N,N-¥¸¥á¥Á¥ë¥Ù¥ó¥¸¥ë¥¢¥ß¥ó¤Î
¥é¥Ã¥È¤òÍѤ¤¤ë28Æü´Ö¤ÎÈ¿ÉüÅêÍ¿ÆÇÀ­»î¸³

Twenty-eight-day Repeat Dose Oral Toxicity Test of
N,N-Dimethylbenzylamine in Rats

Í×Ìó

N,N-¥¸¥á¥Á¥ë¥Ù¥ó¥¸¥ë¥¢¥ß¥ó¤Ï¡¤Í­µ¡¹çÀ®È¿±þ¤Î¿¨ÇޤȤ·¤Æ»ÈÍѤµ¤ì¤Æ¤¤¤ë²½¹çʪ¤Ç¤¢¤ë¡¥Ëܲ½¹çʪ¤ÎÆÇÀ­¤Ë¤Ä¤¤¤Æ¤Ï¡¤¤Û¤È¤ó¤ÉÊó¹ð¤¬¤Ê¤¤¤¿¤á¡¤º£²ó¡¤´û¸²½³ØÊª¼Á¤Î°ÂÁ´ÅÀ¸¡¤Ë´Ø¤ï¤ëÆÇÀ­Ä´ºº»ö¶È¤Î°ì´Ä¤È¤·¤Æ¡¤N,N-¥¸¥á¥Á¥ë¥Ù¥ó¥¸¥ë¥¢¥ß¥ó¤Ë¤Ä¤¤¤Æ¡¤50¡¤100¡¤200¤ª¤è¤Ó400 mg/kg/day¤ÎÍÑÎ̤ÇSD·Ï¥é¥Ã¥È¤òÍѤ¤¡¤28Æü´ÖÈ¿ÉüÅêÍ¿ÆÇÀ­»î¸³¤ò¼Â»Ü¤·¤¿¡¥Âоȷ²¡¤200¤ª¤è¤Ó400 mg/kg·²¤Ë¤Ï¤½¤ì¤¾¤ì»óͺ³Æ5ɤ¤Î14Æü´Ö²óÉü·²¤òÀߤ±¤¿¡¥

»óͺ¤È¤â¡¤400 mg/kg·²¤ÇÅêÍ¿2½µ¤«¤é»àË´Î㤬ǧ¤á¤é¤ì¤¿¡¥Íº¤ª¤è¤Ó»ó¤Î»àË´Îã¤Ï¤½¤ì¤¾¤ìÅêÍ¿2½µ¤Ç1¤ª¤è¤Ó2Î㡤3½µ¤Ç5¤ª¤è¤Ó7Î㡤4½µ¤Ç2¤ª¤è¤Ó1Îã¤Ç¤¢¤ê¡¤»à˴Ψ¤Ïͺ¤Ç80%¡¤»ó¤Ç100%¤Ç¤¢¤Ã¤¿¡¥ÉÂÍý³Ø¸¡ºº¤Î·ë²Ì¤Ë¤Ï»à°ø¤Ë·ë¤Ó¤Ä¤¯ÊѲ½¤Ïǧ¤á¤é¤ì¤Ê¤«¤Ã¤¿¡¥

°ìÈ̾õÂ֤δѻ¡¤Ç¤Ï¡¤»óͺ¤Î100 mg/kg·²¤Ç½ÌÆ·¡¤200¤ª¤è¤Ó400 mg/kg·²¤Ç½ÌÆ·¤ª¤è¤Óή޷¤¬Ç§¤á¤é¤ì¤¿¡¥¤µ¤é¤Ë400 mg/kg·²¤Ç»óͺ¤ËÈïÌӤαø¤ì¤¬¡¤»ó¤Ë¿¶À郎ǧ¤á¤é¤ì»à¤Ë»ê¤Ã¤¿¡¥»óͺ¤Ç´Ñ»¡¤µ¤ì¤¿¾É¾õ¤Ï²óÉü»î¸³¤Ç¤Ï´Ñ»¡¤µ¤ì¤º¡¤²óÉü¤ò¼¨¤·¤¿¡¥

ÂνŤÏͺ¤Î400 mg/kg·²¤ÇÁý²Ã¤¬ÍÞÀ©¤µ¤ì¡¤ÅêÍ¿3½µ°Ê¹ßÍ­°Õ¤Ç¤¢¤Ã¤¿¡¥ÀݱÂÎ̤ˤϡ¤»óͺ¤È¤â·²´Ö¤ÇÌÀ³Î¤Êº¹¤Ïǧ¤á¤é¤ì¤Ê¤«¤Ã¤¿¡¥²óÉü´ü´ÖÃæ¤Ï¡¤»óͺ¤È¤âÂоȷ²¤ÈÈ︳ʪ¼ÁÅêÍ¿·²¤È¤ÇÍ­°Õ¤Êº¹¤Ïǧ¤á¤é¤ì¤Ê¤«¤Ã¤¿¡¥

