トリリン酸アルミニウム塩のラットを用いる反復経口投与毒性・生殖発生毒性併合試験

Combined Repeat Dose and Reproductive/Developmental Toxicity Screening Test
of Triphosphoric acid aluminium salt by Oral Administration in Rats

要約

トリリン酸アルミニウム塩の0,100,300および1000 mg/kgを1群雌雄各10匹のCrj:CD(SD)IGSラットに,雄ラットに対しては交配前,交配期間および交配後を含む計46日間,雌ラットに対しては交配前,交配および妊娠期間,ならびに哺育4日までの期間経口投与し,雌雄動物への反復投与による影響,雌雄動物の生殖および新生児の発生に及ぼす影響について検討し,以下の成績を得た.

1. 反復投与毒性

1000 mg/kg投与群の雌にのみ総蛋白およびカルシウムの低値が認められた.

300 mg/kg以上の雄の投与群で精巣および精巣上体の萎縮がみられ,病理組織学的には精巣に精細管の萎縮,精巣上体に精子減少が認められた.

以上のことから,本試験条件下におけるトリリン酸アルミニウム塩の無影響量(NOEL)は雄で100 mg/kg/day,雌で300 mg/kg/dayと考えられた.

2. 生殖発生毒性

親動物の生殖能検査,母動物の黄体数,着床数,着床率,分娩率,総出産児数,出産児の性比,哺育0日の生存児数,出生率,哺育4日の生存児数,新生児生存率等,各投与群とも被験物質投与による影響は認められなかった.

新生児の一般状態,体重および剖検でも,各投与群とも被験物質投与による影響は認められなかった.

以上のことから,本試験条件下におけるトリリン酸アルミニウム塩の反復投与による親動物の生殖に対する無影響量(NOEL)および新生児の発生に対する無影響量(NOEL)はいずれも1000 mg/kg/dayと考えられた.

方法

1. 被験物質および対照物質の調製

被験物質は,トリリン酸アルミニウム塩[ロット番号:10101,純度:94.7 %(P2O5として63.4 %の換算値),提供者:テイカ(株)(大阪)]で,融点約1200 ℃,比重2.3,水に難溶の白色粉末である.トリリン酸アルミニウム塩は安定で反応しないが,気密容器に入れ,冷所に保存した.試験期間中の被験物質の安定性を,残余被験物質を用いた純度の分析成績により確認した.

投与量ごとにトリリン酸アルミニウム塩を精秤し,乳鉢で細砕後,所定の濃度となるように0.5 %カルメロースナトリウム水溶液を用いて懸濁した.調製液は調製後速やかに遮光気密容器に入れ冷暗所に保存し,調製後1週間以内に室温に戻してから投与に用いた.

投与に先立って1および200 mg/mL調製液中のトリリン酸アルミニウム塩の均一性および冷暗所保存7日の安定性について紫外可視分光光度計で吸光度(波長405 nm)を測定して分析し,安定であることが確認された.投与に用いる初回および最終回調製時の各濃度の調製液についてトリリン酸アルミニウム塩の濃度を分析した結果,含有率は所定の濃度の100.0〜105.7 %であり,適合と判断した.

2. 試験動物および飼育条件

試験には,日本チャールス・リバー(株)厚木飼育センター生産のSPF Crj:CD(SD)IGSラットを用いた.雌雄各46匹を8週齢で購入し,個々の動物について14日間馴化飼育を行い,雌雄各40匹を選抜して,10週齢で試験に供した.投与前々日の体重に基づいて層化無作為抽出法により群分けを行った.動物は,群分け前は油性フェルトペンで尾部に印を付け,群分け後は耳介に動物番号を入墨し,個体識別を行った.出生児については,哺育0日〜4日の間油性フェルトペンで背部にケージ内個体識別番号を記入し,個体識別を行った.

