フタル酸ジヘプチルエステルの
チャイニーズ・ハムスター培養細胞を用いる染色体異常試験
In Vitro Chromosomal Aberration Test of
Diheptyl phthalate on Cultured Chinese Hamster Cells
要約
OECD既存化学物質安全性点検に係わる毒性調査事業の一環として,フタル酸ジヘプチルエステルの培養細胞に及ぼす細胞遺伝学的影響を評価するため,チャイニーズ・ハムスター培養細胞(CHL/IU,以下CHLと略す)を用いて試験管内染色体異常試験を実施した.
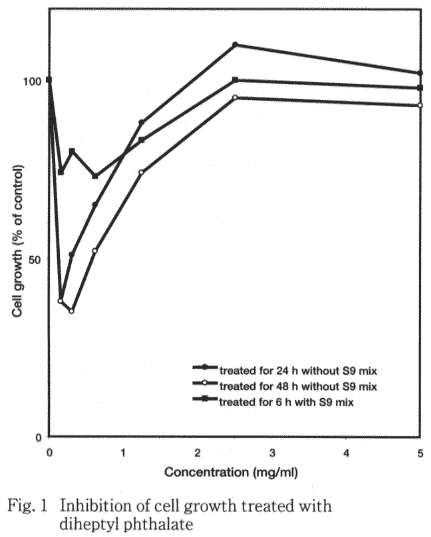
染色体異常試験に用いる濃度を決定するため,細胞増殖抑制試験を行ったところ
(細胞増殖抑制試験1),短時間処理法では,いずれの処理濃度群(0.156〜5.00 mg/ml)においても50%をこえる増殖抑制作用は認められなかった.しかしながら,連続処理法24時間処理の0.156 mg/ml,48時間処理の0.156,0.313 mg/mlで細胞増殖が50%以上抑制されたが,これより高い濃度では50%をこえる細胞増殖抑制は認められなかったため,染色体異常試験に用いる濃度が設定出来なかった.そこで,追加試験を行ったところ(細胞増殖抑制試験2),約50%の増殖抑制を示す濃度は,24時間処理および48時間処理では,それぞれ0.081,0.055 mg/mlであった.従って染色体異常試験において,連続処理法の24時間処理では0.100 mg/ml,48時間処理では0.060 mg/ml,短時間処理法のS9 mix存在下および非存在下では5.00 mg/mlを高濃度とし,それぞれその1/2の濃度を中濃度,1/4の濃度を低濃度に設定した.
CHL細胞を被験物質で24時間および48時間連続処理した結果,すべての処理群において,染色体の構造異常や倍数性細胞の出現頻度は5%未満であった.また,短時間処理法のS9 mix存在下および非存在下においても,すべての処理群において,染色体の構造異常や倍数性細胞の出現頻度は5%未満であった.
以上の結果よりフタル酸ジヘプチルエステルは,上記の試験条件下で,試験管内の
CHL細胞に染色体異常を誘発しないと結論した.
材料および方法
1. 使用した細胞
大日本製薬
(株)から入手(1994年8月,入手時:継代14代)したチャイニ−ズ・ハムスター由来のCHL細胞を,解凍後継代5代以内で試験に用いた.
2. 培養液の調製
培養には,仔牛血清
(CS:GIBCO LABORATORIES,ロット番号:43N1140)を10%添加したイーグルMEM培養液を用いた.
3. 培養条件
2×10^4個のCHL細胞を,培養液5 mlを入れたディシュ(径6 cm, Becton Dickinson and Company)に播き,37℃のCO2インキュベーター(5%CO2)内で培養した.
連続処理法では,細胞播種
3日目に被験物質を加え,24時間および48時間処理した.また,短時間処理法では,細胞播種3日目にS9 mixの存在下および非存在下で6時間処理し,処理終了後新鮮な培養液でさらに18時間培養した.
4. 被験物質
フタル酸ジヘプチルエステル
(CAS No.:3648-21-3, ロット番号:0008,純度:99.56%;新日本理化(株)製造,日本化学工業協会提供)は,分子量362.48, 融点-55℃,沸点235〜245℃/10 mmHgの無色透明液体であり,水,熱,光に安定である.また,水にほとんど溶けず,DMSO,アセトン,芳香族炭化水素に易溶である.なお,本ロットについては試験期間中安定であることを確認した.
5. 被験物質溶液の調製
被験物質調製液は,用時調製した.溶媒はアセトン
(和光純薬工業(株),ロット番号:APF4541, KCF1401)を用いた.原体を溶媒に溶解して原液を調製し,ついで原液を溶媒で順次希釈して所定の濃度の被験物質調製液を作製した.被験物質調製液は,すべての試験において培養液の1.0(v/v)%になるように加えた.染色体異常試験に用いた最高および最低濃度の被験物質調製液について濃度分析を実施し,いずれも所定濃度の100±5%以内であることを確認した.