·ì±Õ³Ø¸¡ºº¤Î·ë²Ì¡¤Íº¤Î400 mg/kg·²¤ÇÅêÍ¿½ªÎ»»þ¤Þ¤ÇÀ¸Â¸¤·¤¿1Îã¤Ç¥ê¥ó¥Ñµå¿ôÄãÃͤËȼ¤¦Çò·ìµå¿ô¤ÎÄãÃͤ¬Ç§¤á¤é¤ì¤¿¤¬¡¤¤³¤ì¤ò½ü¤­²óÉü´ü´Ö½ªÎ»»þ¤Î·ë²Ì¤ò´Þ¤áÈ︳ʪ¼Á¤ÎÅêÍ¿¤È´ØÏ¢¤Å¤±¤é¤ì¤ëÊѲ½¤Ïǧ¤á¤é¤ì¤Ê¤«¤Ã¤¿¡¥

·ì±Õ¶Å¸Çǽ¸¡ºº¤Î·ë²Ì¡¤Íº¤Î400 mg/kg·²¤ÇÅêÍ¿½ªÎ»»þ¤Þ¤ÇÀ¸Â¸¤·¤¿1Îã¤Ç¥Õ¥£¥Ö¥ê¥Î¡¼¥²¥óÎ̤ÎÄãÃͤ¬Ç§¤á¤é¤ì¤¿¤¬¡¤¤³¤ì¤ò½ü¤­»óͺ¤È¤âÆÇÀ­³ØÅª¤Ë°ÕµÁ¤Î¤¢¤ëÊѲ½¤Ïǧ¤á¤é¤ì¤Ê¤«¤Ã¤¿¡¥

·ì±ÕÀ¸²½³Ø¸¡ºº¤Î·ë²Ì¡¤Íº¤Î200 mg/kg·²¤ÇÁí¥³¥ì¥¹¥Æ¥í¡¼¥ë¤¬¹âÃÍ·¹¸þ¤ò¼¨¤·¤¿¡¥²óÉü´ü´Ö½ªÎ»»þ¤Ë¤Ï¡¤Íº¤Î200 mg/kg·²¤ÇA/GÈæ¤¬¶Ï¤«¤Ê¤¬¤éÄãÃͤò¼¨¤·¤¿¡¥

Ç¢¸¡ºº¤Î·ë²Ì¡¤Íº¤Î100 mg/kg·²°Ê¾å¤ª¤è¤Ó»ó¤Î200 mg/kg·²°Ê¾å¤Î·²¤ÇÇ¢Î̤ÎÁý²Ã·¹¸þ¤¬Ç§¤á¤é¤ì¤¿¡¥

´ï´±½ÅÎ̬Äê¤Î·ë²Ì¡¤Íº¤Î200 mg/kg·²¤Çç£Â¡¤Î¼Â½ÅÎ̤¬¹âÃÍ¡¤»ó¤Î200 mg/kg·²¤Ç´Î¡¤Î¼Â½ÅÎ̤ª¤è¤ÓÁêÂнÅÎ̤¬¹âÃͤò¼¨¤·¡¤¤µ¤é¤Ë¡¤Íº¤Î400 mg/kg¤Çç£Â¡¤Î¼Â½ÅÎ̤ʤé¤Ó¤Ë¶»Á£¤Î¼Â½ÅÎ̤ª¤è¤ÓÁêÂнÅÎ̤¬ÄãÃÍ·¹¸þ¤ò¼¨¤·¤¿¡¥¤Þ¤¿¡¤²óÉü´ü´Ö½ªÎ»»þ¡¤Íº¤Î200 mg/kg·²¤ÇÉû¿Õ¤Î¼Â½ÅÎ̤ª¤è¤ÓÁêÂнÅÎ̤¬¹âÃͤò¼¨¤·¡¤¤µ¤é¤Ëͺ¤Î400 mg/kg¤ÇÉû¿Õ¤Î¼Â½ÅÎ̤¬¹âÃÍ·¹¸þ¤ª¤è¤ÓÀºÁã¤Î¼Â½ÅÎ̤¬ÄãÃÍ·¹¸þ¤ò¼¨¤·¤¿¡¥