動物は温度22〜25 ℃,湿度46〜62 %,換気回数10〜15回/時間,照明時間8時〜20時,ブラケット式金属製金網床ケージに,群分け前は2匹,群分け後は1匹,交配中は雌雄各1匹,妊娠期間中は1母動物,哺育期間中は1腹を収容した.飼料はg線照射固型飼料CRF-1(オリエンタル酵母工業(株))を金属製給餌器により,飲料水は札幌市水道水を自動給水装置により,それぞれ自由摂取させた.

3. 投与量および投与方法

致死量の概要を検索するために,雌雄各1群3匹のCrj:CD(SD)IGSラットにトリリン酸アルミニウム塩の0,100,300および1000 mg/kgを14日間反復経口投与した結果,いずれの投与群にも被験物質投与の影響は認められなかった.このことから,本試験でも雌雄とも1000 mg/kgを高用量に設定し,予備試験と同様に,中用量および低用量は300および100 mg/kgとし,これに対照として0.5 %CMCを投与する群を加え計4群を設定した.

1日1回,雄については交配14日前より46日間,雌については交配前14日間および交尾成立までの交配期間,さらに交尾成立例は妊娠期間および哺育4日までの期間,9時から12時の間に胃ゾンデを用いて強制的に胃内に経口投与した.投与容量は10 mL/kgとし,各個体の投与液量は投与日に最も近い測定日の体重に基づいて算出した.

4. 検査項目

1) 一般状態観察

雌雄全例について,試験期間中1日1回の頻度で,視診および触診により行動,外観などを観察した.

2) 体重測定

投与開始日を投与1日として起算し,交配前は雌雄全例について,投与1,2,5,7,10および14日に測定した.交配開始後は,雄については投与21,28,35,42,46日(最終投与日)および剖検日(最終投与日の翌日)に,雌の交尾成立例は妊娠0,1,3,5,7,10,14,17および20日,哺育0,1および4日ならびに剖検日(哺育4日の翌日)に測定した.体重増加量および体重増加率を,雄については投与1から46日,雌については投与1から14日,妊娠0から20日および哺育0から4日について算出した.

3) 摂餌量測定

雌雄全例について,交配期間および剖検日を除き,体重測定と同じ日に,各ケージの給与量または残量を測定した.飼料消費量を給与日数で除し,各測定日間の1匹当り1日平均摂餌量を算出した.

4) 尿検査

雄の各群5例について投与期間の最終週(投与43〜44日)に,代謝ケージに収容して非絶食下で採尿を行い,同時に採尿中の飲水量(重量)も測定した.約3時間の蓄尿についてpH,蛋白,糖,ケトン体,ウロビリノーゲン,ビリルビン,潜血反応(以上,マルティスティックス,バイエル メディカル(株))および色調(肉眼観察)ならびに沈渣(鏡検)を検査し,21時間蓄尿について尿量(容量)および比重(屈折計法,アタゴ)を測定した.

5) 血液学検査

雄の各群5例および雌の哺育母動物各群5例について,剖検日の前日から16〜19時間絶食させ,剖検日にエーテル麻酔下で腹部大動脈より採血し,EDTA・2Kで処理した血液を用いて赤血球数,ヘマトクリット値,血小板数,白血球数(以上,電気抵抗法),ヘモグロビン量(シアンメトヘモグロビン法),平均赤血球容積(赤血球数,ヘマトクリット値より算出),平均赤血球ヘモグロビン量(赤血球数,ヘモグロビン量より算出),平均赤血球ヘモグロビン濃度(ヘマトクリット値,ヘモグロビン量より算出)(以上,自動血球計数装置F-820,シスメックス),網赤血球数(Brecher法)および白血球百分比(May-Grwald-Giemsa染色)を測定した.また,3.8 %クエン酸ナトリウムで処理した後,3000 回転/分で10分間遠心分離して得られた血漿を用いて,プロトロンビン時間(トロンボプラスチン法)および活性化部分トロンボプラスチン時間(エラジン酸法)(以上,血液凝固自動測定装置アメルングKC-10A,バクスター)を測定した.

