4-クロロ-o-クレゾールのラットを用いる
28日間反復経口投与毒性試験
Twenty-eight-day Repeat Dose Oral Toxicity Test of
4-Chloro-o-cresol in Rats
要約
消毒剤や除草剤の合成原料等に用いられている既存化学物質,
4-クロロ-o-クレゾールの28日間反復経口投与毒性試験をSD系[Crj:CD(SD)]ラットを用い,0(対照),15,60,250および1000 mg/kg/day用量の投与により実施した.動物数は1群雌雄各5匹とし,7群を設け,5群は投与期間終了時屠殺群,2群は対照および1000 mg/kgの14日間回復群とした.
15および60 mg/kg群では,被験物質の投与に起因する変化は認められなかった.250 mg/kg群では,膀胱粘膜に上皮の過形成が雌雄に,前胃粘膜に扁平上皮の過形成が雄に認められた.また,雄の血清総ビリルビンおよび雌の腎臓相対重量は増加した.1000 mg/kg群では,250 mg/kg群で認められた変化に加えて,前胃粘膜の扁平上皮過形成が雌にも認められた.さらに,自発運動低下,深大呼吸,筋の弛緩,腹臥姿勢,流涎などの一般状態の変化および盲腸の拡張が雌雄に,体重増加抑制,血清GPTの増加,副腎皮質細胞の空砲化が雄に,血清コリンエステラーゼの減少,肝細胞の肥大が雌に認められ,雄1匹と雌3匹は死亡した.これらの変化は,回復群においては回復あるいは回復傾向を示し,可逆的であることが確認された.
以上の結果から,
4-クロロ-o-クレゾールは,ラットへの28日間反復経口投与により,主な毒性影響として,投与経路である消化管,特に胃,排泄経路である膀胱,および肝臓に変化が認められ,腎臓および副腎に対する影響も認められた.無影響量は,雌雄とも60 mg/kg/dayと推定された.
方法
1. 被験物質
4-クロロ-o-クレゾールは,分子量142.60,融点43-46℃の水に溶けにくく,エタノール,エーテルには溶け易いフェノール様の臭いのする褐色がかった結晶で,東京化成工業(株)製造の試薬[ロット番号FBY01,純度93.6%(不純物として異性体3.3%,クレゾール1.5%等を含む)]を入手し,冷暗所(4℃)で密栓保管し,使用した.投与液は,局方ゴマ油(宮澤薬品)を用い,純度換算で所定の投与用量になるような濃度の溶液として調製し,使用時まで冷所遮光下で密栓保管した.被験物質の原体および投与液中の被験物質は,安定であることを確認した.
2. 使用動物および飼育条件
日本チャールス・リバー
(株)より搬入したSD系[Crj:CD(SD)]ラットを,雄は6日,雌は7日間検疫・馴化飼育し,5週齢(雄145-159 g,雌133-147 g)で,1群雌雄各5匹として試験に用いた.ラットは,温度22±3℃,湿度55±10%,換気回数10回以上/時,照明12時間(6-18時)に設定された飼育室で,金網ケージに個別に収容し,固型飼料[日本農産工業(株),ラボMRストック]および水を自由に摂取させた.
3. 投与量および投与方法
4-クロロ-o-クレゾールの単回経口投与におけるLD50値は,1194 mg/kgと報告されている1).投与量設定試験を,ラットを1群雌雄各4匹とし,0,10,30,100,300および1000 mg/kg/day用量の14日間反復経口投与により実施した.剖検で,前胃粘膜の肥厚が300 mg/kg以上の群の雌雄に認められた.1000 mg/kg群では,自発運動低下,流涎,深大呼吸,筋弛緩,腹臥姿勢などの症状,体重増加の抑制,摂餌量の減少傾向,肝臓重量の増加が雌雄に認められた.尿検査,血液学検査,血液生化学検査では,明らかな変化は認められなかった.したがって,本試験における投与量は,1000 mg/kg/dayを最高用量とし,以下250,60,15 mg/kg/dayの4用量および対照を設定した.試験群は,以上の5群の他に,1000 mg/kgおよび対照の14日間回復群を設けた.投与は,胃ゾンデを装着した注射筒を用いて,投与液を1日1回,28日間にわたって経口投与した.投与液量は,体重100 g当たり0.5 mlとした.対照群には局方ゴマ油を同様に投与した.
4. 観察および検査項目
1) 一般状態観察
投与および回復期間中毎日,生死および外観,行動等を観察した.