ÉÂÍý³Ø¸¡ºº¤Î·ë²Ì¡¤ÅêÍ¿½ªÎ»»þ¤Ë·×²è²ò˶¤·¤¿Æ°Êª¤ÎÁÈ¿¥½ê¸«¤Ë¤Ï¡¤È︳ʪ¼ÁÅêÍ¿¤Î±Æ¶Á¤ò¼¨º¶¤¹¤ëÊѲ½¤Ï´Ñ»¡¤µ¤ì¤Ê¤«¤Ã¤¿¡¥»à˴ưʪ¤ÎÁÈ¿¥½ê¸«¤Ç¤Ï¡¤´Î¡¤ÎºÙ˦¼ÁÆâÉõÆþÂΤ¬»óͺ¤Ë¡¤Éû¿Õ¤ÎÈé¼Á¤Î¶õ˦ÊÑÀ­¤¬»ó¤Ë´Ñ»¡¤µ¤ì¤¿¤¬¡¤¤¤¤º¤ì¤ÎÉÂÊѤâÅêÍ¿½ªÎ»»þ¤Î·×²è²ò˶Îã¤Ë¤Ï´Ñ»¡¤µ¤ì¤Ê¤«¤Ã¤¿¡¥

°Ê¾å¤Î·ë²Ì¡¤Ëܻ¾ò·ï²¼¤Ë¤ª¤±¤ëN,N-¥¸¥á¥Á¥ë¥Ù¥ó¥¸¥ë¥¢¥ß¥ó¤Î̵±Æ¶ÁÎÌ(NOEL)¤Ï¡¤»óͺ¤È¤â50 mg/kg/day¤È¹Í¤¨¤é¤ì¤¿¡¥

ÊýË¡

1¡¥È︳ʪ¼Á

N,N-¥¸¥á¥Á¥ë¥Ù¥ó¥¸¥ë¥¢¥ß¥ó(CAS No.103-83-3¡¤¹­±É²½³Ø¹©¶È(³ô)Äó¶¡)¤Ï̵¿§Ëô¤Ïø²«¿§¤Î±ÕÂΤǡ¤¿å¤ËÈùÍÏ¡¤Ê¬»Ò¼°C9H13N¡¤Ê¬»ÒÎÌ135.23¤Î²½¹çʪ¤Ç¤¢¤ë¡¥Ëܻ¤ËÍѤ¤¤¿¥í¥Ã¥ÈÈÖ¹æ:50502¤Î½ãÅÙ¤Ï99.93 wt%¤Ç¤¢¤ê¡¤»î¸³´ü´ÖÃæ°ÂÄê¤Ç¤¢¤ë¤³¤È¤ò³Îǧ¤·¤¿¡¥

2¡¥¶¡»îưʪ

¶¡»î¤·¤¿¥é¥Ã¥È¡ÌCrj:CD(SD)·Ï¡¤SPF¡Í¤ÏÆüËÜ¥Á¥ã¡¼¥ë¥¹¡¦¥ê¥Ð¡¼(³ô)¤«¤é4½µÎð¤Ç¹ØÆþ¤·¤¿¡¥Æ°Êª¤ò¸¡¼ý¸å¡¤»î¸³´Ä¶­¤Ë8Æü´ÖÆë²½¤µ¤»¤¿¸å¡¤6½µÎð¤ÇÅêÍ¿¤ò³«»Ï¤·¤¿¡¥Æ°Êª¤Ï¤¢¤é¤«¤¸¤áÂνŤˤè¤Ã¤ÆÁØÊ̲½¤·¡¤Ìµºî°ÙÃê½ÐË¡¤Ë¤è¤ê³Æ»î¸³·²¤ò¹½À®¤¹¤ë¤è¤¦¤Ë·²Ê¬¤±¤·¤¿¡¥ÅêÍ¿³«»Ï»þ¤ÎÂνŤÏͺ¤Ç117¡Á133 g¡¤»ó¤Ç108¡Á117 g¤Ç¤¢¤Ã¤¿¡¥

