ビス(1-メチルエチル)ナフタレンのチャイニーズ・ハムスター培養細胞を用いる
染色体異常試験

In Vitro Chromosomal Aberration Test of Bis(1-methylethyl)naphthalene
on Cultured Chinese Hamster Cells

要約

ビス(1-メチルエチル)ナフタレンの染色体異常誘発性の有無を検討するため,チャイニーズ・ハムスター肺由来の線維芽細胞株(CHL/IU)を用いてin vitroにおける染色体異常試験を実施した.

染色体異常試験に用いる濃度を決定するため,細胞増殖抑制試験を行った結果,連続処理法の場合は,24時間および48時間処理でそれぞれ100および50 μg/mL以上の濃度で50 %を上回る細胞増殖抑制が認められた.短時間処理法の場合は,S9 mix非存在下では50 μg/mL以上の濃度で50 %を上回る細胞増殖抑制が認められたが,S9 mix存在下では,50 %を上回る細胞増殖抑制は認めらなかった.したがって,染色体異常試験における濃度は,連続処理法の場合,24時間処理では6.25,12.5,25,50,75および100 μg/mL,48時間処理では6.25,12.5,25,37.5,50および75 μg/mL,短時間処理法の場合,S9 mix非存在下では6.25,12.5,25,37.5,50および75 μg/mL,S9 mix存在下では140.63,281.25,562.5,1125,2250および4500 μg/mLとした.

試験の結果,連続処理法においては,染色体異常を有する細胞の増加は認められなかった.24時間処理の75 μg/mL以上および48時間処理の100 μg/mLでは,細胞に対する毒性のため観察可能な分裂中期像は認められなかった.短時間処理法においては,S9 mix非存在下では染色体異常を有する細胞の増加は認められなかったが,S9 mix存在下では140.63,281.25および562.5 μg/mLで濃度依存的な染色体構造異常細胞の有意な増加(出現頻度7.5,10.5および11.5 %)が認められた.S9 mix非存在下の75 μg/mLでは細胞に対する毒性のため観察可能な分裂中期像は認められなかった.

以上の成績から,ビス(1-メチルエチル)ナフタレンは,CHL/IU細胞に対し染色体異常を誘発する(陽性)と結論した.

方法

1. 試験細胞株

国立医薬品食品衛生研究所変異遺伝部(元:国立衛生試験所変異原性部)から昭和60年1月13日に分与を受けたチャイニーズ・ハムスター肺由来の線維芽細胞株(CHL/IU)を使用した.供試細胞は,浮遊細胞液に10 vol%の割合でジメチルスルホキシド(DMSO,和光純薬工業(株))を添加し,液体窒素条件下で保存したものを培養液に戻し,解凍後の継代数が6回までのものを使用した.

2. 培養液

Eagle-MEM粉末培地(Gibco Laboratories)を常法に従い調製し,これに非働化仔牛血清(Gibco Laboratories)を10 vol%の割合で添加したものを用いた.

3. 培養条件

4×10^3個/mLの細胞を含む培養液5 mLをディッシュ(径6 cm, Becton Dickinson Co.)に加え,37℃のCO2インキュベーター(5 % CO2)内で培養した.

連続処理法では,培養開始3日後に被験物質を加え,24時間および48時間処理した.また,短時間処理法では,培養開始3日後にS9 mix非存在および存在下で6時間処理し,処理終了後,新鮮培養液でさらに18時間培養した.

4. S9 mix

製造後6ヶ月以内の染色体異常試験用凍結S9 mix(キッコーマン(株))を購入し,使用した.S9は,誘導剤としてフェノバルビタールおよび5,6-ベンゾフラボンを投与したSprague-Dawley系雄ラットの肝臓から調製されたものである.

5. 被験物質

ビス(1-メチルエチル)ナフタレン(ロット番号7Y251,呉羽化学工業(株),東京)は,無色透明の液体で,水およびDMSOに不溶,アセトンに可溶であり,純度98.44 %(不純物としてビス(1-メチルエチル)テトラリン1.10 %およびトリス(1-メチルエチル)ナフタレン0.43 %を含む)の物質である.

実験終了後,被験物質提供元において残余被験物質を分析した結果,安定性に問題はなかった.

6. 被験物質供試液の調製

溶媒にアセトン(和光純薬工業(株))を用い,被験物質を溶解して最高濃度の供試液(原液)を調製した.この原液の一部を溶媒で順次希釈して所定濃度の供試液を調製した.供試液は,用時調製し,そのディッシュ内への添加量は培養液量の0.5 vol%とした.

7. 細胞増殖抑制試験

染色体異常試験に用いる被験物質の処理濃度を決定するため,被験物質の細胞増殖に及ぼす影響を調べた.