2) 体重および摂餌量測定
体重は,投与
1日(投与初日の投与直前),3日およびその後は週2回,3あるいは4日ごと,ならびに屠殺日あるいは死亡発見日に測定した.摂餌量は,ケージごとに週1回(雄は投与3,10,17,24日および投与終了後3,10日,雌は投与2,9,16,23日および投与終了後2,9日),翌日までの24時間の飼料消費量を測定した.
3) 尿検査
投与
27日および投与終了後10日にラットを代謝ケージに約3時間収容して採尿し,pH,潜血,タンパク,糖,ケトン体,ビリルビン,ウロビリノーゲン[以上,マルティスティックス,マイルス・三共(株)],外観および沈渣(URI-CEL液で染色,ケンブリッジケミカルプロダクト社)を検査した.
4) 血液学検査
供試血液の採取は,投与期間および回復期間終了翌日における屠殺剖検時に行った.動物は採血前日の午後
5時より除餌し,水のみを給与した.採取した血液は3分割し,その一部はEDTA-2Kで凝固防止処理し,多項目自動血球計数装置[東亜医用電子(株),E-4000]により,赤血球数(電気抵抗検出方式),血色素量(ラウリル硫酸ナトリウム-ヘモグロビン法),ヘマトクリット値(パルス検出方式),平均赤血球容積,平均赤血球血色素量,平均赤血球血色素濃度(以上,計算値),白血球数および血小板数(以上,電気抵抗検出方式)を,また塗抹標本を作製して網状赤血球数(Brilliant cresyl blue染色)および白血球百分率(May-Giemsa染色)を測定した.さらに一部は3.8%クエン酸ナトリウム液で処理して血漿を得,血液凝固自動測定装置(アメルング社,KC-10A)により,プロトロンビン時間(Quick一段法)および活性化部分トロンボプラスチン時間(エラジン酸活性化法)を測定した.
5) 血液生化学検査
採取した血液の一部から血清を分離し,生化学自動分析装置[日本電子
(株),JCA-VX-1000型クリナライザー]により,総タンパク(Biuret法),アルブミン(BCG),A/G比(計算値),血糖,トリグリセライド,総コレステロール(以上,酵素法),総ビリルビン(Jendrassik法),尿素窒素(Urease-UV法),クレアチニン(Jaff
法),GOT,GPT,γ-GTP,LDH(以上,SSCC法),アルカリホスファターゼ(GSCC法),コリンエステラーゼ(BTC-DTNB法),カルシウム(OCPC法)および無機リン(酵素法)を,電解質自動分析装置[東亜電波工業(株),NAKL-1]により,ナトリウム,カリウムおよび塩素を測定した.
6) 病理学検査
死亡動物は発見後速やかに,計画屠殺動物は所定の投与期間あるいは回復期間終了翌日の採血に続いて放血屠殺し,剖検した.また,脳,心臓,胸腺,肝臓,腎臓,脾臓,副腎,精巣,卵巣を秤量した.病理組織学検査は,採取した器官を
10%中性リン酸緩衝ホルマリン液で固定後,対照群および1000 mg/kg群では脳,下垂体,眼球,甲状腺(上皮小体を含む),胸腺,心臓,肺,肝臓,腎臓,脾臓,副腎,胃,小腸(十二指腸・空腸・回腸),大腸(盲腸・結腸・直腸),膵臓,精巣,卵巣,膀胱,骨髄について,15,60および250 mg/kg群ならびに回復群では,毒性影響がうかがわれた雄では胃,副腎,膀胱,雌では肝臓,胃,膀胱について,常法によりパラフィン切片を作製し,ヘマトキシリン・エオジン染色を施して鏡検した.
5. 統計処理
得られた平均値あるいは頻度について,
DunnettあるいはScheff
群の大きさが異なる場合)の多重比較検定を行った.ただし,回復群については,t検定およびU検定を行った.
結果
1. 一般状態および死亡
死亡については,
1000 mg/kgにおいて,回復群の5匹を含む雌雄各10匹中雄の1匹(投与11日,回復群)および雌の3匹(投与7,16および22日,2匹は回復群)が死亡した.一般状態については,1000 mg/kg群の雌雄で,自発運動低下,筋弛緩およびそれによると思われる無力性の歩行異常,腹臥姿勢,深大呼吸,流涎がほぼ全例に認められた.これらの症状は毎日の投与直後から概ね1〜3時間認められたが,翌日の投与時には回復していた.さらに,1000 mg/kg群では,立毛,腹部膨満,眼瞼下垂,削痩が雌雄に,下腹部被毛の尿による汚染が雌に,いずれも低い頻度で認められた.回復期間においては,回復群に異常は認められなかった.