3¡¥»ô°é¾ò·ï

ưʪ¤Ï¥Ð¥ê¥¢¥·¥¹¥Æ¥à¤Î»ô°é¼¼¤Ç»ô°é¤·¡¤´Ä¶­Ä´Àá¤ÎÌÜɸÃͤϲ¹ÅÙ23¡Þ2¡î¡¤ÁêÂм¾ÅÙ55¡Þ10%¡¤´¹µ¤²ó¿ô20²ó/»þ¡¤¾ÈÌÀ150¡Á300 lux¡¤12»þ´Ö(¸áÁ°7»þÅÀÅô¡¤¸á¸å7»þ¾ÃÅô)¤È¤·¤¿¡¥(³ô)Åìµþµ»¸¦¥µ¡¼¥Ó¥¹¤Î¿åÀö¼°»ô°éµ¡¤ò»ÈÍѤ·¡¤¶â°À½Á°ÌÌ¡¦¾²ÌÖÌÜ»ô°é¥±¡¼¥¸¤Ëưʪ¤ò1ɤ¤º¤Ä¼ýÍÆ¤·¡¤¥ª¥ê¥¨¥ó¥¿¥ë¹ÚÊ칩¶È(³ô)À½Â¤¤ÎÊü¼ÍÀþÌǶݲþÎÉNIH¸ø³«¥é¥Ã¥È¡¦¥Þ¥¦¥¹»ôÎÁ¤ª¤è¤Ó¿åÆ»¿å¤ò¼«Í³¤ËÀݼ褵¤»¤¿¡¥»ô°é¥±¡¼¥¸¤Ï³Ö½µ1²ó¡¤µë±Â´ï¤Ï½µ1²ó¼è¤ê´¹¤¨¤¿¡¥

4¡¥»î¸³·²¤Î¹½À®

»î¸³·²¤Ï0¡¤50¡¤100¡¤200¤ª¤è¤Ó400 mg/kg¤Î5·²¤È¤·¡¤1·²»óͺ³Æ5ɤ¤òÍѤ¤¡¤0¡¤200¤ª¤è¤Ó400 mg/kg·²¤Ë»óͺ³Æ5ɤ¤Î²óÉü·²¤òÀߤ±¡¤·×80ɤ¤ò»ÈÍѤ·¤¿¡¥

¡ÌÍÑÎÌÀßÄêÍýͳ¡Í

Ëܻ¤ËÀèΩ¤Ã¤Æ¼Â»Ü¤·¤¿¥é¥Ã¥È¤òÍѤ¤¤¿µÞÀ­·Ð¸ýÅêÍ¿ÆÇÀ­Í½È÷»î¸³(ÅêÍ¿ÎÌ:200¡¤400¡¤600¡¤800 mg/kg)¤Î·ë²Ì¡¤800 mg/kg·²¤Ç¤Ï»óͺ¤¹¤Ù¤Æ¤Îưʪ¤¬»àË´¤·¡¤600 mg/kg·²¤Ç¤Ï»óͺ¤È¤â¤Ë3ÎãÃæ2Î㤬»àË´¤·¤¿¡¥¤µ¤é¤Ë¡¤600 mg/kg·²¤Ç¤Ï»óͺ¤¹¤Ù¤Æ¤Îưʪ¤Ëή޷¤ª¤è¤Ó´ÖÂåÀ­áÛÚ»Åù¤¬Ç§¤á¤é¤ì¤¿¡¥°ìÊý¡¤2½µ´ÖÅêÍ¿»î¸³(ÅêÍ¿ÎÌ:0¡¤20¡¤60¡¤180 mg/kg)¤Î·ë²Ì¡¤180 mg/kg·²¤Î»óͺ¤Ç½ÌÆ·¤¬¡¤¤µ¤é¤Ëͺ¤Ç·ì±ÕÀ¸²½³Ø¸¡ºº¤ÎÁí¥³¥ì¥¹¥Æ¥í¡¼¥ë¤¬¹âÃͤò¼¨¤·¤¿¤Î¤ß¤Ç¡¤È︳ʪ¼ÁÅêÍ¿¤Î±Æ¶Á¤Ï·ÚÈù¤Ç¤¢¤Ã¤¿¡¥

½¾¤Ã¤Æ¡¤28Æü´ÖÈ¿ÉüÅêÍ¿ÆÇÀ­»î¸³¤Ç¤Ï»óͺ¤È¤â³Î¼Â¤Ê±Æ¶Á¤¬¤Ç¤ë¤³¤È¤¬¿ä»¡¤µ¤ì¤ë400 mg/kg¤òºÇ¹âÍÑÎ̤ËÀßÄꤷ¡¤°Ê²¼¸øÈæ2¤Ç½ü¤·¹âÍÑÎ̤ò200 mg/kg¡¤ÃæÍÑÎ̤ò100 mg/kg¡¤ÄãÍÑÎ̤ò50 mg/kg¤È¤·¤¿¡¥¤Ê¤ª¡¤400 mg/kg·²¤Ç¤Ï»àË´Îã¤â½Ð¤ë¤³¤È¤¬Í½ÁÛ¤µ¤ì¤ë¤³¤È¤«¤é¡¤¹âÍÑÎ̤Î200 mg/kg·²¤Ë¤â²óÉü·²¤òÀߤ±¤ë¤³¤È¤È¤·¤¿¡¥