6) 血液生化学検査

雄の各群5例および血液学検査で用いた同じ各群5例の雌について血液学検査と同時期に,腹部大動脈より採血し,ヘパリン処理した後,3000 回転/分で10分間遠心分離して得られた血漿を用いてGOT(IFCC法)およびグルコース(ヘキソキナーゼ法)を測定し,無処理血液を3000 回転/分で10分間遠心分離して得られた血清を用いてGPT(IFCC法),アルカリホスファターゼ(Bessey-Lowry法),γ-GTP(包接L-γ-グルタミル-ρ-ニトロアニリド基質法),コリンエステラーゼ(ヨウ化ブチリルチオコリン基質法),総コレステロール(酵素法),リン脂質(COD・DAOS法),トリグリセリド(遊離グリセロール消去法),総ビリルビン(アゾビリルビン法),尿素窒素(ウレアーゼ・インドフェノール法),クレアチニン(Jaff法),カルシウム(OCPC法),無機リン(Fiske-Subba Row法),総蛋白(ビウレット法)(以上,自動分析装置7150形,日立製作所),ナトリウム,カリウム(以上,炎光光度法,自動炎光光度計480型,コーニング),クロール(電量滴定法,クロライドカウンターCL-6M,平沼産業),蛋白分画およびA/G比(以上,セルロースアセテート膜電気泳動法,全自動電気泳動装置CTE-150,常光)を測定した.

7) 剖検および器官重量測定

雄は全例投与46日の翌日に,雌の分娩例は哺育4日の翌日に,妊娠25日まで分娩が認められない例は妊娠26日に,いずれも最終投与日の翌日に,体外表を観察し,エーテル麻酔下で採血後,放血により安楽死させて剖検した.また,脳,心臓,肝臓,腎臓,脾臓,副腎,胸腺,精巣,精巣上体および卵巣の重量を測定した.さらに,絶対重量を剖検当日の体重で除し100を乗じて相対重量を算出した.

8) 病理組織学検査

全例について,脳(大脳・小脳),下垂体,胸腺,甲状腺,上皮小体,副腎,脾臓,心臓,胸部大動脈,舌,食道,胃(前胃および腺胃),肝臓,膵臓,十二指腸,空腸,回腸(パイエル板を含む),盲腸,結腸,直腸,喉頭,気管,肺(気管支含む),腎臓,膀胱,前立腺,精嚢(凝固腺含む),卵巣,子宮(角部および頸部),膣,乳腺(腹部,雌のみ),皮膚(腹部),胸骨(骨髄含む),大腿骨(骨髄含む),脊髄(頸部),骨格筋(腓腹筋),腸間膜リンパ節,下顎リンパ節,顎下腺,舌下腺,耳下腺,坐骨神経ならびに肉眼的異常部位を10 %中性緩衝ホルマリン液で固定・保存した.左肺については注入固定を行った.眼球およびハーダー腺はデビッドソン液で固定・保存し,精巣および精巣上体はブアン液で固定後70 %エタノールに保存した.これらの器官・組織を常法に従ってパラフィン包埋後,薄切してヘマトキシリン・エオジン染色標本を作製し,対照群および最高用量群の雌雄全例を鏡検した.被験物質投与の影響と考えられる変化のみられた精巣と精巣上体については,他の投与群の動物についても全例鏡検した.

