Äꤪ¤è¤Ó¸¡ºº

1)¡¡°ìÈ̾õÂ֤δѻ¡

Á´Æ°Êª¤òËèÆü¸áÁ°¡¤¸á¸å¤Î 2²ó´Ñ»¡¤·¡¤ÃæÆÇ¾É¾õ¤Î̵ͭ¡¤¹Ôư°Û¾ï¡¤»à´ü¤ÎÇ÷¤Ã¤¿Æ°Êª¤ª¤è¤Ó»à˴ưʪ¤Î̵ͭÅù¤òµ­Ï¿¤·¤¿¡¥

2)¡¡ÂΡ¡¡¡½Å

ÅêÍ¿³«»Ï¤«¤é²óÉü»î¸³½ªÎ»»þ¤Þ¤Ç¡¤Ëè½µ 1²ó¬Äꤷ¤¿¡¥

3)¡¡ÀݱÂÎÌ

Ëè½µ 1²óµë±Â¤·¤¿»ÄÎ̤ò¬Äꤷ¡¤»ôÎÁÀݼèÎÌ(g/week)¤ò»»½Ð¤·¤¿¡¥

4)¡¡Î×¾²¸¡ºº

ÅêÍ¿½ªÎ»»þ¤ª¤è¤Ó²óÉü´ü´Ö½ªÎ»»þ¤Î·× 2²ó¼Â»Ü¤·¤¿¡¥ºÎ·ì¤¹¤ë¤ËÅö¤ê¡¤Æ°Êª¤ÏÌó16»þ´ÖÀä¿©¤µ¤»¤¿¡¥Æ°Êª¤ò¥¨¡¼¥Æ¥ë¤ÇËã¿ì¸å³«Ê¢¤·¡¤Ê¢ÉôÂçÆ°Ì®¤«¤éºÎ·ì¤·¤¿¡¥

a.¡¡·ì±Õ³Ø¸¡ºº

EDTA-3K¤òź²Ã¤·¤¿½é·ì¤òÍѤ¤¡¤Çò·ìµå¿ô(WBC¡§°Å»ëÌîÈÄË¡)¡¤ÀÖ·ìµå¿ô(RBC¡§°Å»ëÌîÈÄË¡)¡¤¥Ø¥â¥°¥í¥Ó¥óÎÌ(HGB¡§¥·¥¢¥ó¥á¥È¥Ø¥â¥°¥í¥Ó¥óË¡)¡¤¥Ø¥Þ¥È¥¯¥ê¥Ã¥ÈÃÍ(HCT¡§RBC, MCV¤è¤ê»»½Ð)¡¤Ê¿¶ÑÀÖ·ìµåÍÆÀÑ(MCV¡§°Å»ëÌîÈÄË¡)¡¤Ê¿¶ÑÀÖ·ìµå·ì¿§ÁÇÎÌ(MCH¡§HGB, RBC¤è¤ê»»½Ð)¡¤Ê¿¶ÑÀÖ·ìµå·ì¿§ÁÇÇ»ÅÙ(MCHC¡§HGB, HCT¤è¤ê»»½Ð)¡¤·ì¾®ÈÄ¿ô(PLT¡§°Å»ëÌîÈÄË¡)¤ª¤è¤ÓÇò·ìµåɴʬΨ(¥Õ¥í¡¼¥µ¥¤¥È¥±¥ß¥¹¥È¥ê¡¼Ë¡)¤ò·ì±Õ¼«Æ°Ê¬ÀÏÁõÃÖTHMS H¡¦1E(ÊÆ¹ñ¥Þ¥¤¥ë¥¹¼Ò)¤òÍѤ¤¤ÆÂ¬Äꤷ¤¿¡¥

ÌÖÀÖ·ìµå (RC)Ψ»»ÄêÍѤˡ¤·ì±ÕÅÉËõɸËܤòºîÀ½¤·¥á¥¤¡¦¥°¥ê¥å¥ó¥ï¥ë¥É¡¦¥®¥à¥¶¤ÇÀ÷¿§¸å¡¤¶À¸¡¤·¤¿¡¥

¤Þ¤¿¡¤¥¯¥¨¥ó»À¥½¡¼¥Àź²Ã·ì±Õ¤Î·ìÞù¤Ë¤Ä¤¤¤Æ¡¤¥×¥í¥È¥í¥ó¥Ó¥ó»þ´Ö (Quick 1ÃÊË¡)¡¤³èÀ­²½Éôʬ¥È¥í¥ó¥Ü¥×¥é¥¹¥Á¥ó»þ´Ö(¥¯¥í¥Ã¥ÈË¡)¤ª¤è¤Ó¥Õ¥£¥Ö¥ê¥Î¡¼¥²¥óÎÌ(¥È¥í¥ó¥Ó¥ó»þ´ÖË¡)¤ò·ì±Õ¶Å¸Ç¼«Æ°Â¬ÄêÁõÃÖKC-40(ÆÈ¹ñ Amelung¼Ò)¤òÍѤ¤¤ÆÂ¬Äꤷ¤¿¡¥

b.¡¡·ì±ÕÀ¸²½³Ø¸¡ºº

·ìÀ¶¤òÍѤ¤¤Æ¡¤ÁíÃÁÇò (¥Ó¥å¡¼¥ì¥Ã¥ÈË¡)¡¤¥¢¥ë¥Ö¥ß¥ó(B.C.G.Ë¡)¡¤A/GÈæ(·×»»ÃÍ)¡¤·ìÅü(¥°¥ë¥³¡¼¥¹¥ª¥­¥·¥À¡¼¥¼Ë¡)¡¤ÃæÀ­»éËÃ(¹ÚÁÇË¡)¡¤Áí¥³¥ì¥¹¥Æ¥í¡¼¥ë(¹ÚÁÇË¡)¡¤Ç¢ÁÇÃâÁÇ(BUN¡§¥¦¥ì¥¢¡¼¥¼¥¢¥ó¥â¥Ë¥¢Ë¡)¡¤Áí¥Ó¥ê¥ë¥Ó¥ó(¥¸¥¢¥¾¿§ÁÇË¡)¡¤¥«¥ë¥·¥¦¥à(¥¢¥ë¥»¥Ê¥¾­·¿§ÁÇË¡)¡¤Ìµµ¡¥ê¥ó(¥â¥ê¥Ö¥Ç¥ó»À¥Ö¥ë¡¼Ë¡)¡¤¥Ê¥È¥ê¥¦¥à(ÅŶËË¡)¡¤¥«¥ê¥¦¥à(ÅŶËË¡)¤ª¤è¤Ó±öÁÇ(ÅŶËË¡)¤òEKTACHEM 700N(ÊÆ¹ñ¥³¥À¥Ã¥¯¼Ò)¤Ç¡¤¥¯¥ì¥¢¥Á¥Ë¥ó(JaffË¡)¡¤¥°¥ë¥¿¥ß¥ó»À¥ª¥­¥¶¥í¿Ý»À¥È¥é¥ó¥¹¥¢¥ß¥Ê¡¼¥¼(GOT¡§IFCCË¡)¡¤¥°¥ë¥¿¥ß¥ó»À¥Ô¥ë¥Ó¥ó»À¥È¥é¥ó¥¹¥¢¥ß¥Ê¡¼¥¼(GPT:IFCCË¡)¡¤¦Ã-¥°¥ë¥¿¥ß¥ë¥È¥é¥ó¥¹¥Ú¥×¥Á¥À¡¼¥¼(¦Ã-GTP:Szasz²þË¡)¤ª¤è¤Ó¥¢¥ë¥«¥ê¥Û¥¹¥Õ¥¡¥¿¡¼¥¼(ALP:Bessey-Lowry-Brock²þÎÉË¡)¤òCentrifiChem ENCORE­¶(ÊÆ¹ñ¥Ù¡¼¥«¡¼¼Ò)¤Ç¬Äꤷ¤¿¡¥

c.¡¡Ç¢¸¡ºº

·ì±Õ³Ø¸¡ºº¤ËÀèΩ¤Á¡¤ºÎÇ¢´ï¤òÍѤ¤¤Æ 24»þ´Ö(¸áÁ°10»þ¤«¤éÍâÆü¸áÁ°10»þ¤Þ¤Ç)Ç¢¤òºÎ¼è¤·¡¤Ç¢ÎÌ¡¤¿§Ä´¤ª¤è¤ÓÂùÅÙ¤ò¸¡ºº¸å¡¤Ç¢Èæ½Å·×UR-S((³ô)¥¢¥¿¥´)¤òÍѤ¤¤ÆÇ¢Èæ½Å¤ò¬Äꤷ¤¿¡¥¤Þ¤¿¡¤Ç¢¤ò±ó¿´Ê¬Î¥¸åSternheimerÊÑË¡¤Ë¤è¤êÄÀÞÖ¤òÀ÷¿§¤·¡¤¶À¸¡¤·¤¿¡¥pH¡¤Àø·ì¡¤¥±¥È¥óÂΡ¤Åü¡¤ÃÁÇò¡¤¥Ó¥ê¥ë¥Ó¥ó¤ª¤è¤Ó¥¦¥í¥Ó¥ê¥Î¡¼¥²¥ó¤Ë¤Ä¤¤¤Æ¡¤N-¥Þ¥ë¥Æ¥£¥¹¥Æ¥£¥Ã¥¯¥¹SG»î¸³»æ(¥Þ¥¤¥ë¥¹¡¦»°¶¦(³ô))¤ª¤è¤ÓCLINITEK 200(ÊÆ¹ñ¥Þ¥¤¥ë¥¹¼Ò)¤òÍѤ¤¤ÆÂ¬Äꤷ¤¿¡¥

5)¡¡ÉÂÍý³Ø¸¡ºº

ÉÂÍý²ò˶¤ÏÅêÍ¿½ªÎ»»þ¤ª¤è¤Ó²óÉü´ü´Ö½ªÎ»»þ¤Ëưʪ¤ò¥¨¡¼¥Æ¥ëËã¿ì¤·¡¤Êü·ìÃ׻व¤»¼Â»Ü¤·¤¿¡¥Æù´ãŪ°Û¾ï¤òÉÂÍý²ò˶½ê¸«µ­Ï¿¥·¡¼¥È¤Ëµ­Ï¿¤·¤¿¡¥¤Þ¤¿¡¤Ç¾¡¤´Î¡¡¤¿Õ¡¡¤ç£Â¡¡¤Éû¿Õ¡¤ÀºÁ㡤ÍñÁ㤪¤è¤Ó¶»Á£¤Ë¤Ä¤¤¤Æ½ÅÎ̤ò¬Äꤷ¡¤´ï´±½ÅÎÌ¡¦ÂνÅÈæ¤ò»»½Ð¤·¤¿¡¥¾åµ­½ÅÎ̬Äê´ï´±¤È²¼¿âÂΡ¤´ãµå¡¤¹Ã¾õÁ£ (¾åÈé¾®ÂΤò´Þ¤à)¡¤¿´Â¡¡¤ÇÙ¡¤°ß¡¤ç¯æù¡¤¹ü¿ñ(ÂçÂܹü)¤ª¤è¤Ó°ìÈ̾õÂ֤δѻ¡¤Çή޷¤¬´Ñ»¡¤µ¤ì¤¿¤¿¤áÂñÕÁ£¤Ë¤Ä¤¤¤Æ10¡óÃæÀ­´Ë¾×¥Û¥ë¥Þ¥ê¥ó±Õ¤Ç¸ÇÄꤷ¤¿¡¥