5¡¥ÅêÍ¿ÊýË¡

È︳ʪ¼Á¤ÎÅêÍ¿·ÐÏ©¤Ï·Ð¸ý¤È¤·¤¿¡¥È︳ʪ¼Á¤Ï¥³¡¼¥óÌý¤ËÍϲò¤·¡¤°ß¥¾¥ó¥Ç¤òÍѤ¤¤Æ·Ð¸ýÅêÍ¿¤·¤¿¡¥ÅêÍ¿ÍÆÎ̤ÏÂνÅ100 gÅö¤¿¤ê0.5 ml¤È¤·¤¿¡¥Âоȷ²¤Ë¤ÏÇÞÂΤΤßÅêÍ¿¤·¤¿¡¥

6¡¥ÅêÍ¿±Õ¤ÎÄ´À½¡¤Ê¬ÀÏ

È︳ʪ¼Á¤Ï¡¤³ÆÍÑÎÌ(50¡¤100¡¤200¤ª¤è¤Ó400 mg/kg)¤´¤È¤Ë½êÄêÎ̤òÀºÇ餷¡¤¥³¡¼¥óÌý(¥Ê¥«¥é¥¤¥Æ¥¹¥¯(³ô))¤ËÍϲò¤·¤¿¡¥ÅêÍ¿±Õ¤ÏÄ´À½¸å¡¤Î䢸ËÊݸ¤Ç1½µ´Ö°ÂÄê¤Ç¤¢¤ë¤³¤È¤¬³Îǧ¤µ¤ì¤Æ¤¤¤ë¤Î¤Ç¡¤Ëܻ¤Ë¤ª¤¤¤Æ¤ÏËè½µ1²óÄ´À½¤ò¹Ô¤¤¡¤1ÆüʬËè¤Ë¾®Ê¬¤±¤ò¤·»ÈÍÑ»þ¤Þ¤ÇÎ䢸ˤËÊݴɤ·¤¿¡¥ÅêÍ¿±Õ¤ÎÇ»ÅÙʬÀϤò¤¹¤Ù¤Æ¤Î·²¤Ë´Ø¤·ÅêÍ¿1¤ª¤è¤Ó4½µ¤ÎÄ´À½±Õ¤Ë¤Ä¤¤¤Æ¼Â»Ü¤·¤¿·ë²Ì¡¤ÀßÄêÇ»ÅÙ¤Î90.5¡Á101%¤ÎÈϰϤǤ¢¤ê¡¤Å¬ÀÚ¤ËÄ´À½¤µ¤ì¤Æ¤¤¤¿¡¥

7¡¥ÅêÍ¿´ü´Ö

ÅêÍ¿´ü´Ö¤Ï28Æü´Ö¤È¤·¡¤ÅêÍ¿½ªÎ»¸å0¡¤200¤ª¤è¤Ó400 mg/kg·²¤Ë¤Ä¤¤¤Æ14Æü´Ö¤Î²óÉü»î¸³¤ò¼Â»Ü¤·¤¿¡¥

8¡¥´Ñ»¡¡¤Â¬Äꤪ¤è¤Ó¸¡ºº

1)¡¡°ìÈ̾õÂ֤δѻ¡

Á´Æ°Êª¤òËèÆüÅêÍ¿Á°¡¤ÅêÍ¿¸å1¤ª¤è¤Ó5»þ´Ö¤Î3²ó´Ñ»¡¤·¡¤ÃæÆÇ¾É¾õ¤Î̵ͭ¡¤¹Ôư°Û¾ï¡¤»à´ü¤ÎÇ÷¤Ã¤¿Æ°Êª¤ª¤è¤Ó»à˴ưʪ¤Î̵ͭÅù¤òµ­Ï¿¤·¤¿¡¥