9) 生殖能検査

雌全例について,投与開始日の10日前から交尾までの連日,ギムザ染色による膣垢塗抹標本を作製し,光学顕微鏡下で性周期段階(発情前期,発情期前期,発情期後期,発情後期および発情休止期)の判定を行い,性周期の各段階を4日から6日の間隔で2回以上繰り返すものを正常と判定した.各段階の一部がみられない場合や同一の性周期段階が3日を超え継続してみられる場合を不規則,発情期あるいは発情休止期が7日以上継続してみられるものを連続発情または連続非発情とし,異常と判定した.各雌動物の正常発情期間隔を算出した.投与14日の夕方から,同試験群内の雌雄を1対1(無作為組合わせ)で14日間を限度として同居させた.交尾の成立は,膣内または受皿上に落下した膣栓,あるいは膣垢スメア標本中の精子が確認された場合とし,いずれかが認められた日を妊娠0日とした.妊娠成立の確認を,分娩の有無および剖検時に子宮内の着床痕の有無を調べることによって行った.交尾率[(交尾した雌雄対の数/同居させた雌雄対の数)× 100]および受胎率[(受胎した雌数/交尾した雌雄対の数)× 100]を算出した.

10) 分娩および哺育状態観察

交尾確認雌動物は全例自然分娩させた.分娩状態を,妊娠21日から25日まで観察した.9:00に分娩終了を確認した場合,その日を哺育0日とした.剖検時に各雌の卵巣の黄体数および子宮内の着床痕の数を肉眼的に数えて記録した.これらの結果から,妊娠期間[妊娠0日から哺育0日までの日数],出産率[(生児出産雌数/妊娠雌数)× 100],着床率[(着床痕数/黄体数)× 100],分娩率[(出産児数/着床痕数)× 100],哺育4日の哺育率[(哺育4日に哺育児を持つ雌数/生児出産雌数)× 100]およびを算出した.

11) 新生児の一般状態観察および生存率

哺育0日に,腹毎に生存児数および死亡児数を数え,哺育状態,出産児の性別および外表を観察した.生存児数および死亡児数の合計を出産児数とした.児動物の性は,肛門と生殖突起の間の長さで判定した.哺育1日から哺育4日までは,1日1回,哺育児の生存および死亡を確認し,一般状態および外表について観察した.これらの観察結果から,出生率[(出産時生児数/出産児数)× 100],性比[雄生産児数/(雄出産児数 + 雌出産児数)]および新生児生存率[(哺育4日生児数/出産生児数)× 100]を1腹単位で算出した.ただし,喰殺あるいは行方不明となった新生児は死亡例として扱った.

12) 新生児の体重測定

全例について,哺育0,1および4日に個体毎に測定し,腹毎に雌雄別の平均体重を求めた.体重増加量および体重増加率を,哺育0から4日について算出した.

13) 新生児の剖検

死亡例は発見後速やかに剖検した.生存例については,哺育4日に体外表(口腔内を含む)を観察後,二酸化炭素吸入法により安楽死させ,全身の器官・組織を肉眼的に観察した.

5. 統計解析

正常性周期出現率,交尾率,受胎率,出産率,哺育4日の哺育率,ならびに病理組織学検査結果のうち1段階の陽性グレードがみられた所見については多試料χ2検定を行い,その結果,有意差がみられた場合は2試料χ2検定で解析した.ただし,これらの検定に不適合の場合はFisherの正確確率検定法を用いた.

尿検査の定性的項目,尿比重および白血球百分比の成績,ならびに病理組織学検査結果のうち2段階以上の陽性グレードがみられた所見についてはKruskal-Wallisの検定法で解析し,有意差がみられた場合は,Mann-WhitneyのU-検定法を用いて解析した.

その他の項目について,Bartlettの検定法によって等分散性を解析し,等分散の場合は,一元配置分散分析法で解析し,有意差がみられた場合は,Dunnettの検定法により解析した.不等分散の場合は,Kruskal-Wallis法で解析し,有意差がみられた場合は,Mann-WhitneyのU-検定法を用いて解析した.なお,新生児の出生率,性比,4日の生存率および雌雄別体重は,1腹を標本単位として処理した.

これら対照群と被験物質投与群との間の検定においては,いずれも有意水準を5 %とした.

結果

1. 反復投与毒性

1) 一般状態

300 mg/kg投与群の雌1例に妊娠13日以降に皮下腫瘤,1000 mg/kg投与群の雄1例に最終投与の翌日(剖検日)に腹部中央の隆起と口周囲の被毛汚れがみられたが,他には変化は認められなかった.