ÉÂÍýÁÈ¿¥³Ø¸¡ºº¤Ï¸ÇÄꤷ¤¿´ï´±¡¦ÁÈ¿¥¤Î¤¦¤Á¡¤´Î¡¡¤ç£Â¡¤ª¤è¤Ó¿Õ¡¤Ï¤¹¤Ù¤Æ¤Î·²¤Ë¤Ä¤¤¤Æ¡¤¿´Â¡¡¤Éû¿Õ¡¤¹ü¿ñ (ÂçÂܹü)¤ª¤è¤ÓÂñÕÁ£¤Ë¤Ä¤¤¤Æ¤ÏÂоȷ²¤È¹âÍÑÎÌ·²¤Ë¤Ä¤¤¤Æ¹Ô¤Ã¤¿¡¥¾ïË¡¤Ë½¾¤Ã¤ÆÇöÀÚɸËܤòºîÀ½¤·¡¤¥Ø¥Þ¥È¥­¥·¥ê¥ó¡¦¥¨¥ª¥¸¥óÀ÷¿§¤·¶À¸¡¤·¤¿¡¥

6)¡¡¥Ç¡¼¥¿¤Îµ­Ï¿¤ª¤è¤ÓÅý·×ʬÀÏ

³Æ»î¸³·²¤ÎÂνš¤ÀݱÂÎÌ¡¤·ì±Õ³Ø¸¡ººÃÍ¡¤·ì±ÕÀ¸²½³Ø¸¡ººÃÍ¡¤Ç¢¸¡ººÃÍ (Ç¢Î̤ª¤è¤ÓÇ¢Èæ½Å¤Î¤ß)¡¤´ï´±½ÅÎ̤ª¤è¤Ó´ï´±½ÅÎÌ¡¦ÂνÅÈæ¤Ï¡¤²¼µ­¤Ë¼¨¤·¤¿¼«Æ°È½ÊÌÊý¼°¤Ë½¾¤¤¡¤ºÇ½é¤ËBartlett¤ÎÅùʬ»¶¸¡Äê¤ò¼Â»Ü¤·¤¿¡¥Åùʬ»¶¤Î¾ì¹ç¤Ï°ì¸µÇÛÃÖ¤Îʬ»¶Ê¬ÀϤò¹Ô¤¤¡¤Ê¬»¶¤¬Í­°Õ¤Ç³Æ·²¤ÎɸËÜ¿ô¤¬Æ±¿ô¤Î¾ì¹ç¤ÏDunnett¤Î¿½ÅÈæ³Ó¸¡Äꡤ³Æ·²¤ÎɸËÜ¿ô¤¬°Û¤Ê¤ë¾ì¹ç¤ÏDuncan¤Î¿½ÅÈϰϸ¡Äê¤ÇÂоȷ²¤È³ÆÅêÌô·²´Ö¤ÎÍ­°Õº¹¤ò¸¡Äꤷ¤¿¡¥Bartlett¤ÎÅùʬ»¶¸¡Äê¤ÇÉÔÅùʬ»¶¤Î¾ì¹ç¤ÏKruskal-Wallis¤Î½ç°Ì¸¡Äê¤ò¼Â»Ü¤·¡¤Í­°Õ¤Î¾ì¹ç¤Ï¥Î¥ó¥Ñ¥é¥á¥È¥ê¥Ã¥¯¤ÎDunnett¤Î¿½ÅÈæ³Ó¸¡Äê¤ÇÂоȷ²¤È³ÆÅê·²´Ö¤ÎÍ­°Õº¹¤ò¸¡Äꤷ¤¿¡¥¤Þ¤¿¡¤ÉÂÍý³Ø¸¡ºº·ë²Ì¤Ë¤Ä¤¤¤Æ¤ÏFisher¤ÎľÀܳÎΨ¸¡Äê¤ò¼Â»Ü¤·¤¿¡¥¤Ê¤ª¡¤ÍÑÎÌÁê´ØÀ­¤Ë¤Ä¤¤¤Æ¤Ï¡¤Jonckheere¤Î·¹¸þ¸¡Äê¤òÍѤ¤¤ÆÍ­°Õº¹¤ò¸¡Äꤷ¤¿¡¥

Í­°Õ¿å½à¤Ï 5¤ª¤è¤Ó1¡ó¤ÎÊÒ¦¸¡Äê¤Ç¼Â»Ü¤·¤¿¡¥

»î¸³·ë²Ì

1.¡¡»à˴Ψ

ÅêÍ¿´ü´ÖÃæ¤ª¤è¤Ó²óÉü´ü´ÖÃæ¡¤»óͺ¤È¤â¤¤¤º¤ì¤Î·²¤Ë¤â»àË´Îã¤Ïǧ¤á¤é¤ì¤Ê¤«¤Ã¤¿¡¥

2.¡¡°ìÈ̾õÂ֤δѻ¡

»óͺ¤È¤â 1000 mg/kg·²¤Ç¡¤ÅêÍ¿2½µ¤«¤éή޷¤ò¼¨¤¹Æ°Êª¤¬Ç§¤á¤é¤ì¡¤Íº¤Ç¤ÏÅêÍ¿2½µ¤Ë1Î㡤ÅêÍ¿3½µ¤Ë2Î㡤ÅêÍ¿4½µ¤Ë¤ÏÁ´Îã¤Ë¡¤»ó¤Ç¤Ï¡¤ÅêÍ¿2½µ¤Ë1Î㡤ÅêÍ¿3½µ¤ËÁ´Îã¤Ë´Ñ»¡¤µ¤ì¤¿¡¥Î®Þ·¤Ï²¼³Ü¤¬Ç¨¤ì¤ëÄøÅ٤Ǥ¢¤Ã¤¿¤¬¡¤¤¤¤º¤ì¤âÅêÍ¿2»þ´Ö¸å¤Ë¤Ï¾Ã¼º¤·¡¤ÍâÆü¤Þ¤¿È¯¸½¤·¤¿¡¥¤½¤Î¾¡¤»óͺ¤È¤â°Û¾ï¤Ïǧ¤á¤é¤ì¤Ê¤«¤Ã¤¿¡¥²óÉü´ü´Ö¤Ç¤Ï¡¤»óͺ¤Î1000 mg/kg·²¤Ç¡¤Î®Þ·¤Ï´Ñ»¡¤µ¤ì¤Ê¤«¤Ã¤¿¡¥

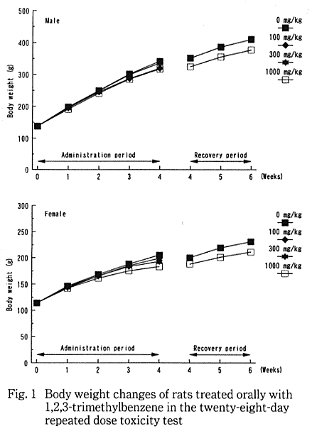
3.¡¡ÂΡ¡¡¡½Å(Figure 1)

ͺ¤Ç¤Ï¡¤ÅêÍ¿´ü´Ö¤ª¤è¤Ó²óÉü´ü´Ö¤òÄ̤¸¤Æ¡¤Âоȷ²¤ÈÈ︳ʪ¼ÁÅêÍ¿·²¤È¤ÇÍ­°Õº¹¤¬Ç§¤á¤é¤ì¤Ê¤«¤Ã¤¿¤¬¡¤ 1000 mg/kg·²¤Ï¶Ï¤«¤Ê¤¬¤éÄãÃÍ·¹¸þ¤Ë¤¢¤Ã¤¿¡¥»ó¤Ç¤Ï¡¤Âоȷ²¤ËÈæ³Ó¤·¤Æ1000 mg/kg·²¤ÇÅêÍ¿4½µ¤ËÄãÃͤ¬Ç§¤á¤é¤ì¡¤0¡Á4½µ¤ÎÂνÅÁý²ÃÎ̤âÄãÃͤǤ¢¤Ã¤¿¡¥²óÉü´ü´Ö¤Ç¤Ï¡¤Âоȷ²¤È1000 mg/kg·²¤È¤Çº¹¤¬Ç§¤á¤é¤ì¤Ê¤«¤Ã¤¿¡¥

4.¡¡ÀÝ ±Â ÎÌ

»óͺ¤È¤â¡¤ÅêÍ¿´ü´Ö¤ª¤è¤Ó²óÉü´ü´Ö¤òÄ̤¸¤Æ·²´Ö¤Çº¹¤¬Ç§¤á¤é¤ì¤Ê¤«¤Ã¤¿¡¥

5.¡¡·ì±Õ³Ø¸¡ºº(Table 1)

¡ÌÅêÍ¿½ªÎ»»þ¤Î¸¡ºº·ë²Ì¡Í

ͺ¤Ç¤Ï¡¤Âоȷ²¤ËÈæ³Ó¤·¤Æ 100¤ª¤è¤Ó300 mg/kg·²¤ÇÇò·ìµå¿ô¤ÎÄãÃͤ¬Ç§¤á¤é¤ì¤¿¤¬¡¤Âоȷ²¤¬¹âÃÍ·¹¸þ¤Ë¤¢¤ê¡¤¤³¤ì¤é¤Î·²¤ÎÃͤËÌäÂê¤Ï¤Ê¤«¤Ã¤¿(ÇØ·ÊÃÍ¡¡11.8¡Þ3.5¡ß10^3/mm^3¡¤n=80)¡¥

»ó¤Ç¤Ï¡¤Âоȷ²¤ËÈæ³Ó¤·¤Æ 100 mg/kg·²¤ÇÇò·ìµå¿ô¤Î¹âÃÍ¡¤300 mg/kg·²¤ÇÄãÃͤ¬Ç§¤á¤é¤ì¤¿¤¬ÍÑÎÌÁê´ØÀ­¤Î¤Ê¤¤ÊѲ½¤Ç¤¢¤Ã¤¿¡¥

¡Ì²óÉü´ü´Ö½ªÎ»»þ¤Î¸¡ºº·ë²Ì¡Í

»óͺ¤È¤â¸¡ºº¤·¤¿¤¹¤Ù¤Æ¤Î¹àÌܤˤĤ¤¤Æ¡¤Âоȷ²¤È 1000 mg/kg·²¤È¤Çº¹¤¬Ç§¤á¤é¤ì¤Ê¤«¤Ã¤¿¡¥

6.¡¡·ì±Õ¶Å¸Ç¸¡ºº(Table 1)