2)¡¡ÂνÅ

ÅêÍ¿³«»Ï¤«¤é²óÉü»î¸³½ªÎ»»þ¤Þ¤Ç¡¤Ëè½µ1²ó¬Äꤷ¤¿¡¥

3)¡¡ÀݱÂÎÌ

Ëè½µ1½µµë±Â¤·¤¿»ÄÎ̤ò¬Äꤷ¡¤»ôÎÁÀݼèÎÌ(g/week)¤ò»»½Ð¤·¤¿¡¥

4)¡¡Î×¾²¸¡ºº

ÅêÍ¿½ªÎ»»þ¤ª¤è¤Ó²óÉü´ü´Ö½ªÎ»»þ¤Î·×2²ó¼Â»Ü¤·¤¿¡¥ºÎ·ì¤¹¤ë¤ËÅö¤ê¡¤Æ°Êª¤ÏÌó16»þ´ÖÀä¿©¤µ¤»¤¿¡¥Æ°Êª¤ò¥¨¡¼¥Æ¥ë¤ÇËã¿ì¸å³«Ê¢¤·¡¤Ê¢ÉôÂçÆ°Ì®¤«¤éºÎ·ì¤·¤¿¡¥

a¡¥·ì±Õ³Ø¸¡ºº

EDTA-3K¤òź²Ã¤·¤¿½é·ì¤òÍѤ¤¡¤Çò·ìµå¿ô(WBC:°Å»ëÌîÈÄË¡)¡¤ÀÖ·ìµå¿ô(RBC:°Å»ëÌîÈÄË¡)¡¤¥Ø¥â¥°¥í¥Ó¥óÎÌ(HGB:¥·¥¢¥ó¥á¥È¥Ø¥â¥°¥í¥Ó¥óË¡)¡¤¥Ø¥Þ¥È¥¯¥ê¥Ã¥ÈÃÍ(HCT:RBC¡¤MCV¤è¤ê»»½Ð)¡¤Ê¿¶ÑÀÖ·ìµåÍÆÀÑ(MCV:°Å»ëÌîÈÄË¡)¡¤Ê¿¶ÑÀÖ·ìµå·ì¿§ÁÇÎÌ(MCH:HGB¡¤RBC¤è¤ê»»½Ð)¡¤Ê¿¶ÑÀÖ·ìµå·ì¿§ÁÇÇ»ÅÙ(MCHC:HGB¡¤HCT¤è¤ê»»½Ð)¡¤·ì¾®ÈÄ¿ô(PLT:°Å»ëÌîÈÄË¡)¤ª¤è¤ÓÇò·ìµåɴʬΨ(¥Õ¥í¡¼¥µ¥¤¥È¥á¥È¥ê¡¼Ë¡)¤ò·ì±Õ¼«Æ°Ê¬ÀÏÁõÃÖTHMS H¡¦1E(ÊÆ¹ñ¥Þ¥¤¥ë¥¹¼Ò)¤òÍѤ¤¤ÆÂ¬Äꤷ¤¿¡¥

ÌÖÀÖ·ìµå(RC)Ψ»»Äê¤Î¤¿¤á¹³¶Å¸ÇºÞź²Ã(EDTA-3K)·ì±Õ¤ò¥Ë¥å¡¼¥á¥Á¥ì¥ó¥Ö¥ë¡¼¤ÇÀ÷¿§¸å¡¤ÅÉËõɸËܤòºîÀ½¤·¶À¸¡¤·¤¿¡¥

¤Þ¤¿¡¤¥¯¥¨¥ó»À¥½¡¼¥Àź²Ã·ì±Õ¤Î·ìÞù¤Ë¤Ä¤¤¤Æ¡¤¥×¥í¥È¥í¥ó¥Ó¥ó»þ´Ö(Quick1ÃÊË¡)¡¤³èÀ­²½Éôʬ¥È¥í¥ó¥Ü¥×¥é¥¹¥Á¥ó»þ´Ö(¥¯¥í¥Ã¥ÈË¡)¤ª¤è¤Ó¥Õ¥£¥Ö¥ê¥Î¡¼¥²¥óÎÌ(¥È¥í¥ó¥Ó¥ó»þ´ÖË¡)¤ò·ì±Õ¶Å¸Ç¼«Æ°Â¬ÄêÁõÃÖKC-40(ÆÈ¹ñAmelung¼Ò)¤òÍѤ¤¤ÆÂ¬Äꤷ¤¿¡¥