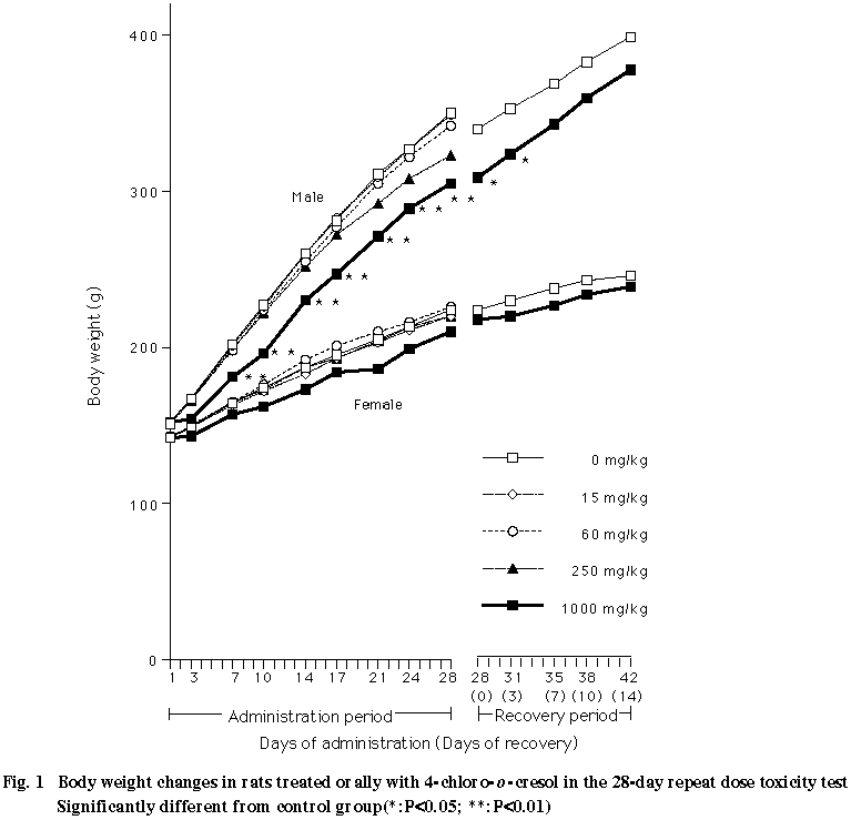
2. 体重(Fig. 1)
1000 mg/kg群の雄で体重増加の抑制が認められ,投与7日以降の体重に対照群との間に有意差が認められた.250 mg/kg群の雄および1000 mg/kg群の雌にも体重増加の抑制傾向がうかがわれたが,有意な変化ではなかった.1000 mg/kgの回復群においては,雄で投与終了後3日までは有意差が残るものの,それ以降は対照群に比べ有意差は認められなくなった.
3. 摂餌量
各群の雌雄とも,有意な変化は認められなかった.
1000 mg/kg群の雄の摂餌量は,投与1および2週において対照群に比べてやや少なかったが,統計学的有意差は認められなかった.
4. 尿所見
タンパクおよびケトン体濃度の減少が
1000 mg/kg群の雄に認められたが,毒性学的に有意と思われる変化は,雌雄とも認められなかった.
5. 血液学所見(Table 1,2)
各群の雌雄とも,各検査項目において,統計学的に有意な変化は認められなかった.
6. 血液生化学所見(Table 3,4)
有意な総ビリルビンの増加が
250 mg/kg以上の群の雄に用量依存的に,GPTの増加が1000 mg/kg群の雄に,コリンエステラーゼの減少が1000 mg/kg群の雌に認められた.1000 mg/kgの回復群においては各検査項目に有意な変化は認められず,投与期間終了時屠殺動物で認められた変化は回復していた.
7. 剖検所見
投与期間終了時生存動物においては,
1000 mg/kg群で前胃粘膜の軽度〜中等度な肥厚が雄5匹,雌4匹の全例に認められ,雌雄各1匹は表面が粗造であった.また,盲腸の軽度な拡張が雄4匹,雌1匹に認められた.投与期間中に死亡した1000 mg/kg群の雄1匹および雌3匹では,胃および腸のガス貯留による膨満が共通した所見で,特に雄と雌の2匹では風船様の外観を呈する重度な変化であった.さらに,前胃に粘膜の肥厚,表面粗造あるいは褐色点散在,胸腺,脾臓あるいは雄の副生殖腺の萎縮などが認められた.回復群においては,異常は認められなかった.