¡ÌÅêÍ¿½ªÎ»»þ¤Î¸¡ºº·ë²Ì¡Í

ͺ¤Ç¤Ï¡¤Âоȷ²¤ËÈæ³Ó¤·¤Æ 300¤ª¤è¤Ó1000 mg/kg·²¤Ç¥×¥í¥È¥í¥ó¥Ó¥ó»þ´Ö(PT)¤ª¤è¤Ó³èÀ­²½Éôʬ¥È¥í¥ó¥Ü¥×¥é¥¹¥Á¥ó»þ´Ö(APTT)¤¬±äŤò¼¨¤·¡¤¤µ¤é¤Ë1000 mg/kg·²¤Ç¥Õ¥£¥Ö¥ê¥Î¡¼¥²¥óÎ̤¬¹âÃͤò¼¨¤·¤¿¡¥PT¤ª¤è¤ÓAPTT¤Ë´Ø¤·¤Æ¤Ï¡¤Åý·×³ØÅªÍ­°Õº¹¤Ïǧ¤á¤é¤ì¤Ê¤«¤Ã¤¿¤â¤Î¤Î¡¤ÄãÍÑÎ̤Î100 mg/kg·²¤Ç¤â±äĹ·¹¸þ¤Ë¤¢¤Ã¤¿¡¥»ó¤Ç¤Ï¡¤Âоȷ²¤ËÈæ³Ó¤·¤Æ300¤ª¤è¤Ó1000 mg/kg·²¤ÇAPTT¤¬±äŤò¼¨¤·¡¤300 mg/kg·²¤ÇPT¤¬±äŤò¼¨¤·¤¿¡¥

¡Ì²óÉü´ü´Ö½ªÎ»»þ¤Î¸¡ºº·ë²Ì¡Í

ͺ¤Î 1000 mg/kg·²¤ÇAPTT¤Î±äŤ¬Ç§¤á¤é¤ì¤¿¡¥»ó¤Ë¤Ä¤¤¤Æ¤Ï¡¤3¸¡ºº¹àÌܤȤâÂоȷ²¤È1000 mg/kg·²¤Çº¹¤¬Ç§¤á¤é¤ì¤Ê¤«¤Ã¤¿¡¥

7.¡¡·ì±ÕÀ¸²½³Ø¸¡ºº(Table 2)

¡ÌÅêÍ¿½ªÎ»»þ¤Î¸¡ºº·ë²Ì¡Í

ͺ¤Ç¤Ï¡¤Âоȷ²¤ËÈæ³Ó¤·¤Æ¤¹¤Ù¤Æ¤ÎÈ︳ʪ¼ÁÅêÍ¿·²¤Ç GOT¤¬ÄãÃͤò¼¨¤·¡¤¤µ¤é¤Ë1000 mg/kg·²¤ÇÁí¥³¥ì¥¹¥Æ¥í¡¼¥ë¤¬¹âÃÍ¡¤±öÁǤ¬ÄãÃͤò¼¨¤·¤¿¡¥

»ó¤Ç¤Ï¡¤Âоȷ²¤ËÈæ³Ó¤·¤Æ¤¹¤Ù¤Æ¤ÎÈ︳ʪ¼ÁÅêÍ¿·²¤Ç GOT¤ª¤è¤Ó±öÁǤ¬ÄãÃͤò¼¨¤·¡¤¤µ¤é¤Ë1000 mg/kg·²¤ÇÁí¥³¥ì¥¹¥Æ¥í¡¼¥ë¤ª¤è¤ÓÁíÃÁÇò¤¬¹âÃͤò¼¨¤·¤¿¡¥

¡Ì²óÉü´ü´Ö½ªÎ»»þ¤Î¸¡ºº·ë²Ì¡Í

ͺ¤Ç¤Ï¡¤Âоȷ²¤ËÈæ³Ó¤·¤Æ 1000 mg/kg·²¤ÇÇ¢ÁÇÃâÁǤª¤è¤ÓGOT¤¬ÄãÃͤò¼¨¤·¡¤»ó¤Ç¤Ï¡¤Âоȷ²¤ËÈæ³Ó¤·¤Æ1000 mg/kg·²¤Ç¥¢¥ë¥«¥êÀ­¥Û¥¹¥Õ¥¡¥¿¡¼¥¼¤¬ÄãÃÍ¡¤ÁíÃÁÇò¡¤¥¢¥ë¥Ö¥ß¥ó¤ª¤è¤Ó¥«¥ê¥¦¥à¤¬¹âÃͤò¼¨¤·¤¿¡¥

8.¡¡Ç¢ ¸¡ ºº(Table 3)

¡ÌÅêÍ¿½ªÎ»»þ¤Î¸¡ºº·ë²Ì¡Í

Âоȷ²¤ËÈæ³Ó¤·¤Æ¡¤»óͺ¤Î 300¤ª¤è¤Ó1000 mg/kg·²¤ÇÇ¢¿§¤ÎÊѲ½¤¬Ç§¤á¤é¤ì¡¤²«³ì¿§Ç¢Æ°Êª¤ÎÁý²Ã¤¬Ç§¤á¤é¤ì¤¿¡¥

¤½¤Î¾¤Î¸¡ºº¹àÌܤϡ¤»óͺ¤È¤âÂоȷ²¤ÈÈ︳ʪ¼ÁÅêÍ¿·²¤È¤Çº¹¤¬Ç§¤á¤é¤ì¤Ê¤«¤Ã¤¿¡¥

¡Ì²óÉü´ü´Ö½ªÎ»»þ¤Î¸¡ºº·ë²Ì¡Í

»óͺ¤Î 1000 mg/kg·²¤Ç²«³ì¿§Ç¢Æ°Êª¤¬³Æ1Îãǧ¤á¤é¤ì¤¿°Ê³°¡¤Âоȷ²¤È1000 mg/kg·²¤Çº¹¤Ïǧ¤á¤é¤ì¤Ê¤«¤Ã¤¿¡¥

9.¡¡´ï´±½ÅÎÌ(Table 4)

¡ÌÅêÍ¿½ªÎ»»þ¤Î¸¡ºº·ë²Ì¡Í

ͺ¤Ç¤Ï¡¤Âоȷ²¤ËÈæ³Ó¤·¤Æ 300¤ª¤è¤Ó1000 mg/kg·²¤Ç¿Õ¡½ÅÎ̤¬¹âÃͤò¼¨¤·¡¤¤µ¤é¤Ë1000 mg/kg·²¤Ç´Î¡½ÅÎ̤¬¹âÃͤò¼¨¤·¤¿¡¥

»ó¤Ç¤Ï¡¤Âоȷ²¤ËÈæ³Ó¤·¤Æ 300¤ª¤è¤Ó1000 mg/kg·²¤Ç¶»Á£½ÅÎ̤¬ÄãÃͤò¼¨¤·¡¤¤µ¤é¤Ë1000 mg/kg·²¤ÇǾ½ÅÎ̤¬ÄãÃÍ¡¤´Î¡½ÅÎ̤¬¹âÃͤò¼¨¤·¤¿¡¥¤½¤Î¾¡¤100 mg/kg·²¤Ç¤âǾ½ÅÎ̤¬ÄãÃͤò¼¨¤·¤¿¤¬¡¤ÍÑÎÌÁê´ØÀ­¤Î¤Ê¤¤ÊѲ½¤Ç¤¢¤Ã¤¿¡¥

¡Ì²óÉü´ü´Ö½ªÎ»»þ¤Î¸¡ºº·ë²Ì¡Í

ͺ¤Ç¤Ï¡¤Âоȷ²¤ËÈæ³Ó¤·¤Æ 1000 mg/kg·²¤ÇǾ¤ª¤è¤Óç£Â¡½ÅÎ̤¬ÄãÃͤò¼¨¤·¤¿¡¥

»ó¤Ç¤Ï¡¤Âоȷ²¤ËÈæ³Ó¤·¤Æ 1000 mg/kg·²¤Ç¶»Á£½ÅÎ̤¬ÄãÃͤò¼¨¤·¤¿¡¥

10.¡¡´ï´±½ÅÎÌ¡¦ÂνÅÈæ(ÁêÂнÅÎÌ)(Table 4)

¡ÌÅêÍ¿½ªÎ»»þ¤Î¸¡ºº·ë²Ì¡Í

ͺ¤Ç¤Ï¡¤Âоȷ²¤ËÈæ³Ó¤·¤Æ 300¤ª¤è¤Ó1000 mg/kg·²¤Ç¿Õ¡ÁêÂнÅÎ̤¬¹âÃͤò¼¨¤·¡¤¤µ¤é¤Ë1000 mg/kg·²¤Ç´Î¡ÁêÂнÅÎ̤¬¹âÃͤò¼¨¤·¤¿¡¥

»ó¤Ç¤Ï¡¤Âоȷ²¤ËÈæ³Ó¤·¤Æ 1000 mg/kg·²¤ÇǾ¤ª¤è¤Ó´Î¡ÁêÂнÅÎ̤¬¹âÃͤò¼¨¤·¤¿¡¥

¡Ì²óÉü´ü´Ö½ªÎ»»þ¤Î¸¡ºº·ë²Ì¡Í

ͺ¤Ç¤Ï¡¤Âоȷ²¤ËÈæ³Ó¤·¤Æ 1000 mg/kg·²¤Ç¿Õ¡ÁêÂнÅÎ̤¬¹âÃͤò¼¨¤·¤¿¡¥

»ó¤Ç¤Ï¡¤Âоȷ²¤È 1000 mg/kg·²¤Çº¹¤¬Ç§¤á¤é¤ì¤Ê¤«¤Ã¤¿¡¥

11.¡¡ÉÂÍý³Ø¸¡ºº

a)¡¡Ë¶¸¡½ê¸«(Table 5)

ÅêÍ¿½ªÎ»»þ¤Ë¤ª¤¤¤Æ¡¤Âоȷ²¤ËÈæ³Ó¤·¤ÆÈ︳ʪ¼ÁÅêÍ¿·²¤Ç¿¤¯´Ñ»¡¤µ¤ì¤¿½ê¸«¤È¤·¤Æ¡¤¿Õ¡¤ÎÈîÂ礬ͺ¤Î 300¡¤1000 mg/kg·²¤Ç¤½¤ì¤¾¤ì1¤ª¤è¤Ó4Î㡤»ó¤Î1000 mg/kg·²¤Ç1Îã¤Ë¡¤¿Õ¡¤Îø¿§²½¤¬Íº¤Î300¡¤1000 mg/kg·²¤Ç¤½¤ì¤¾¤ì2¤ª¤è¤Ó4Îã¤Ë´Ñ»¡¤µ¤ì¤¿¡¥¤Þ¤¿´Î¡¤ÎÈîÂ礬»ó¤Î1000 mg/kg·²¤Ç1Îã¤Ë´Ñ»¡¤µ¤ì¤¿¡¥¤½¤Î¾´Ñ»¡¤µ¤ì¤¿½ê¸«¤Ï¡¤Âоȷ²¡¤È︳ʪ¼ÁÅêÍ¿·²¤ÇñȯÀ­¤ÎȯÀ¸¤Ç¤¢¤Ã¤¿¡¥