b¡¥·ì±ÕÀ¸²½³Ø¸¡ºº

·ìÀ¶¤òÍѤ¤¤Æ¡¤ÁíÃÁÇò(¥Ó¥å¡¼¥ì¥Ã¥ÈË¡)¡¤¥¢¥ë¥Ö¥ß¥ó(B.C.G.Ë¡)¡¤A/GÈæ(·×»»ÃÍ)¡¤·ìÅü(¥°¥ë¥³¡¼¥¹¥ª¥­¥·¥À¡¼¥¼Ë¡)¡¤ÃæÀ­»éËÃ(¹ÚÁÇÈæ¿§Ë¡)¡¤Áí¥³¥ì¥¹¥Æ¥í¡¼¥ë(¥³¥ì¥¹¥Æ¥í¡¼¥ë¥ª¥­¥·¥À¡¼¥¼Ë¡)¡¤Ç¢ÁÇÃâÁÇ(BUN:¥¦¥ì¥¢¡¼¥¼¥¢¥ó¥â¥Ë¥¢»Ø¼¨ÌôË¡)¡¤Áí¥Ó¥ê¥ë¥Ó¥ó(¥¸¥¢¥¾Ë¡)¡¤¥«¥ë¥·¥¦¥à(¥¢¥ë¥»¥Ê¥¾­·Ë¡)¡¤Ìµµ¡¥ê¥ó(¥â¥ê¥Ö¥Ç¥ó»ÀÀÄË¡)¡¤¥Ê¥È¥ê¥¦¥à(ÅŶËË¡)¡¤¥«¥ê¥¦¥à(ÅŶËË¡)¤ª¤è¤Ó±öÁÇ(ÅŶËË¡)¤òEKTACHEM 700N(ÊÆ¹ñ¥³¥À¥Ã¥¯¼Ò)¤Ç¡¤¥¯¥ì¥¢¥Á¥Ë¥ó(JaffË¡)¡¤¥°¥ë¥¿¥ß¥ó»À¥ª¥­¥¶¥í¿Ý»À¥È¥é¥ó¥¹¥¢¥ß¥Ê¡¼¥¼(GOT:IFCCË¡)¡¤¥°¥ë¥¿¥ß¥ó»À¥Ô¥ë¥Ó¥ó»À¥È¥é¥ó¥¹¥¢¥ß¥Ê¡¼¥¼(GPT:IFCCË¡)¡¤¦Ã-¥°¥ë¥¿¥ß¥ë¥È¥é¥ó¥¹¥Ú¥×¥Á¥À¡¼¥¼(¦Ã-GTP:OrlwskiË¡)¤ª¤è¤Ó¥¢¥ë¥«¥ê¥Û¥¹¥Õ¥¡¥¿¡¼¥¼(ALP:Bessey-Lowry²þÎÉË¡)¤òCentrifiChem ENCORE­¶(ÊÆ¹ñ¥Ù¡¼¥«¡¼¼Ò)¤Ç¬Äꤷ¤¿¡¥

c¡¥Ç¢¸¡ºº

·ì±Õ³Ø¸¡ºº¤ËÀèΩ¤Á¡¤ºÎÇ¢´ï¤òÍѤ¤¤Æ24»þ´Ö(¸áÁ°10»þ¤«¤éÍâÆü¸áÁ°10»þ¤Þ¤Ç)Ç¢¤òºÎ¼è¤·¡¤Ç¢ÎÌ¡¤¿§Ä´¤ª¤è¤ÓÂùÅÙ¤ò¸¡ºº¸å¡¤Ç¢Èæ½Å·×UR-S((³ô)¥¢¥¿¥´)¤òÍѤ¤¤ÆÇ¢Èæ½Å¤ò¬Äꤷ¤¿¡¥¤Þ¤¿¡¤Ç¢¤ò±ó¿´Ê¬Î¥¸åSternheimerÊÑË¡¤Ë¤è¤êÄÀÞÖ¤òÀ÷¿§¤·¡¤¶À¸¡¤·¤¿¡¥pH¡¤Àø·ì¡¤¥±¥È¥óÂΡ¤Åü¡¤ÃÁÇò¡¤¥Ó¥ê¥ë¥Ó¥ó¤ª¤è¤Ó¥¦¥í¥Ó¥ê¥Î¡¼¥²¥ó¤Î¸¡ºº¤Ï¡¤ÇÓÝõ3»þ´Ö°ÊÆâ¤Î¿·Á¯Ç¢¤Ë¤Ä¤¤¤Æ¡¤N-¥Þ¥ë¥Æ¥£¥¹¥Æ¥£¥Ã¥¯¥¹SG»î¸³»æ(¥Þ¥¤¥ë¥¹¡¦»°¶¦(³ô))¤ª¤è¤ÓCLINITEK200(ÊÆ¹ñ¥Þ¥¤¥ë¥¹¼Ò)¤òÍѤ¤¤Æ¹Ô¤Ã¤¿¡¥