8. 器官重量(Table 5,6)
雄においては,剖検直前の体重が対照群に比べて
250 mg/kg群は12%,1000 mg/kg群は19%少なく,それに伴って両群の肝臓,腎臓,心臓および1000 mg/kg群の脾臓は絶対重量が減少する傾向にあり,1000 mg/kg群の心臓重量は有意に減少した.しかし,これらの器官の相対重量には有意な変化は認められなかった.250 mg/kgおよび1000 mg/kg群の脳および精巣は,絶対重量に変化は認められなかったが,相対重量では有意に増加した.また,副腎は,1000 mg/kg群で相対重量の有意な増加が認められた.15 mg/kg群においても有意な副腎の相対重量増加が認められたが,変化は軽度で,60および250 mg/kg群では有意な変化は認められず,用量依存的でなかった.一方,雌においては,体重に有意な変化は認められなかったが,肝臓相対重量の有意な増加が1000 mg/kg群,腎臓相対重量の有意な増加が250および1000 mg/kg群に認められた.1000 mg/kgの回復群においては,これらの変化は認められず回復していた.以上の変化とは別に,1000 mg/kgの回復群の雌の脳絶対重量が対照群の平均値1.84 gに対し1.78 gとわずかに下回り,有意差が認められたが,これは両群とも測定値のバラツキが極めて小さかったためで,その差は約3%のわずかなものであった.
9. 病理組織学所見(Table 7,8)
被験物質の投与に起因すると考えられる変化が,胃,膀胱,肝臓および副腎に認められた.投与期間終了後屠殺動物において,胃では,前胃の粘膜に扁平上皮の過形成が,
250 mg/kg群の雄1匹および1000 mg/kg群の雌雄全例に認められた.膀胱では,上皮の過形成が,250および1000 mg/kg群の雌雄の半数以上ないし全例に認められた.以上の変化に加えて,1000 mg/kg群で,小葉中心性の軽度な肝細胞の肥大が雌に,副腎皮質細胞の軽度な空胞化が雄に,いずれも約半数の動物で認められた.1000 mg/kg群の投与期間中死亡した雄1匹および雌3匹においては,投与期間終了後屠殺動物で認められた変化のほか,雄の例の肝臓には肝細胞の単細胞壊死,雌の全例の前胃には粘膜上皮の変性および1例に潰瘍が認められた.また,雌雄とも全身諸器官に萎縮性の変化が認められた.
回復期間終了後屠殺動物においては,雌雄とも前胃および膀胱の変化は認められたが,投与期間終了後屠殺動物に比べて軽減しており,また雄の副腎および雌の肝臓には異常は認められなかった.
以上の所見のほかにも,検査した各器官に異常が認められたが,いずれも散発的あるいは用量相関性のない変化で,自然発生病変と考えられる所見であった.
考察
クロロクレゾールの毒性について,
4-クロロ-m-クレゾールについては,ラットを用いた28日間の反復経口投与毒性試験の結果が報告されており,400 mg/kgで体重の有意な増加抑制が認められるが,一般状態,血液学検査,血液生化学検査および病理学検査では異常は認められず,NOELは200 mg/kgと推定されている2).
今回実施した,
4-クロロ-o-クレゾールのラットを用いた28日間の反復経口投与毒性試験では,消化管,特に胃および膀胱の粘膜,肝臓,腎臓,副腎などに変化が発現した.
消化管に対する影響としては,前胃粘膜に扁平上皮の過形成が,
250 mg/kg群の雄および1000 mg/kg群の雌雄に認められた.投与期間中の死亡動物においては,粘膜上皮の変性および潰瘍を認める例があった.また,盲腸の拡張が1000 mg/kg群の雌雄に認められ,死亡動物では胃および腸がガスで膨満していた.
o-クレゾールには腐食性があり3),4-クロロ-o-クレゾールについても,刺激性が強いことが知られている4).さらに,4-クロロ-o-クレゾールは殺菌剤として用いられている物質で,これの経口投与により腸内細菌叢に対し影響し,盲腸などの拡張を引き起こすことは十分考えられる.したがって,消化管に対する影響は,主に本被験物質の局所刺激性および殺菌作用が関与して発現したものと考えられる5, 6).
クロロクレゾールの代謝について,大部分がグルクロン酸および硫酸抱合され,尿中排泄されることが,
4-クロロ-m-クレゾールにおいて確認されている7).
膀胱粘膜にも上皮の過形成が
250および1000 mg/kg群の雌雄に認められた.この変化は排泄器官である腎臓を経て濃縮された尿中の主に代謝物の,膀胱粘膜への直接的な作用に対する組織の反応性増殖と解せられる.
なお,腎臓においては,相対重量の増加が
250および1000 mg/kg群の雌に認められたが,病理組織学的には著変は認められず,影響としては,軽度なものと考えられる.