²óÉü»î¸³½ªÎ»»þ¤Ë¤ª¤¤¤Æ¡¤Âоȷ²¤ËÈæ³Ó¤·¤ÆÈ︳ʪ¼ÁÅêÍ¿·²¤Ç¿¤¯´Ñ»¡¤µ¤ì¤¿½ê¸«¤È¤·¤Æ¡¤¿Õ¡¤Îø¿§²½¤¬Íº¤Î 1000 mg/kg·²¤Ç4Îã¤Ë´Ñ»¡¤µ¤ì¤¿¡¥¤½¤Î¾´Ñ»¡¤µ¤ì¤¿½ê¸«¤Ï¡¤Âоȷ²¡¤1000 mg/kg·²¤Ç¤¤¤º¤ì¤âñȯÀ­¤ÎȯÀ¸¤Ç¤¢¤Ã¤¿¡¥

b)¡¡ÁÈ¿¥½ê¸« (Table 6)

ÅêÍ¿½ªÎ»»þ¤Ë¤ª¤¤¤Æ¡¤Âоȷ²¤ËÈæ³Ó¤·¤ÆÈ︳ʪ¼ÁÅêÍ¿·²¤Ë¿¤¯´Ñ»¡¤µ¤ì¤¿½ê¸«¤È¤·¤Æ¡¤´ÎºÙ˦¼ðı¤¬»óͺ¤Î 1000 mg/kg·²¤ÎÁ´5Îã¤È¡¤Íº¤Î300 mg/kg·²¤Î2Îã¤Ë¡¤¿Õ¡¤Î¾Ë»ÒÅ©ÊÑÀ­¤¬Íº¤Î300¡¤1000 mg/kg·²¤Ç¤½¤ì¤¾¤ì4¤ª¤è¤Ó5Îã¤Ë´Ñ»¡¤µ¤ì¤¿¡¥Íº¤Ë¤ª¤¤¤ÆÂоȷ²¤«¤é´Ñ»¡¤µ¤ì¤¿¤â¤Î¤Î¡¤¿Õ¡¤Î¹¥»ÀÀ­¾®ÂΤ¬Âоȷ²¡¤100¡¤300 ¤ª¤è¤Ó1000 mg/kg¤Î³Æ·²¤Ç¤½¤ì¤¾¤ì1¡¤1¡¤2 (·ÚÅÙ:1¡¤ÃæÅÙ:1)¤ª¤è¤Ó3(·ÚÅÙ:1¡¤½ÅÅÙ:2)Îã¤È¡¤300 ¤ª¤è¤Ó1000 mg/kg·²¤ÇÄøÅÙ¤ÎÁý¶¯¤ò¼¨¤·¤¿¡¥¤Þ¤¿¿Õ¡¤Î¹¥»ÀÀ­¾®ÂΤÎÄøÅÙ¤ÎÁý¶¯¤Ëȼ¤Ã¤Æ¡¤¿Õ¡¤ÎÀг¥ÄÀÃ塤ÃÁÇò±ßÃ줪¤è¤Ó´É¹Ð³ÈÄ¥¤¬Íº¤Î1000 mg/kg·²¤Ç¤½¤ì¤¾¤ì4¡¤3¤ª¤è¤Ó2Îã¤Ë´Ñ»¡¤µ¤ì¤¿¡¥¤Þ¤¿ç£Â¡¤Îݵ·ì¤¬»ó¤Î1000 mg/kg·²¤ÇÁ´5Îã¤Ë´Ñ»¡¤µ¤ì¤¿¡¥È¯À¸¿ô¤Ï1Îã¤Î¤ß¤Ç¤¢¤Ã¤¿¤¬¡¤Íº¤Î1000 mg/kg·²¤Ëç£Â¡¤ÎÀÖ·ìµå·Ï¤·ìж¿Ê¤ª¤è¤Ó´Î¡¤ÎÅü¼ÁÃßÀѤ¬´Ñ»¡¤µ¤ì¤¿¡¥¤½¤Î¾¡¤È︳ʪ¼ÁÅêÍ¿·²¤Ç¸º¾¯¤·¤¿½ê¸«¤È¤·¤ÆÍº¤Î1000 mg/kg·²¤ª¤è¤Ó»ó¤ÎÁ´È︳ʪ¼ÁÅêÍ¿·²¤Ç´Î¡¤Î»éËò½¤ÎȯÀ¸¤¬¤Ê¤«¤Ã¤¿¡¥¤Ê¤ª¡¤È︳ʪ¼ÁÅêÍ¿·²¤Ë¤ª¤¤¤Æ°ìÈ̾õÂÖ¤Çή޷¤¬´Ñ»¡¤µ¤ì¤¿¤¿¤áÂñÕÁ£¤ÎÁÈ¿¥³ØÅª¸¡ºº¤ò¹Ô¤Ã¤¿¤¬¡¤°Û¾ï¤Ïǧ¤á¤é¤ì¤Ê¤«¤Ã¤¿¡¥¤Þ¤¿¡¤Âоȷ²¤ò´Þ¤á»î¸³·²¤Ç´Î¡¤ÎÆù²êÁ㡤¿Õ¡¤ÎºÙ˦¿»½á¤ª¤è¤Ó¹¥±ö´ð²½¡¤Éû¿Õ¤Î¶õ˦²½¤¬´Ñ»¡¤µ¤ì¤¿¤¬¡¤·²´Ö¤ÇȯÀ¸¿ô¤Ëº¹¤Ïǧ¤á¤é¤ì¤Ê¤«¤Ã¤¿¡¥

¤½¤Î¾¡¤´Ñ»¡¤µ¤ì¤¿½ê¸«¤ÏñȯÀ­¤ÎȯÀ¸¤Ë¤È¤É¤Þ¤Ã¤¿¡¥

²óÉü»î¸³½ªÎ»»þ¤Ë¤ª¤¤¤Æ¡¤Âоȷ²¤ËÈæ³Ó¤·¤ÆÈ︳ʪ¼ÁÅêÍ¿·²¤Ç¿¤¯´Ñ»¡¤µ¤ì¤¿½ê¸«¤È¤·¤Æ¡¤ç£Â¡¤Î¿§ÁÇÄÀÃ夬»óͺ¤Î 1000 mg/kg·²¤ÇÁ´5Îã¤Ë¡¤ÀÖ·ìµå·Ï¤·ìж¿Ê¤¬»óͺ¤Î1000 mg/kg·²¤Ë¤½¤ì¤¾¤ìͺÁ´5Î㡤»ó2Îã¤Ë´Ñ»¡¤µ¤ì¤¿¡¥¤Þ¤¿¡¤¿Õ¡¤Î¹¥»ÀÀ­¾®ÂΤ¬Íº¤Î1000 mg/kg·²¤Ç3Îã¤Ë´Ñ»¡¤µ¤ì¤¿¤¬¡¤¤½¤Î¤¦¤Á¤Î1Îã¤Ë¤ÏÅêÍ¿½ªÎ»»þ¤ÈƱÍͤνÅÅ٤ι¥»ÀÀ­¾®ÂΤÈÃÁÇò±ßÃ줪¤è¤Ó´É¹Ð³ÈÄ¥¤â´Ñ»¡¤µ¤ì¤¿¡¥¤½¤Î¾¡¤´Î¡¤ÎÆù²êÁ㤪¤è¤Ó»éËò½¡¤¿Õ¡¤Î¹¥±ö´ð²½¤ª¤è¤ÓºÙ˦¿»½á¤¬´Ñ»¡¤µ¤ì¤¿¡¥

¤½¤Î¾¡¤´Ñ»¡¤µ¤ì¤¿½ê¸«¤ÏñȯÀ­¤ÎȯÀ¸¤Ë¤È¤É¤Þ¤Ã¤¿¡¥

¹Í»¡¤ª¤è¤Ó·ëÏÀ

°ìÈ̾õÂ֤δѻ¡¤Ç¤Ï¡¤»óͺ¤È¤â 1000 mg/kg·²¤Çή޷¤¬Ç§¤á¤é¤ì¤¿¤¬¡¤ÅêÍ¿2»þ´Ö¸å¤Ë¤Ï¾Ã¼º¤·¤¿¡¥²óÉü´ü´Ö¤ËÆþ¤ë¤È¡¤»óͺ¤Î1000 mg/kg·²¤Çǧ¤á¤é¤ì¤¿Î®Þ·¤Ï1Îã¤â´Ñ»¡¤µ¤ì¤º¡¤¤³¤Î¾É¾õ¤¬È︳ʪ¼ÁÅêÍ¿¤Ëµ¯°ø¤¹¤ë¤³¤È¤ò΢ÉÕ¤±¤¿¡¥

»óͺ¤È¤âÀݱÂÎ̤ÎÁý¸º¤Ïǧ¤á¤é¤ì¤Ê¤«¤Ã¤¿¤¬¡¤ÂνŤ¬»ó¤Î 1000 mg/kg·²¤ÇÄãÃÍ¡¤Íº¤ÎƱÍÑÎÌ·²¤ÇÄãÃÍ·¹¸þ¤ò¼¨¤·¤¿¤¿¤á¡¤¤³¤ì¤é¤Î·²¤Ç¤Ï»ôÎÁ¸úΨ¤¬ÄãÃͤò¼¨¤·¤¿¡¥

·ì±Õ³Ø¸¡ºº¤Ë´Ø¤·¤Æ¤Ï¡¤ÉÂÍýÁÈ¿¥³ØÅª¸¡ºº¤Çç£Â¡¤ËÀÖ·ìµå·Ï¤·ìж¿Ê¤¬Ç§¤á¤é¤ì¤¿¤¬¡¤È︳ʪ¼ÁÅêÍ¿¤Î±Æ¶Á¤ò¼¨º¶¤¹¤ëÊѲ½¤Ïǧ¤á¤é¤ì¤Ê¤«¤Ã¤¿¡¥

·ì±Õ¶Å¸Ç¸¡ºº¤Ë¤ª¤¤¤Æ¡¤»óͺ¤È¤â APTT¤ËÄãÍÑÎ̤Î100 mg/kg¤«¤é±äĹ·¹¸þ¤Þ¤¿¤Ï±äŤ¬Ç§¤á¤é¤ì¡¤Íº¤Ç¤ÏPT¤âƱÍͤʷ¹¸þ¤ò¼¨¤·¤¿¡¥Íº¤Î1000 mg/kg·²¤Ç¤Ï¡¤¥Õ¥£¥Ö¥ê¥Î¡¼¥²¥óÎ̤â¹âÃͤò¼¨¤·¤Æ¤ª¤ê¡¤¹³¶Å¸ÇÌô¤ä¹³·ì¾®ÈÄÌô¤Çǧ¤á¤é¤ì¤ë¤â¤Î¤ÈƱÍͤÊÊѲ½¤Ç¤¢¤Ã¤¿¤¬¡¤¤³¤ì¤é¤ÎÌôºÞ¤Çǧ¤á¤é¤ì¤ë·ì¾®ÈÄ¿ô¤ÎÁý²Ã¤ÏËÜÈ︳ʪ¼Á¤Ç¤Ïǧ¤á¤é¤ì¤Æ¤¤¤Ê¤¤¡¥