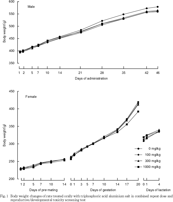
2) 体重(Fig. 1)

各投与群の雌雄ともに試験期間中の体重推移,体重増加量および体重増加率に対照群と比較して有意差は認められなかった.

3) 摂餌量(Fig. 2)

300 mg/kg投与群の雄で投与5日に有意な低値がみられたが,他には対照群と比較して有意差は認められず,被験物質投与による変化ではないと判断した.

4) 尿検査(Table 1)

1000 mg/kg投与群の雄でpHに対照群と比較して有意な低下傾向がみられたが,被験物質のpHが2.6と低いことから尿中に排泄された結果である可能性が考えられ,毒性学的意義はないと判断した.他には有意な変化は認められなかった.

5) 血液学検査(Table 2, 3)

1000 mg/kg投与群の雌で平均赤血球容積に対照群と比較して有意な低値がみられたが,他には有意な変化は認められず,毒性学的意義はないと判断した.

6) 血液生化学検査(Table 4, 5)

100 mg/kg投与群の雌のカルシウムに対照群と比較して有意な低値がみられたが,用量依存的でないことから,毒性学的意義はないと判断した.

1000 mg/kg投与群の雌に総蛋白およびカルシウムの有意な低値がみられたが,他には有意な変化は認められなかった.

7) 剖検

300 および1000 mg/kg投与群の雄各1例に精巣および精巣上体の両側性萎縮がみられ,このうちの1例では対の雌に妊娠が成立しなかった.

他にも,各投与群の雌雄に肝臓の変形および多巣性の微細黄白色斑,側脳室の拡張,脾臓の腫大と皮下白色腫瘤,臍ヘルニアおよび回腸の一部に暗赤色の突出部,回腸の憩室等が散見されたが,いずれも被験物質投与との関連性は認められなかった.

8) 器官重量(Table 6, 7)

100および1000 mg/kg投与群の雌に脾臓の絶対および相対重量に対照群と比較して有意な低値がみられたが,病理組織学的変化を伴わないことから,毒性学的意義はないと判断した.

9) 病理組織学検査

300 mg/kg投与群の雄1例に精巣の中等度の精細管萎縮,他の雄1例に精巣上体の中等度な精子減少,1000 mg/kg投与群の雄1例に精巣の重度な精細管萎縮と間質水腫,精巣上体の重度な精子減少および中等度な管腔内細胞残屑がみられた.

他にも,各投与群の雌雄に脳室の拡張,脾臓の軽度な髄外造血と乳腺の腺腫等がみられたが,いずれも被験物質投与との関連性は認められなかった.

なお,1000 mg/kg投与群の妊娠が成立しなかった雌2例のうち1例では,子宮角部および子宮頸部の軽度な炎症と膣閉鎖がみられ,先天的なものと判断した.

2. 生殖発生毒性

1) 生殖能検査(Table 8)

正常性周期を示す雌の出現率,発情期間隔,交尾率,受胎率,出産率,妊娠期間および哺育4日時哺育率には各投与群とも対照群と比較して有意差は認められなかった.

2) 妊娠,分娩および哺育状態観察(Table 9)

黄体数,着床数,着床率,分娩率,総出産児数,出産児の性比,哺育0日の生存児数,出生率,哺育4日の生存児数には,各投与群とも対照群と比較して有意差はみられなかった.

なお,300 mg/kg投与群の雌1例では妊娠25日まで分娩がなく,妊娠26日に剖検したところ子宮内に死亡胎児2例と生存胎児5例がみられ,他の雌1例では妊娠25日に死亡児7例の分娩が認められた.

3) 新生児の生存率(Table 9)

新生児生存率で300 mg/kg群に有意な高値が認められた.

4) 新生児の一般状態

分娩終了確認時の死亡児が対照群で雄2例,雌1例,300 mg/kg投与群で雄3例,雌4例および食殺のため性別不明の新生児が1例認められた.