6. 細胞増殖抑制試験による処理濃度の決定
染色体異常試験に用いる被験物質の処理濃度を決定するため,被験物質の細胞増殖に及ぼす影響を調べた.被験物質の
CHL細胞に対する増殖抑制作用は,短時間処理法では,単層培養細胞密度計(Monocellater,オリンパス光学工業(株))を用いて各群の増殖度を計測し,被験物質処理群の溶媒対照群に対する細胞増殖の比をもって指標とした(細胞増殖抑制試験1).連続処理法では,まずMonocellaterを用いて細胞増殖度を計測したが,細胞周辺に被験物質と考えられる物質が認められ,Monocellaterによる計測を妨げるおそれがあった.従って,細胞増殖抑制試験2では,血球計算盤を用いて各群の生存細胞を数え,陰性対照群に対する細胞増殖の比をもって指標とした.
その結果,短時間処理法では,いずれの処理濃度群
(0.156〜5.00 mg/ml)においても50%をこえる増殖抑制作用は認められなかった.しかしながら,連続処理法24時間処理の0.156 mg/ml,48時間処理の0.156,0.313 mg/mlで細胞増殖が50%以上抑制されたが,これより高い濃度では50%をこえる細胞増殖抑制は認められなかったため,染色体異常試験に用いる濃度が設定出来なかった(細胞増殖抑制試験1,Fig. 1).そこで,連続処理法について追加試験を行ったところ(細胞増殖抑制試験2),約50%の増殖抑制を示す濃度は,24時間処理および48時間処理では,それぞれ0.081,0.055 mg/mlであった(Fig. 2).
7. 実験群の設定
細胞増殖抑制試験の結果より,染色体異常試験で用いる被験物質の高濃度群を連続処理法の
24時間処理では0.100 mg/ml,48時間処理では0.060 mg/ml,短時間処理法のS9 mix存在下および非存在下では5.00 mg/mlを高濃度とし,それぞれその1/2の濃度を中濃度,1/4の濃度を低濃度として設定した.
8. 染色体標本作製法
培養終了の
2時間前に,コルセミドを最終濃度が約0.1 μg/mlになるように培養液に加えた.染色体標本の作製は常法に従って行った.スライド標本は各シャーレにつき2枚作製した.作製した標本を,3%ギムザ溶液で20分間染色した.
9. 染色体分析
作製したスライド標本のうち,
1枚のシャーレから得られたスライドを処理条件が分からないようにコード化した状態で分析した.染色体の分析は,日本環境変異原学会・哺乳動物試験分科会(MMS)1)による分類法に基づいて行い,染色体型あるいは染色分体型のギャップ,切断,交換などの構造異常の有無と倍数性細胞(polyploid)の有無について観察した.また,構造異常および倍数性細胞については1群200個の分裂中期細胞を分析した.
10. 記録と測定
溶媒および陽性対照群と被験物質処理群についての分析結果は,観察した細胞数,構造異常の種類と数,倍数性細胞の数について集計し,各群の値を記録用紙に記入した.被験物質の染色体異常誘発性についての判定は,石館ら
2)の判定基準に従い,染色体異常を有する細胞の頻度が5%未満を陰性,5%以上10%未満を疑陽性,10%以上を陽性とした.
結果および考察
連続処理法による染色体分析の結果を
Table 1に示した.フタル酸ジヘプチルエステルを加えて24時間および48時間処理した各濃度群で,染色体の構造異常および倍数性細胞の出現頻度は5%未満であった.
短時間処理法による染色体分析の結果を
Table 2に示した.フタル酸ジヘプチルエステルを加えてS9 mix存在下および非存在下で6時間処理した各濃度群で,染色体の構造異常および倍数性細胞の出現頻度は5%未満であった.
文献
| 1) | 日本環境変異原学会・哺乳動物試験分科会編,“化学物質による染色体異常アトラス,”朝倉書店,1988. |
| 2) | 石館 基 監修,“〈改訂〉染色体異常試験データ集”,エル・アイ・シー社,1987. |
| 連絡先 |
| 試験責任者: | 西冨 保 |
| 試験担当者: | 水野文夫,太田絵律奈,中川宗洋, 岩井由美子,鈴木美江 |
| (株)三菱化学安全科学研究所 鹿島研究所 |
| 〒314-02 茨城県鹿島郡波崎町砂山14 |
| Tel 0479-46-2871 | Fax 0479-46-2874 | |
| Correspondence |
| Authors: | Tamotsu Nishitomi(Study director) Fumio Mizuno, Erina Ohta, Munehiro Nakagawa, Yumiko Iwai, Yoshie Suzuki |
| Mitsubishi Chemical Safety Institute Ltd., Kashima Laboratory |
| 14 Sunayama, Hasaki-machi, Kashima-gun, Ibaraki, 314-02 Japan |
| Tel +81-479-46-2871 | Fax +81-479-46-2874 | |