·ì±ÕÀ¸²½³Ø¸¡ºº¤Î·ë²Ì¡¤»óͺ¤Î¤¹¤Ù¤Æ¤ÎÈ︳ʪ¼ÁÅêÍ¿·²¤Ç GOT¤ÎÄãÃͤ¬Ç§¤á¤é¤ì¤¿¡¥

GOT¤ÏGPTƱÍͰïæ¹ÚÁǤǤ¢¤ê¹âÃͤξì¹ç¤Î¤ß°ÕµÁ¤Î¤¢¤ëÊѲ½¤È¤¤¤ï¤ì¤Æ¤¤¤ë¡¥GPT¤Ë´Ø¤·¤Æ¤Ï¡¤¥»¥Õ¥¡¥í¥¹¥Ý¥ê¥ó·Ï¹³À¸Êª¼Á¤ÎÅêÍ¿¤ÇľÀܳèÀ­Á˳²¤ò°ú¤­µ¯¤³¤¹¤³¤È¤¬ÃΤé¤ì¤Æ¤¤¤ë¤¬4)¡¤GOT¤Ë´Ø¤·¤Æ¤ÎÊó¹ð¤Ï¸«¤¢¤¿¤é¤º¡¤Ëܻ¤Ë¤ª¤±¤ë¾¤Î½ô¸¡ºº¤Î·ë²Ì¤«¤é¤âGOTÄãÃͤθ¶°ø¤ÏÌÀ¤é¤«¤Ç¤Ï¤Ê¤¤¡¥¤½¤Î¾»óͺ¤Çǧ¤á¤é¤ì¤¿Áí¥³¥ì¥¹¥Æ¥í¡¼¥ë¤ª¤è¤Ó±öÁÇ¡¤»ó¤Çǧ¤á¤é¤ì¤¿ÁíÃÁÇò¤Ë¤Ä¤¤¤Æ¤âÊѲ½¤ÎÄøÅ٤϶Ϥ«¤Ç¤¢¤ê¡¤ÆÃÄê´ï´±¤Î¾ã³²¤òÌÀ³Î¤Ë¼¨º¶¤¹¤ë¤â¤Î¤Ç¤Ï¤Ê¤¤¤È¹Í¤¨¤é¤ì¤¿¡¥

Ç¢¸¡ºº¤Î·ë²Ì¡¤Ç¢¿§¤Î²«³ì¿§²½¤¬Ç§¤á¤é¤ì¤¿¤¬¡¤Àø·ì¤ä¥Ó¥ê¥ë¥Ó¥ó¤Ê¤É¤ÎÁý²Ã¤Ïǧ¤á¤é¤ì¤Ê¤«¤Ã¤¿¡¥È︳ʪ¼Á¤ÎÂå¼Õʪ¤Ë¤è¤ë¿§Ä´ÊѲ½¤¬¼¨º¶¤µ¤ì¤ë¤¬¡¤²óÉü´ü´Ö½ªÎ»»þ¤Î¸¡ºº¤Ç¤â»óͺ³Æ 1Îã¤Ëǧ¤á¤é¤ì¤Æ¤¤¤ë¤³¤È¤«¤é¡¤¸¶°ø¤ÏÌÀ¤é¤«¤Ç¤Ï¤Ê¤¤¡¥

´ï´±½ÅÎ̬Äê¤Î·ë²Ì¡¤»óͺ¤Ç´Î¡½ÅÎ̤ιâÃÍ¡¤¤µ¤é¤Ëͺ¤Ç¿Õ¡½ÅÎ̤ιâÃÍ¡¤»ó¤Ç¶»Á£½ÅÎ̤ÎÄãÃͤ¬Ç§¤á¤é¤ì¡¤¶»Á£¤ÎÊѲ½¤ò½ü¤­¡¤ÉÂÍý³Ø¸¡ºº¤Ç½ÅÎÌÁý²Ã¤ÎÍ×°ø¤È¤Ê¤ëÂбþ½ê¸«¤¬Ç§¤á¤é¤ì¤¿¡¥

ÉÂÍý³Ø¸¡ºº¤Î·ë²Ì¡¤È︳ʪ¼ÁÅêÍ¿¤Î±Æ¶Á¤È¹Í¤¨¤é¤ì¤ëÊѲ½¤È¤·¤Æ¡¤Æù´ã½ê¸«¤Ç¤ÏÅêÍ¿½ªÎ»»þ¤Îͺ¤Ë¿Õ¡¤Îø¿§²½¤ÈÈîÂ硤»ó¤Ë´Î¡¤ÎÈîÂ礬´Ñ»¡¤µ¤ì¡¤²óÉü»î¸³½ªÎ»»þ¤Îͺ¤Ë¤â¿Õ¡¤Îø¿§²½¤¬´Ñ»¡¤µ¤ì¤¿¡¥¤½¤Î¾¤Î½ê¸«¤Ï¼«Á³È¯À¸À­¤Î½ê¸«¤È¹Í¤¨¤é¤ì¤¿¡¥ÁÈ¿¥½ê¸«¤Ç¤ÏÈ︳ʪ¼Á¤Î±Æ¶Á¤È¹Í¤¨¤é¤ì¤ëÊѲ½¤È¤·¤Æ¡¤ÅêÍ¿½ªÎ»»þ¤Î»óͺ¤ËÃæ¿´À­´ÎºÙ˦¼ðı¡¤Íº¤Ë¿Õ¡¤Î¾Ë»ÒÅ©ÊÑÀ­¤¬´Ñ»¡¤µ¤ì¤¿¡¥¤Þ¤¿È︳ʪ¼ÁÅêÍ¿¤Ë¤è¤Ã¤Æ¡¤Âоȷ²¤Ë¤â´Ñ»¡¤µ¤ì¤¿¿Õ¡¤Î¹¥»ÀÀ­¾®ÂΤÎÄøÅÙ¤¬Áý¶¯¤·¡¤¤½¤ì¤Ëȼ¤Ã¤ÆÂоȷ²¤Ë¤Ï¸«¤é¤ì¤Ê¤«¤Ã¤¿¿Õ¡¤ÎÀг¥ÄÀÃ塤ÃÁÇò±ßÃ줪¤è¤Ó´É¹Ð³ÈÄ¥¤¬´Ñ»¡¤µ¤ì¤¿¡¥¤½¤Î¾¡¤³Æ 1Îã¤Î¤ß¤Ç¤¢¤Ã¤¿¤¬¡¤1000 mg/kg·²¤Îͺ¤Ë´Î¡¤ÎÅü¼ÁÃßÀѤª¤è¤Óç£Â¡¤ÎÀÖ·ìµå·Ï¤·ìж¿Ê¡¤»ó¤Ëç£Â¡¤Îݵ·ì¤¬´Ñ»¡¤µ¤ì¤¿¡¥²óÉü»î¸³½ªÎ»»þ¤Î»óͺ¤Ëç£Â¡¤ÎÀÖ·ìµå·Ï¤·ìж¿Ê¤ª¤è¤Ó¿§ÁÇÄÀÃ夬´Ñ»¡¤µ¤ì¤¿¡¥µÕ¤ËÅêÍ¿½ªÎ»»þ¤Î»óͺ¤Ë´Î¡¤Î»éËò½¤ÎȯÀ¸¤¬¸º¾¯¤·¤¿¡¥¤Þ¤¿¡¤ÅêÍ¿½ªÎ»»þ¤Ë»ó¤Î¿Õ¡¤ÎÆù´ãŪ¤ÊÈîÂ礬´Ñ»¡¤µ¤ì¤¿¤¬¡¤ÁÈ¿¥³ØÅª¤Ë¤Ï°Û¾ï¤Ïǧ¤á¤é¤ì¤Ê¤«¤Ã¤¿¡¥¤½¤Î¾¤Î½ê¸«¤Ï¡¤¼«Á³È¯À¸À­¤ÎÊѲ½¤È¹Í¤¨¤é¤ì¤¿¡¥

ÅêÍ¿½ªÎ»»þ¤Ë´Ñ»¡¤µ¤ì¤¿»ó¤Î´Î¡¤ÎÆù´ãŪ¤ÊÈîÂ硤»óͺ¤ÎÃæ¿´À­¤Î´ÎºÙ˦¼ðı¤Ï´Îµ¡Ç½¤Ë´Ø¤¹¤ëÎ×¾²¸¡ººÃͤÎÌÀ¤é¤«¤Ê¾å¾º¤â¤Ê¤¯¡¤ÆÇÀ­ÊѲ½¤È¤¤¤¦¤è¤êÀ¸ÂΤÎŬ±þÈ¿±þ¤È¹Í¤¨¤é¤ì¤¿¡¥¤¹¤Ê¤ï¤ÁÈ︳ʪ¼ÁÅêÍ¿¤Ë¤è¤Ã¤Æ ,ÌôʪÂå¼ÕͶƳ¤Ê¤É¤Ë¤è¤ê¡¤´ÎºÙ˦¤¬ÈîÂ礷¤¿¤â¤Î¤È¹Í¤¨¤é¤ì¤¿5)¡¥¤³¤ÎÊѲ½¤Ï²óÉü»î¸³½ªÎ»»þ¤Ë¤Ï´Ñ»¡¤µ¤ì¤º¡¤²ÄµÕÀ­¤ÎÊѲ½¤È¹Í¤¨¤é¤ì¤¿¡¥

ÅêÍ¿½ªÎ»»þ¤Ë´Ñ»¡¤µ¤ì¤¿Íº¤Î¿Õ¡¤Î¾Ë»ÒÅ©ÊÑÀ­¤ª¤è¤ÓÅêÍ¿½ªÎ»»þ¤È²óÉü»î¸³½ªÎ»»þ¤Ë´Ñ»¡¤µ¤ì¤¿Íº¤Î¿Õ¡¤Î¹¥»ÀÀ­¾®ÂΤϡ¤¶á°ÌÇ¢ºÙ´É¤Ë´Ñ»¡¤µ¤ì¤¿¡¥´øÈ¯À­Ãº²½¿åÁÇÎà¤ÎÌôʪÅêÍ¿¤Ë¤è¤ê¡¤´Î¡¤Ç¹çÀ®¤µ¤ì¤¿¦Á 2u-¥°¥í¥Ö¥ê¥ó¤¬´øÈ¯À­Ãº²½¿åÁǤȷë¹ç¤·¡¤ÃÁÇòÂå¼Õ¤ÎÄã²¼¤·¤¿¶á°ÌÇ¢ºÙ´É¤ËÃßÀѤ¹¤ë¤È¤µ¤ì¡¤ÃßÀѤ¬¶¯¤¯¤Ê¤ë¤ÈÇ¢ºÙ´É¾åÈéºÙ˦¤ÎÊÑÀ­¡¤²õ»à¡¤ºÆÀ¸ÊѲ½¡¤ÃÁÇò±ßÃ줬´Ñ»¡¤µ¤ì¤ë6)¡¥Ëܻ¤Î1,2,3-¥È¥ê¥á¥Á¥ë¥Ù¥ó¥¼¥ó¤â¥Ù¥ó¥¼¥ó´Ä¤ò¤â¤Ä´øÈ¯À­Ãº²½¿åÁǤǤ¢¤ê¡¤Æ±Íͤν긫¤¬´Ñ»¡¤µ¤ì¤¿¤È¹Í¤¨¤é¤ì¤¿¡¥