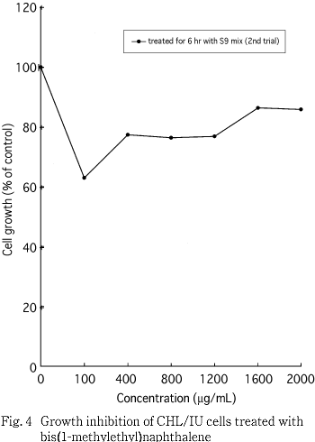
100 μg/mL以上の供試液は,培養液内に添加すると直ちに油滴様の被験物質の析出が認められた.この油滴様物は100〜400 μg/mLにおいては微細なもので,ディッシュの底,培養液内および培養液の表面に分散したが,800 μg/mL以上では大きなひと固まりの油滴様物として培養液表面に浮遊し,培養液内への分散は認められなかった.培養終了時にも200 μg/mL以上で添加時と同様の油滴様物の残存が認められた.培養終了後,0.1 w/v%クリスタルバイオレット水溶液で染色した細胞の密度を単層培養細胞密度計(MonocellaterTM,オリンパス光学工業(株))を用いて測定し,溶媒対照群の細胞増殖率を100 %とした時の各濃度群の細胞増殖率を求めた.

その結果(Fig. 1〜5),連続処理法の場合は,24時間処理で100 μg/mL以上,48時間処理では50 μg/mL以上の濃度で,50 %を上回る細胞増殖抑制が認められ,50 %細胞増殖抑制濃度は,それぞれ50〜100 μg/mL間および25〜50 μg/mL間にあるものと判断された.短時間処理法の場合は,S9 mix非存在下では50 μg/mL以上で 50 %を上回る細胞増殖抑制が認めらた.S9 mix存在下では,12.5〜4500 μg/mLのいずれの濃度においても50 %を上回る細胞増殖抑制は認められなかった.すなわち,100〜400 μg/mLの範囲で概ね濃度に依存した細胞増殖の抑制傾向が認められたが,抑制率は50 %に到らず,実験を3回繰り返して最高4500 μg/mL(供試液作製可能な最高濃度)まで細胞増殖率を測定したが,高濃度はむしろ抑制率が低下する傾向にあった.

8. 実験群の設定

細胞増殖抑制試験の結果から,染色体異常試験における被験物質の濃度は,50 %細胞増殖抑制濃度の前後が含まれ,かつ3濃度以上のデータが得られることを考慮して,連続処理法の場合は,6.25,12.5,25,50および 100 μg/mL(公比2)の5濃度に,24時間処理では75 μg/mL,48時間処理では37.5 μg/mLを加えた6濃度を設定した.短時間処理法の場合は,S9 mix非存在下では6.25,12.5,25,50および75 μg/mLに,37.5 μg/mLを加えた6濃度を設定した.S9 mix存在下においては,100〜400 μg/mLで細胞増殖の抑制傾向が認められたものの,4500 μg/mLにおいても50 %を上回る細胞増殖抑制が認められなかったことから,100 μg/mLあたりまでが含まれる広い範囲の設定を考え,4500 μg/mLを最高濃度とし,以下公比2で2250,1125,562.5,281.25および140.63 μg/mLの6濃度とした.対照として,溶媒対照群と陽性対照群を設けた.

陽性対照として,連続処理法では1-methyl-3-nitro-1-nitrosoguanidine(MNNG, Aldrich Chemical Co.)を2.5 μg/mL,短時間処理法では3,4-benzo[a]pyrene(B[a]P, Sigma Chemical Co.)を10 μg/mLの濃度で用いた.陽性対照物質の溶媒には,いずれもDMSO(和光純薬工業(株))を使用した.

9. 染色体標本の作製

培養終了2時間前にコルセミド(Gibco Laboratories)を最終濃度として0.2 μg/mLとなるように添加した.トリプシン処理で細胞を剥離し,遠心分離により細胞を回収した.75 mM塩化カリウム水溶液で低張処理後,用時調製した冷却メタノール・酢酸(3:1)混合液で細胞を固定した.空気乾燥法で染色体標本を作製した後,1.4 vol%ギムザ液で約15分間染色した.スライド標本は,各ディッシュにつき3枚作製した.

10. 染色体の観察

各ディッシュあたり100個,すなわち,1濃度当たり2ディッシュ,200個の分裂中期像を,総合倍率600倍の顕微鏡下で観察した.標本は全てコード化し,盲検法で観察を行った.染色体の分析は,日本環境変異原学会・哺乳動物試験分科会(MMS)による分類法1)に基づいて行い,染色体型あるいは染色分体型のギャップ,切断,交換などの構造異常と倍数性細胞(Polyploid)の有無について観察した.

11. 記録と判定

観察した細胞数,構造異常の種類と数および倍数性細胞の数について集計し,構造異常を有する細胞については,ギャップのみを有する細胞を含めた場合(+g)と含めない場合(-g)とに区別して記録した.