肝臓に対する影響については,肝細胞の肥大および肝臓相対重量の増加が
1000 mg/kg群の雌に認められた.雄の血清GPTおよび総ビリルビンの増加,雌のコリンエステラーゼの減少も,肝機能の異常を示唆する変化と考えられる.
4-クロロ-o-クレゾールは,NAD依存の脱水素酵素を抑制することにより,ラット肝ミトコンドリアの電子伝達系を阻害する7).これを投与したラットにおける組織内残留量と病理組織学的変化の関連性をみたHattulaら1)の報告では,1200 mg/kgの単回経口投与により,肝細胞に核濃縮や単細胞壊死が認められている.本試験で雄の死亡動物の肝臓に認めれた単細胞壊死も,被験物質の投与に起因するものと判断される.
副腎では,
1000 mg/kg群の雄で相対重量が増加し,病理組織学的には皮質細胞の軽度な空胞化が観察された.空胞化は細胞内のリポイドの増加によるもので,被験物質の全般的な毒性によるストレスを反映した二次的な変化と推察される.
臨床観察で,
1000 mg/kg群の雌雄に一般状態の変化が認められ,自発運動低下,深大呼吸,腹臥姿勢,流涎などに加えて,筋弛緩およびそれによると思われる無力性の歩行異常が特徴的な症状として観察された.しかし,これらの症状の発現時間は毎日の投与後1〜3時間と短く,投与の反復につれて蓄積的に症状が増強する傾向は認められなかった.体重は,1000 mg/kg群の雄で増加抑制が認められ,同群の雌雄各10匹中雄1匹および雌3匹が死亡した.15および60 mg/kg群では,各観察および検査を通じて,被験物質の投与に起因すると考えられる変化は認められなかった.
以上の被験物質投与期間中あるいは投与期間終了後屠殺動物の観察および検査で認められた変化は,
1000 mg/kgの回復群においてはいずれも回復あるいは回復傾向にあり,可逆的な変化であることが確認された.
なお,投与期間終了後の解剖で,最終体重が対照群に比べて少なかった
250あるいは1000 mg/kg群の雄に,心臓の絶対重量減少や脳および精巣の相対重量増加が認められたが,これらの器官には病理組織学的な異常は認められず,低体重に伴う変化と判断された.
以上の結果から,
4-クロロ-o-クレゾールは,ラットへの反復経口投与により,主な毒性影響として,投与経路である消化管特に胃,排泄器官である膀胱,および肝臓に変化が認められ,腎臓および副腎に対する影響も認められた.無影響量は,60 mg/kg/dayと推定された.
文献
| 1) | M. L. Hattula, H. Reunanen, A. V. Arstila, Bull. Environm. Contam. Toxicol., 21, 492(1979). |
| 2) | C. Madsen, P. H. Andersen, O. Meyer, G. Wurtzen, Bull. Environm. Contam. Toxicol., 37, 651(1986). |
| 3) | W. B. Deichmann, J. Pharmacol. Exp. Ther., 80, 233(1944). |
| 4) | R. A. Lenga, "Sigma-Aldrich Library of Chemical Safety Data," 2, Vol.1, Sigma-Aldrich, Milwaukee, 1988, p.807. |
| 5) | 今井清,"毒性試験法講座5-毒性病理学," 前川昭彦,林裕造編,地人書館,東京,1991,pp.127-135. |
| 6) | 小野寺威,"毒性試験法講座15-医薬品," 福田英臣,秋元健,坂口孝編,地人書館,東京,1991,pp.37-38. |
| 7) | M. L. Richardson, "The Dictionary of Substance and their Effects," 2-C, Royal Society of Chemistry, Cambridge, 1993, pp.332-334. |
| 連絡先 |
| 試験責任者: | 伊藤義彦 |
| 試験担当者: | 藩栗緒, 福田苗美,杉本忠美 伊藤雅也,鈴木昭雄
|
| (財)畜産生物科学安全研究所 |
| 〒229-11 神奈川県相模原市橋本台3-7-11 |
| Tel 0427-62-2775 | Fax 0427-62-7979 | |
| Correspondence |
| Authors: | Yoshihiko Ito(Study director)
Cleo Pan, Naemi Fukuda, Tadami Sugimoto, Masaya Ito, Teruo Suzuki |
| Research Institute for Animal Science in Biochemistry and Toxicology |
| 3-7-11 Hashimotodai, Sagamihara-shi, Kanagawa, 229-11, Japan |
| Tel +81-427-62-2775 | Fax +81-427-62-7979 | |