²óÉü»î¸³½ªÎ»»þ¤Îͺ¤Î 1000 mg/kg·²¤Î1Îã¤Ë¤âƱÍͤÎÊѲ½¤¬Ç§¤á¤é¤ì¤¿¤â¤Î¤Î¡¤È¯À¸¿ô¤Î¸º¾¯¤è¤ê²óÉü·¹¸þ¤Ï¤¢¤ë¤â¤Î¤È¹Í¤¨¤é¤ì¤¿¡¥

¤Þ¤¿ÅêÍ¿½ªÎ»»þ¤Ë´Ñ»¡¤µ¤ì¤¿»ó¤Îç£Â¡¤Îݵ·ì¤ª¤è¤Óͺ¤Îç£Â¡¤ÎÀÖ·ìµå·Ï¤·ìж¿Ê¡¤²óÉü»î¸³½ªÎ»»þ¤Ë´Ñ»¡¤µ¤ì¤¿»óͺ¤Îç£Â¡¤ÎÀÖ·ìµå·Ï¤·ìж¿Ê¤È¿§ÁÇÄÀÃå¤Ï¡¤ÅêÍ¿´ü´Ö¤ª¤è¤Ó²óÉü´ü´ÖÃæ¤ÎÀÖ·ìµå·Ï¤ÎÎ×¾²¸¡ººÃͤΰ۾ï¤Ï¤ß¤é¤ì¤º¡¤¹ü¿ñ¤Î°Û¾ï¤â´Ñ»¡¤µ¤ì¤Ê¤«¤Ã¤¿¤³¤È¤«¤é¸¶°ø¤ÏÉÔÌÀ¤Ç¤¢¤Ã¤¿¡¥¤·¤«¤··ì±Õ¶Å¸Ç·Ï¤Î±äŤ¬µ¯¤³¤Ã¤Æ¤ª¤ê¡¤¤Þ¤¿Â¤·ì¾ã³²¤ò¼¨º¶¤¹¤ëʸ¸¥¤â¤¢¤ë¤³¤È¤«¤é 3)¡¤ÅêÍ¿´ü´ÖÃæ¤Ë²¿¤é¤«¤ÎÀÖ·ìµå¤Ø¤Î¾ã³²¤¬¤¢¤Ã¤¿¤³¤È¤¬¼¨º¶¤µ¤ì¡¤²óÉü´ü¤Ç¤Î¤·ìж¿Ê¤Ï¾ã³²¤ËÂФ¹¤ë²óÉüÈ¿±þ¤È¤â¹Í¤¨¤é¤ì¤¿¡¥

°Ê¾å¤Î¤³¤È¤«¤é¡¤ËÜÈ︳ʪ¼Á¤Ï¿Õ¡¡¤·ì±Õ¶Å¸Ç·Ï¤ò¼ç¤ÊɸŪ¤È¤·¡¤Ìµ±Æ¶ÁÎ̤ϻóͺ¤È¤â 100 mg/kg/day̤Ëþ¤ÈȽÃǤµ¤ì¤¿¡¥½¾¤Ã¤ÆÌµ±Æ¶ÁÎ̤¬µá¤Þ¤é¤Ê¤«¤Ã¤¿¤³¤È¤«¤é¡¤¤µ¤é¤ËÄãÍÑÎ̤ˤè¤ëÄɲû¤ò¼Â»Ü¤·¤¿¡¥

»²¹Íʸ¸¥

1)P. Kasirzewski A. Weaderna-Brychat and B. Czerski Determination of dimethylobenzoic acid isomers in wreie by gas chromatography. Medycyna Pracy, 45(1), 37(1994).
2)P. I Mikulski and R. Wiglusz, The comparative metofolism of mesitylen;pseudocumene, and heminellitene in rats. Toxicol. Appl. Pharmocol., 31(1), 21(1995).
3)Information Profiels of Potential Occupational Hazard:Trimethyl-benzens, Govt Reports Announcements & Index (GRA & I), Issue 15, 1987.
4)G. Feuer et al. Alanine aminotransferose activity of not tissues following the administration of cefazolin. Toxical. Appl. Pharmacol., 41, 185(1977).
5)¾¾¸¶¾°»Ö¡¤¸ÍÆâÌÀ¡¤¥é¥Ã¥È·ìÃæ¤ª¤è¤Ó´ÎÆâ¹ÚÁdzèÀ­¤ËµÚ¤Ü¤¹Cefamandole¤Î±Æ¶Á:GTP³èÀ­Äã²¼µ¡ºî¤Î²òÀÏ¡¥Chemothorapy, 27, 740 (1979).
6)P. Greaves, "Urinary Tract, Histpathology of Preclinical Toxicity Studies," ELSEVIER, The Netherlands, 1990, pp.497-583

Ï¢ÍíÀè
»î¸³ÀÕǤ¼Ô¡§°æ¾åÇîÇ·
»î¸³Ã´Åö¼Ô¡§³ÆÌ³¡¡¿Ê¡¤¾±»ÒÌÀÆÁ¡¤ÅÏ¡¡½¤ÌÀ¡¤
¾®ÎÓÏÂͺ¡¤¾¾ÌÚͳ²Ã
¡Êºâ¡Ë¿©ÉÊÇÀ°åÌôÉʰÂÁ´À­É¾²Á¥»¥ó¥¿¡¼
¢©437-12 ÀŲ¬¸©ÈØÅÄ·´Ê¡ÅÄÄ®±ö¿·ÅÄ»ú¹ÓÉÍ 582-2
Tel 0538-58-1266Fax 0538-58-1393

Correspondence
Authors:Hiroyuki Inoue(Study director),
Susumu Kakamu, Akinori Shoji, Nobuaki Watari,
Kazuo Kobayashi, Yuka Matuki
Biosafety Research Center, Foods, Drugs and Pesticides(An-pyo Center)
582-2 Shioshinden Aza Arahama, Fukude-cho, Iwata-gun, Shizuoka, 437-12, Japan
Tel 81-538-58-1266Fax 81-538-58-1393


1,2,3-¥È¥ê¥á¥Á¥ë¥Ù¥ó¥¼¥ó¤Î¥é¥Ã¥È¤òÍѤ¤¤ë
28Æü´ÖÈ¿Éü·Ð¸ýÅêÍ¿ÆÇÀ­»î¸³(Äɲû)

Twenty-eight-day Repeat Dose Oral Toxicity Test of
1,2,3-Trimethylbenzene in Rats(Additional test)

Í×Ìó

Àè¤Ë¼Â»Ü¤·¤¿ 1,2,3-¥È¥ê¥á¥Á¥ë¥Ù¥ó¥¼¥ó¤ÎSD·Ï¥é¥Ã¥È¤òÍѤ¤¤ë¶¯À©·Ð¸ýÅêÍ¿¤Ë¤è¤ë28Æü´ÖÈ¿ÉüÅêÍ¿ÆÇÀ­»î¸³¤Ë¤ª¤¤¤ÆºÇÄãÍÑÎ̤Î100 mg/kg·²¤Ç¤â»óͺ¤Ç³èÀ­²½Éôʬ¥È¥í¥ó¥Ü¥×¥é¥¹¥Á¥ó»þ´Ö(APTT)¡¤¤µ¤é¤Ëͺ¤Î100 mg/kg·²¤Ç¥×¥í¥È¥í¥ó¥Ó¥ó»þ´Ö(PT)¤Î±äĹ·¹¸þ¤¬Ç§¤á¤é¤ì¤¿¤¿¤á¡¤Ìµ±Æ¶ÁÎ̤ò¸«¤¤½Ð¤¹¤¿¤á¤ÎÄɲû¤ò¼Â»Ü¤·¤¿¡¥

¥é¥Ã¥È¤Ï 1·²»óͺ³Æ5ɤ¤Ç4»î¸³·²¡¤·×40ɤ¤ò»ÈÍѤ·¤¿¡¥

1,2,3-¥È¥ê¥á¥Á¥ë¥Ù¥ó¥¼¥ó¤Ï¡¤¥³¡¼¥óÌý¤ËÍϲò¤·¡¤0¡¤3¡¤10¤ª¤è¤Ó30 mg/kg¤òËèÆü1²ó¡¤4½µ´ÖϢ³·Ð¸ýÅêÍ¿¤·¡¤°ìÈ̾õÂ֤δѻ¡¡¤ÂνŬÄꡤÀݱÂÎ̬Äꡤ·ì±Õ¶Å¸Çǽ¸¡ºº¡¤·ì±ÕÀ¸²½³Ø¸¡ºº(GOT¤ª¤è¤Ó±öÁǤΤß)¤ª¤è¤ÓÉÂÍý³ØÅª¸¡ºº(˶¸¡)¤ò¹Ô¤Ã¤¿¡¥

¤½¤Î·ë²Ì¤Ï¡¤¼¡¤Î¤È¤ª¤ê¤Ç¤¢¤Ã¤¿¡¥

°ìÈ̾õÂ֤δѻ¡¤Ç¤Ï¡¤»óͺ¤È¤âÅêÍ¿´ü´Ö¤òÄ̤¸¤Æ°Û¾ïưʪ¤Ïǧ¤á¤é¤ì¤Ê¤«¤Ã¤¿¡¥

Âνš¤ÀݱÂÎ̤ª¤è¤Ó»ôÎÁ¸úΨ¤Ï¡¤»óͺ¤È¤â·²´Ö¤Çº¹¤¬Ç§¤á¤é¤ì¤Ê¤«¤Ã¤¿¡¥

·ì±Õ¶Å¸Çǽ¸¡ºº¤Ç¤Ï¡¤³èÀ­²½Éôʬ¥È¥í¥ó¥Ü¥×¥é¥¹¥Á¥ó»þ´Ö (APTT)¡¤¥×¥í¥È¥í¥ó¥Ó¥ó»þ´Ö(PT)¤ª¤è¤Ó¥Õ¥£¥Ö¥ê¥Î¡¼¥²¥óÎ̤Τ¤¤º¤ì¤â¡¤»óͺ¤È¤â¤ËÈ︳ʪ¼ÁÅêÍ¿·²¤ÈÂоȷ²¤È¤Çº¹¤¬Ç§¤á¤é¤ì¤Ê¤«¤Ã¤¿¡¥

·ì±ÕÀ¸²½³Ø¸¡ºº¤Î·ë²Ì¡¤»óͺ¤Î¤¹¤Ù¤Æ¤ÎÈ︳ʪ¼ÁÅêÍ¿·²¤È¤â GOT¤ª¤è¤Ó±öÁǤÎ2¹àÌܤˤĤ¤¤Æ¡¤Âоȷ²¤Èº¹¤¬Ç§¤á¤é¤ì¤Ê¤«¤Ã¤¿¡¥

ÉÂÍý³ØÅª¸¡ºº¤Î·ë²Ì¡¤È︳ʪ¼Á¤Î±Æ¶Á¤¬¼¨º¶¤µ¤ì¤ëÆù´ã½ê¸«¤Ï»óͺ¤¤¤º¤ì¤Î·²¤Ë¤âǧ¤á¤é¤ì¤Ê¤«¤Ã¤¿¡¥