ギャップを含めた染色体構造異常細胞および倍数性細胞の出現頻度について,多試料χ^2検定を行い有意差(有意水準5 %以下)が認められた場合は,フィッシャーの直接確率法を用いて溶媒対照群と各濃度群との間の有意差検定(有意水準は多重性を考慮して,5 %または1 %を処理群の数で割ったものを用いた.)を行った.

その結果,溶媒対照群と比較して,被験物質による染色体異常細胞の出現頻度が2濃度以上で有意に増加し,かつ濃度依存性あるいは再現性が認められた場合,陽性と判定した.

結果および考察

連続処理法による結果をTable 1に示した.ビス(1-メチルエチル)ナフタレンを加えて24時間および48時間処理したいずれの濃度群においても,染色体の構造異常および倍数性細胞の誘発は認められなかった.被験物質供試液のディッシュ内添加時,100 μg/mLでのみ被験物質の析出による細かな油滴様物が認められたが,培養終了時には認められなかった.

短時間処理法による結果をTable 2に示した.S9 mix非存在下では,染色体の構造異常および倍数性細胞の誘発作用は認められなかった.S9 mix存在下では,140.63,281.25および562.5 μg/mLで濃度依存的な染色体構造異常細胞の有意な増加(出現頻度7.5,10.5および11.5 %)が認められたが,1125 μg/mL以上では構造異常を有する細胞の有意な増加は認められなかった.S9 mix非存在および存在下ともに,倍数性細胞の誘発作用は認められなかった.S9 mix存在下の140.63 μg/mL以上で,被験物質供試液をディッシュ内に添加した直後に被験物質の析出による油滴様物が認められ,140.63〜562.5 μg/mLでは微細なものが培養液中に分散して存在したが,1125 μg/mL以上では大きなひと固まりの油滴様物として培養液表面に浮遊した.培養終了時には,281.25 μg/mL以上で同様の油滴様物の残存が認められた.

連続処理法24時間処理の75 μg/mL以上,48時間処理の100 μg/mLおよび短時間処理法S9 mix非存在下の75 μg/mLでは,被験物質の細胞に対する毒性のため,観察可能な分裂中期像が認められなかった.

以上の成績から,本実験条件下ではビス(1-メチルエチル)ナフタレンのCHL/IU細胞に対する染色体異常誘発性は陽性と判定した.短時間処理法S9 mix存在下の高濃度で構造異常細胞の増加が認められなかったことについては,被験物質が析出して大きなひと固まりとなるため培養液中に分散せず,細胞が被験物質により十分暴露されなかったことによるものと推察される.細胞増殖抑制試験において,高濃度処理群では細胞増殖抑制が認められなかったことも同様の原因によるものと考えられる.ビス(1-メチルエチル)ナフタレンの染色体構造異常の誘発は,その代謝物の作用によることが考えられる一方で,析出した本被験物質の細胞への物理的刺激による影響も考えられた.なお,本被験物質の化学構造における母核のナフタレンは,CHL/IU細胞を用いた染色体異常試験において短時間処理法S9 mix存在下で構造異常細胞の誘発が認められ2),ナフタレンの代謝物による影響が示唆されている.本試験結果は,CHL/IU細胞において,染色体異常を有する細胞の出現頻度が10 %以上を陽性とする石館らの判定基準3)からみても明らかに陽性を示すものであった.陽性結果が得られたためD20値4) (分裂中期像の20 %に異常を誘発させる被験物質の推定濃度)を算出したところ,本被験物質のD20値は,短時間処理法において0.88 mg/mL であった.

文献

1)日本環境変異原学会・哺乳動物試験分科会編,"化学物質による染色体異常アトラス,"朝倉書店,東京,1988, pp. 16-37.
2)祖父尼俊雄 監修,"改訂1998版 染色体異常試験データ集,"エル・アイ・シー,東京,1999, p. 346.
3)石館 基 監修,"改定増補 染色体異常試験データ集,"エル・アイ・シー,東京,1987, p. 19.
4)厚生省生活衛生局企画課生活化学安全対策室 監修,"化審法毒性試験法の解説 改訂版,"化学工業日報社,東京,1992, pp. 51-52.

連絡先
試験責任者:野田 篤
試験担当者:野田 篤,昆 尚美
(財)畜産生物科学安全研究所
〒229-1132 神奈川県相模原市橋本台3-7-11
Tel 042-762-2775Fax 042-762-7979

Correspondence
Authors:Atsushi Noda(Study director)
Naomi Kon
Research Institute for Animal Science in Biochemistry and Toxicology
3-7-11 Hashimotodai, Sagamihara-shi, kanagawa, 229-1132, Japan.
Tel +81-42-762-2775Fax +81-42-762-7979