哺育4日までの期間の死亡あるいは不明例が対照群で雄4例,雌2例,100 mg/kg投与群で雄1例,1000 mg/kg群で雄1例に認められた.

生存例では下顎部の外傷と痂皮が100 mg/kg投与群の雌1例,痕跡尾とその脱落が1000 mg/kg投与群の雌1例に認められた.

5) 新生児の体重推移

各投与群ともに対照群と比較して有意差は認められなかった.

6) 新生児の剖検

死亡例では,各投与群とも異常は認められなかった.

哺育4日の剖検例では,痂皮が100 mg/kg投与群の雌1例,尾の欠損が1000 mg/kg投与群の雌1例に認められた.

考察

1. 反復投与毒性

一般状態では,1000 mg/kg投与群の雄1例に最終投与の翌日(剖検日)のみに腹部中央の隆起および口周囲の被毛汚れがみられた.この変化は,剖検で確認された臍ヘルニアと関連するものであり,被験物質投与との関連はないと考えられた.300 mg/kg投与群の雌1例にみられた皮下腫瘤は病理組織学的に乳腺腺腫と診断されたが,1000 mg/kg投与群には乳腺腺腫の発現は認められないことから,自然発生と考えられ被験物質との関連はないと考えられた.

血液生化学検査では,1000 mg/kg投与群の雌に総蛋白およびカルシウムの低値がみられ,これらは関連する変動であることから被験物質投与の影響と考えられた.

剖検所見では,300および1000 mg/kg投与群の雄で各1例に精巣および精巣上体の萎縮が認められた.病理組織所見でも300および1000 mg/kg投与群の雄各1例に精細管の萎縮がみられ,精巣上体の精子減少を伴う例も認められた.

体重,摂餌量,尿検査,血液学検査,器官重量に被験物質投与の影響は認められなかった.

以上のことから,雄では300 mg/kg以上の投与群で精巣および精巣上体の萎縮がみられ,雌では1000 mg/kg投与群に総蛋白およびカルシウムの低値が認められた.したがって,本試験条件下におけるトリリン酸アルミニウム塩の無影響量(NOEL)は雄で100 mg/kg/day,雌で300 mg/kg/dayであると考えられた.

2. 生殖発生毒性

1000 mg/kg投与群で雌2例に不妊がみられ,1例では反復投与毒性による雄への影響に起因し,もう1例は雌の例の膣閉鎖に起因すると考えられた.

生殖能検査では,各投与群とも雌の性周期,雌雄の交尾率,受胎率,出産率,妊娠期間,哺育4日時哺育率,母動物の黄体数,着床数,着床率,総出産児数,出産児の性比,哺育0日の生存児数,出生率,哺育4日の生存児数,新生児の一般状態,体重および剖検に被験物質投与による変化は認められなかった.

以上のことから,親動物の生殖能および新生児の発生いずれについても各投与群ともに被験物質による影響は認められなかった.したがって,本試験条件下におけるトリリン酸アルミニウム塩の反復投与による親動物の生殖に対する無影響量(NOEL)および新生児の発生に対する無影響量(NOEL)はいずれも1000 mg/kg/dayと考えられた.

連絡先
試験責任者:須永昌男
試験担当者:木口雅夫,咲間正志,笠原みゆき,平田真理子,古川正敏
(株)化合物安全性研究所
〒004-0839 札幌市清田区真栄363-24
Tel 011-885-5031Fax 011-885-5313

Correspondence
Authors:Masao Sunaga(Study director)
Masao Kiguchi, Masashi Sakuma, Miyuki Kasahara, Mariko Hirata, Masatoshi Furukawa
Safety Research Institute for Chemical Compounds Co., Ltd.
363-24 Shin-ei, Kiyota-ku, Sapporo-shi, Hokkaido, 004-0839, Japan
Tel +81-11-885-5031Fax +81-11-885-5313