°Ê¾å¤Î¤³¤È¤«¤é¡¤Ìµ±Æ¶ÁÎ̤ϻóͺ¤È¤â 30 mg/kg/day¤ÈȽÃǤµ¤ì¤¿¡¥

ºàÎÁ¤ª¤è¤ÓÊýË¡

1.¡¡È︳ʪ¼Á

1,2,3-¥È¥ê¥á¥Á¥ë¥Ù¥ó¥¼¥ó(CAS No.526-73-8¡¤Åìµþ²½À®¹©¶È(³ô)Äó¶¡)¤Ï̵¿§Æ©ÌÀ¤Î±ÕÂΤǡ¤Èó¿åÍÏÀ­¡¤Ê¬»Ò¼°C9H12¡¤Ê¬»ÒÎÌ120.20¤Î²½¹çʪ¤Ç¤¢¤ë¡¥Ëܻ¤ËÍѤ¤¤¿¥í¥Ã¥ÈFJA01¤Î½ãÅÙ¤Ï99.8¡ó¤Ç¤¢¤Ã¤¿¡¥

2.¡¡¶¡»îưʪ

¶¡»î¤·¤¿¥é¥Ã¥È [Crj:CD(SD)·Ï¡¤SPF]¤ÏÆüËÜ¥Á¥ã¡¼¥ë¥¹¡¦¥ê¥Ð¡¼(³ô)(¿ÀÆàÀ)¤«¤é4½µÎð¤Ç¹ØÆþ¤·¤¿¡¥Æ°Êª¤ò¸¡¼ý¸å¡¤»î¸³´Ä¶­¤Ë8Æü´ÖÆë²½¤µ¤»¤¿¸å¡¤6½µÎð¤ÇÅêÍ¿¤ò³«»Ï¤·¤¿¡¥Æ°Êª¤Ï¤¢¤é¤«¤¸¤áÂνŤˤè¤Ã¤ÆÁØÊ̲½¤·¡¤Ìµºî°ÙÃê½ÐË¡¤Ë¤è¤ê³Æ»î¸³·²¤ò¹½À®¤¹¤ë¤è¤¦¤Ë·²Ê¬¤±¤·¤¿¡¥Æ°Êª¤Î¼±Ê̤ϡ¤¸ÄÊÌ»ô°é¥±¡¼¥¸¤Ëưʪɸ¼±ÈÖ¹æ(Animal ID-No.)¤òÉÕ¤¹¤³¤È¤Ë¤è¤ê¹Ô¤Ã¤¿¡¥ÅêÍ¿³«»Ï»þ¤ÎÂνŤÏͺ¤Ç130¡Á144 g¡¤»ó¤Ç104¡Á121 g¤Ç¤¢¤Ã¤¿¡¥

3.¡¡»ô°é¾ò·ï

ưʪ¤Ï¥Ð¥ê¥¢¥·¥¹¥Æ¥à¤Î»ô°é¼¼¤Ç»ô°é¤·¡¤´Ä¶­Ä´Àá¤ÎÌÜɸÃͤϲ¹ÅÙ 23¡Þ2¡î¡¤ÁêÂм¾ÅÙ55¡Þ10¡ó¡¤´¹µ¤²ó¿ô20²ó¡¿»þ¡¤¾ÈÌÀ150¡Á300 lux¡¤12»þ´Ö(¸áÁ°7»þÅÀÅô¡¤¸á¸å7»þ¾ÃÅô)¤È¤·¤¿¡¥(³ô)Åìµþµ»¸¦¥µ¡¼¥Ó¥¹¤Î¿åÀö¼°»ô°éµ¡¤ò»ÈÍѤ·¡¤¶â°À½Á°ÌÌ¡¦¾²ÌÖÌÜ»ô°é¥±¡¼¥¸¤Ëưʪ¤ò1ɤ¤º¤Ä¼ýÍÆ¤·¡¤¥ª¥ê¥¨¥ó¥¿¥ë¹ÚÊ칩¶È(³ô)À½Â¤¤ÎÊü¼ÍÀþÌǶݲþÎÉNIH¸ø³«¥é¥Ã¥È¡¦¥Þ¥¦¥¹»ôÎÁ¤ª¤è¤Ó¿åÆ»¿å¤ò¼«Í³¤ËÀݼ褵¤»¤¿¡¥»ô°é¥±¡¼¥¸¤Ï³Ö½µ1²ó¡¤µë±Â´ï¤Ï½µ1²ó¼è¤ê´¹¤¨¤¿¡¥

¤Ê¤ª¡¤Æ°Êª¤ÎÆë²½´ü´Ö¤ò´Þ¤á¡¤ÅêÍ¿¤ª¤è¤Ó²óÉü´ü´ÖÃæ¡¤¥Ç¡¼¥¿¤Î¿®ÍêÀ­¤Ë±Æ¶Á¤òµÚ¤Ü¤·¤¿¤È»×¤ï¤ì¤ë´Ä¶­Í×°ø¤ÎÊѲ½¤Ï¤Ê¤«¤Ã¤¿¡¥

4.¡¡»î¸³·²¤Î¹½À®

»î¸³·²¤Ï 0¡¤3¡¤10¤ª¤è¤Ó30 mg/kg¤Î4·²¤È¤·¡¤1·²»óͺ³Æ5ɤ¡¤·×40ɤ¤ò»ÈÍѤ·¤¿¡¥

¡ÌÍÑÎÌÀßÄêÍýͳ¡Í

28Æü´ÖÈ¿ÉüÅêÍ¿ÆÇÀ­»î¸³¤ò0¡¤100¡¤300¤ª¤è¤Ó1000 mg/kg¤Ç¼Â»Ü¤·¤¿·ë²Ì¡¤»óͺ¤È¤â100 mg/kg¤Ë¤ª¤¤¤Æ¤âPT¡¤APTT¤Î±äŤΤߤ¬±Æ¶Á¤È¤·¤ÆÇ§¤á¤é¤ì¤¿¡¥Ìµ±Æ¶ÁÎ̤òÇİ®¤¹¤ë¤¿¤á¡¤¤µ¤é¤Ë¸øÈæÌó3¤Ç30¡¤10¤ª¤è¤Ó3 mg/kg¤òÀßÄꤷ¤¿¡¥

5.¡¡ÅêÍ¿ÊýË¡

È︳ʪ¼Á¤ÎÅêÍ¿·ÐÏ©¤Ï·Ð¸ý¤È¤·¤¿¡¥È︳ʪ¼Á¤Ï¥³¡¼¥óÌý¤ËÍϲò¤·¡¤°ß¥¾¥ó¥Ç¤òÍѤ¤¤Æ·Ð¸ýÅêÍ¿¤·¤¿¡¥ÅêÍ¿ÍÆÎ̤ÏÂνŠ100 gÅö¤ê0.5 ml¤È¤·¤¿¡¥Âоȷ²¤Ë¤ÏÍÏÇޤΤßÅêÍ¿¤·¤¿¡¥

6.¡¡ÅêÍ¿±Õ¤ÎÄ´À½¡¤Ê¬ÀÏ

È︳ʪ¼Á¤Ï¡¤³ÆÍÑÎÌ (3¡¤10¤ª¤è¤Ó30 mg/kg)¤´¤È¤Ë½êÄêÎ̤òÀºÇ餷¡¤¥³¡¼¥óÌý(¥Ê¥«¥é¥¤¥Æ¥¹¥¯(³ô))¤ËÍϲò¤·¤¿¡¥ÅêÍ¿±Õ¤ÏÄ´À½¸å¡¤Î䢸ËÊݸ¤Ç1½µ´Ö°ÂÄê¤Ç¤¢¤ë¤³¤È¤¬³Îǧ¤µ¤ì¤Æ¤¤¤ë¤Î¤Ç¡¤Ëܻ¤Ë¤ª¤¤¤Æ¤ÏËè½µ1²óÄ´À½¤ò¹Ô¤¤¡¤1ÆüʬËè¤Ë¾®Ê¬¤±¤ò¤·»ÈÍÑ»þ¤Þ¤ÇÎ䢸ˤËÊݴɤ·¤¿¡¥ÅêÍ¿±Õ¤ÎÇ»ÅÙʬÀϤò¤¹¤Ù¤Æ¤Î·²¤Ë´Ø¤·ÅêÍ¿1¤ª¤è¤Ó4½µ¤ÎÄ´À½±Õ¤Ë¤Ä¤¤¤Æ¼Â»Ü¤·¤¿·ë²Ì¡¤ÀßÄêÇ»ÅÙ¤Î89.5¡Á99.3¡ó¤ÎÈϰϤǤ¢¤ê¡¤Å¬ÀÚ¤ËÄ´À½¤µ¤ì¤Æ¤¤¤¿¡¥

7.¡¡ÅêÍ¿´ü´Ö

ÅêÍ¿´ü´Ö¤Ï 28Æü´Ö¤È¤·¤¿¡¥

8.¡¡´Ñ»¡¡¤Â¬Äꤪ¤è¤Ó¸¡ºº

1)¡¡°ìÈ̾õÂ֤δѻ¡

Á´Æ°Êª¤òËèÆü¸áÁ°¡¤¸á¸å¤Î 2²ó´Ñ»¡¤·¡¤ÃæÆÇ¾É¾õ¤Î̵ͭ¡¤¹Ôư°Û¾ï¡¤»à´ü¤ÎÇ÷¤Ã¤¿Æ°Êª¤ª¤è¤Ó»à˴ưʪ¤Î̵ͭÅù¤òµ­Ï¿¤·¤¿¡¥

2)¡¡ÂΡ¡¡¡½Å

ÅêÍ¿³«»Ï¤«¤éÅêÍ¿½ªÎ»»þ¤Þ¤Ç¡¤Ëè½µ 1²ó¬Äꤷ¤¿¡¥

3)¡¡ÀݱÂÎÌ

Ëè½µ 1²óµë±Â¤·¤¿»ÄÎ̤ò¬Äꤷ¡¤»ôÎÁÀݼèÎÌ(g/week)¤ò»»½Ð¤·¤¿¡¥

4)¡¡Î×¾²¸¡ºº

ÅêÍ¿½ªÎ»»þ¤Ë¼Â»Ü¤·¤¿¡¥

ºÎ·ì¤¹¤ë¤ËÅö¤ê¡¤Æ°Êª¤ÏÌó 16»þ´ÖÀä¿©¤µ¤»¤¿¡¥Æ°Êª¤ò¥¨¡¼¥Æ¥ë¤ÇËã¿ì¸å³«Ê¢¤·¡¤Ê¢ÉôÂçÆ°Ì®¤«¤éºÎ·ì¤·¤¿¡¥

a.¡¡·ì±Õ¶Å¸Çǽ¸¡ºº

¥¯¥¨¥ó»À¥½¡¼¥Àź²Ã·ì±Õ¤Î·ìÞù¤Ë¤Ä¤¤¤Æ¡¤¥×¥í¥È¥í¥ó¥Ó¥ó»þ´Ö (Quick 1ÃÊË¡)¡¤³èÀ­²½Éôʬ¥È¥í¥ó¥Ü¥×¥é¥¹¥Á¥ó»þ´Ö(¥¯¥í¥Ã¥ÈË¡)¤ª¤è¤Ó¥Õ¥£¥Ö¥ê¥Î¡¼¥²¥óÎÌ(¥È¥í¥ó¥Ó¥ó»þ´ÖË¡)¤ò·ì±Õ¶Å¸Ç¼«Æ°Â¬ÄêÁõÃÖKC-40(ÆÈ¹ñAmelung¼Ò)¤òÍѤ¤¤ÆÂ¬Äꤷ¤¿¡¥

b.¡¡·ì±ÕÀ¸²½³Ø¸¡ºº

·ìÀ¶¤òÍѤ¤¤Æ¡¤±öÁÇ (ÅŶËË¡)¤òEKTACHEM 700N(ÊÆ¹ñ¥³¥À¥Ã¥¯¼Ò)¤Ç¡¤¥°¥ë¥¿¥ß¥ó»À¥ª¥­¥¶¥í¿Ý»À¥È¥é¥ó¥¹¥¢¥ß¥Ê¡¼¥¼(GOT:Karmen²þÎÉË¡)¤òCentrifiChem ENCORE­¶(ÊÆ¹ñ¥Ù¡¼¥«¡¼¼Ò)¤Ç¬Äꤷ¤¿¡¥

5)¡¡ÉÂÍý³Ø¸¡ºº

ÉÂÍý²ò˶¤ÏÅêÍ¿½ªÎ»»þ¤Ëưʪ¤ò¥¨¡¼¥Æ¥ëËã¿ì¤·¡¤Êü·ìÃ׻व¤»¼Â»Ü¤·¤¿¡¥Æù´ãŪ°Û¾ï¤òÉÂÍý²ò˶½ê¸«µ­Ï¿¥·¡¼¥È¤Ëµ­Ï¿¤·¤¿¡¥¤Þ¤¿¡¤´Î¡¡¤¿Õ¡¡¤ç£Â¡¤ª¤è¤Ó¹ü¿ñ (ÂçÂܹü)¤Ë¤Ä¤¤¤Æ10¡óÃæÀ­´Ë¾×¥Û¥ë¥Þ¥ê¥ó±Õ¤Ç¸ÇÄꤷÊݸ¤·¤¿¡¥

6)¡¡¥Ç¡¼¥¿¤Îµ­Ï¿¤ª¤è¤ÓÅý·×ʬÀÏ

³Æ»î¸³·²¤ÎÂνš¤ÀݱÂÎÌ¡¤·ì±Õ¶Å¸Çǽ¸¡ººÃͤª¤è¤Ó·ì±ÕÀ¸²½³Ø¸¡ººÃͤϡ¤²¼µ­¤Ë¼¨¤·¤¿¼«Æ°È½ÊÌÊý¼°¤Ë½¾¤¤¡¤ºÇ½é¤Ë Bartlett¤ÎÅùʬ»¶¸¡Äê¤ò¼Â»Ü¤·¤¿¡¥Åùʬ»¶¤Î¾ì¹ç¤Ï°ì¸µÇÛÃÖ¤Îʬ»¶Ê¬ÀϤò¹Ô¤¤¡¤Ê¬»¶¤¬Í­°Õ¤Ç³Æ·²¤ÎɸËÜ¿ô¤¬Æ±¿ô¤Î¾ì¹ç¤ÏDunnett¤Î¿½ÅÈæ³Ó¸¡Äꡤ³Æ·²¤ÎɸËÜ¿ô¤¬°Û¤Ê¤ë¾ì¹ç¤ÏDuncan¤Î¿½ÅÈϰϸ¡Äê¤ÇÂоȷ²¤È³ÆÅêÌô·²´Ö¤ÎÍ­°Õº¹¤ò¸¡Äꤷ¤¿¡¥Bartlett¤ÎÅùʬ»¶¸¡Äê¤ÇÉÔÅùʬ»¶¤Î¾ì¹ç¤ÏKruskal-Wallis¤Î½ç°Ì¸¡Äê¤ò¼Â»Ü¤·¡¤Í­°Õ¤Î¾ì¹ç¤Ï¥Î¥ó¥Ñ¥é¥á¥È¥ê¥Ã¥¯¤ÎDunnett¤Î¿½ÅÈæ³Ó¸¡Äê¤ÇÂоȷ²¤È³ÆÅêÌô·²´Ö¤ÎÍ­°Õº¹¤ò¸¡Äꤷ¤¿¡¥¤Þ¤¿¡¤ÉÂÍý³ØÅª¸¡ºº·ë²Ì¤Ë¤Ä¤¤¤Æ¤ÏFisher¤ÎľÀܳÎΨ¸¡Äê¤ò¼Â»Ü¤·¤¿¡¥

Í­°Õ¿å½à¤Ï5¤ª¤è¤Ó1¡ó¤ÎÊÒ¦¸¡Äê¤Ç¼Â»Ü¤·¤¿¡¥

»î¸³·ë²Ì

1.¡¡»à˴Ψ

ÅêÍ¿´ü´ÖÃæ¡¤»óͺ¤È¤â¤¤¤º¤ì¤Î·²¤Ë¤â»àË´Îã¤Ïǧ¤á¤é¤ì¤Ê¤«¤Ã¤¿¡¥

2.¡¡°ìÈ̾õÂ֤δѻ¡

»óͺ¤¤¤º¤ì¤Î·²¤Ë¤â°Û¾ïưʪ¤Ïǧ¤á¤é¤ì¤Ê¤«¤Ã¤¿¡¥

3.¡¡ÂΡ¡¡¡½Å

»óͺ¤È¤âÁ´ÅêÍ¿´ü´Ö¤òÄ̤¸¤Æ¡¤Âоȷ²¤ÈÈ︳ʪ¼ÁÅêÍ¿·²¤È¤ÇÍ­°Õº¹¤¬Ç§¤á¤é¤ì¤Ê¤«¤Ã¤¿¡¥

4.¡¡ÀÝ ±Â ÎÌ

»óͺ¤È¤â¡¤ÅêÍ¿´ü´Ö¤òÄ̤¸¤Æ·²´Ö¤Çº¹¤¬Ç§¤á¤é¤ì¤Ê¤«¤Ã¤¿¡¥

5.¡¡·ì±Õ¶Å¸Çǽ¸¡ºº(Table 1)

»óͺ¤È¤â PT¡¤APTT¤ª¤è¤Ó¥Õ¥£¥Ö¥ê¥Î¡¼¥²¥óÎ̤Î3¸¡ºº¹àÌܤˤĤ¤¤Æ·²´Ö¤Çº¹¤Ïǧ¤á¤é¤ì¤Ê¤«¤Ã¤¿¡¥

6.¡¡·ì±ÕÀ¸²½³Ø¸¡ºº(Table 2)

»óͺ¤È¤â GOT¤ª¤è¤Ó±öÁǤÏÈ︳ʪ¼ÁÅêÍ¿·²¤ÈÂоȷ²¤È¤Çº¹¤¬Ç§¤á¤é¤ì¤Ê¤«¤Ã¤¿¡¥

7.¡¡ÉÂÍý³Ø¸¡ºº

a)¡¡Ë¶¸¡½ê¸«

È︳ʪ¼ÁÅêÍ¿·²¤Ç¿¤¯´Ñ»¡¤µ¤ì¤¿½ê¸«¤Ï¤Ê¤¯¡¤´Ñ»¡¤µ¤ì¤¿½ê¸«¤Ï¡¤¤¤¤º¤ì¤âñȯÀ­¤ÎȯÀ¸¤Ç¤¢¤Ã¤¿¡¥

¹Í»¡¤ª¤è¤Ó·ëÏÀ

»óͺ¤È¤âÅêÍ¿´ü´Ö¤òÄ̤¸¤Æ»àË´Îã¤Ï¤Ê¤¯¡¤°ìÈ̾õÂ֤˰۾ï¤Î¤¢¤ëưʪ¤Ï´Ñ»¡¤µ¤ì¤Ê¤«¤Ã¤¿¡¥

Âνš¤ÀݱÂÎ̤ª¤è¤Ó»ôÎÁ¸úΨ¤Ï¡¤»óͺ¤È¤âÈ︳ʪ¼ÁÅêÍ¿·²¤Çº¹¤¬Ç§¤á¤é¤ì¤Ê¤«¤Ã¤¿¡¥

·ì±Õ¶Å¸Çǽ¸¡ºº¤Ë¤Ä¤¤¤Æ¤Ï¡¤Á°»î¸³ (ÅêÍ¿ÎÌ0¡¤100¡¤300¤ª¤è¤Ó1000 mg/kg)¤Çǧ¤á¤é¤ì¤¿PT¤ª¤è¤ÓAPTT¤Î±äĹ·¹¸þ¤¬¡¤»óͺ¤Î30 mg/kg·²¤Ç¤Ïǧ¤á¤é¤ì¤Ê¤«¤Ã¤¿¡¥

·ì±ÕÀ¸²½³ØÅª¸¡ºº¤Î·ë²Ì¡¤ GOT¤ª¤è¤Ó±öÁǤϡ¤»óͺ¤È¤âÂоȷ²¤ÈÈ︳ʪ¼ÁÅêÍ¿·²¤È¤Çº¹¤¬Ç§¤á¤é¤ì¤Ê¤«¤Ã¤¿¡¥

˶¸¡½ê¸«¤Ë¤âÈ︳ʪ¼ÁÅêÍ¿¤È´ØÏ¢¤Å¤±¤é¤ì¤ë°Û¾ï¤Ïǧ¤á¤é¤ì¤Ê¤«¤Ã¤¿¡¥

°Ê¾å¤Î¤³¤È¤«¤é¡¤Ìµ±Æ¶ÁÎ̤ϻóͺ¤È¤â 30 mg/kg/day¤ÈȽÃǤµ¤ì¤¿¡¥

Ï¢ÍíÀè
»î¸³ÀÕǤ¼Ô¡§°æ¾åÇîÇ·
»î¸³Ã´Åö¼Ô¡§³ÆÌ³¡¡¿Ê¡¤¾±»ÒÌÀÆÁ¡¤ÅÏ¡¡½¤ÌÀ¡¤
¾®ÎÓÏÂͺ¡¤¾¾ÌÚͳ²Ã
¡Êºâ¡Ë¿©ÉÊÇÀ°åÌôÉʰÂÁ´À­É¾²Á¥»¥ó¥¿¡¼
¢©437-12 ÀŲ¬¸©ÈØÅÄ·´Ê¡ÅÄÄ®±ö¿·ÅÄ»ú¹ÓÉÍ 582-2
Tel 0538-58-1266Fax 0538-58-1393

Correspondence
Authors:Hiroyuki Inoue(Study director),
Susumu Kakamu, Akinori Shoji, Nobuaki Watari,
Kazuo Kobayashi, Yuka Matuki
Biosafety Research Center, Foods, Drugs and Pesticides(An-pyo Center)
582-2 Shioshinden Aza Arahama, Fukude-cho, Iwata-gun, Shizuoka, 437-12, Japan
Tel 81-538-58-1266Fax 81-538-58-1393