5)¡¡ÉÂÍý³Ø¸¡ºº

ÉÂÍý²ò˶¤ÏÅêÍ¿½ªÎ»»þ¤ª¤è¤Ó²óÉü´ü´Ö½ªÎ»»þ¤Ëưʪ¤ò¥¨¡¼¥Æ¥ëËã¿ì¤·¡¤Êü·ìÃ׻व¤»¼Â»Ü¤·¤¿¡¥»à˴ưʪ¤Ïȯ¸«¸å¡¤Ä¾¤Á¤Ë²ò˶¤·¤¿¡¥¤Þ¤¿¡¤Ç¾¡¤´Î¡¡¤¿Õ¡¡¤ç£Â¡¡¤Éû¿Õ¡¤ÀºÁ㡤ÍñÁ㤪¤è¤Ó¶»Á£¤Ë¤Ä¤¤¤Æ½ÅÎ̤ò¬Äꤷ¡¤´ï´±½ÅÎÌ¡¦ÂνÅÈæ¤ò»»½Ð¤·¤¿¡¥¾åµ­½ÅÎ̬Äê´ï´±¡¤²¼¿âÂΡ¤´ãµå¡¤ÂñÕÁ£¡¤¹Ã¾õÁ£(¾åÈé¾®ÂΤò´Þ¤à)¡¤¿´Â¡¡¤ÇÙ¡¤°ß¡¤ç¯æù¡¤¹ü¿ñ(ÂçÂܹü)¤ª¤è¤ÓÆù´ã½ê¸«¤ÇÊѲ½¤¬Ç§¤á¤é¤ì¤¿´ï´±¡¦ÁÈ¿¥¤Ï10%ÃæÀ­´Ë¾×¥Û¥ë¥Þ¥ê¥ó±Õ¤Ç¸ÇÄꤷ¤¿¡¥

ÉÂÍýÁÈ¿¥³Ø¸¡ºº¤Ï¸ÇÄꤷ¤¿´ï´±¡¦ÁÈ¿¥¤Î¤¦¤Á¡¤ÅêÍ¿½ªÎ»»þ¤ª¤è¤Ó²óÉü»î¸³½ªÎ»»þ¤Ë²ò˶¤·¤¿Âоȷ²¤È¹âÍÑÎÌ·²¤Î¿´Â¡¡¤¶»Á£¡¤´Î¡¡¤ç£Â¡¡¤¿Õ¡¡¤Éû¿Õ¤ª¤è¤Ó¹ü¿ñ(ÂçÂܹü)¤Ë¤Ä¤¤¤Æ¸¡º÷¤·¤¿¡¥¤Þ¤¿¡¤»óͺ¤Î´Î¡¡¤Íº¤Î¶»Á£¤ª¤è¤Ó»ó¤ÎÉû¿Õ¤Ë¤Ä¤¤¤ÆÂ¾¤ÎÍÑÎÌ·²¤ª¤è¤Ó²óÉü·²¤Ë¤Ä¤¤¤Æ¤â¼Â»Ü¤·¤¿¡¥¤Ê¤ª¡¤»óͺ¤È¤â¤Ë400 mg/kg·²¤ÇÅêÍ¿´ü´ÖÃæ¤Ë»àË´Î㤬¿ȯ¤·¤¿¤¿¤á¡¤»óͺ¤Î200 mg/kg·²¤òÁÈ¿¥³Ø¸¡ºº¤Ë¶¡¤·¤¿¡¥¾ïË¡¤Ë½¾¤Ã¤ÆÇöÀÚɸËܤòºîÀ½¤·¡¤¥Ø¥Þ¥È¥­¥·¥ê¥ó¡¦¥¨¥ª¥¸¥óÀ÷¿§¤·¤¿¡¥

6)¡¡Åý·×²òÀÏ

³Æ»î¸³·²¤ÎÂνš¤ÀݱÂÎÌ¡¤·ì±Õ³Ø¸¡ººÃÍ¡¤·ì±ÕÀ¸²½³Ø¸¡ººÃÍ¡¤Ç¢¸¡ººÃÍ(Ç¢Î̤ª¤è¤ÓÇ¢Èæ½Å¤Î¤ß)¡¤´ï´±½ÅÎ̤ª¤è¤Ó´ï´±½ÅÎÌ¡¦ÂνÅÈæ¤Ë¤Ä¤¤¤Æ¤Ï¡¤Â¿½ÅÈæ³Ó¸¡Äê1)2)¤ò¹Ô¤Ã¤¿¡¥¤Þ¤¿¡¤ÉÂÍý³Ø¸¡ºº·ë²Ì¤Ë¤Ä¤¤¤Æ¤ÏFisher¤Î³ÎΨ·×»»Ë¡¤ò¼Â»Ü¤·¤¿¡¥

Í­°Õ¿å½à¤Ï5¤ª¤è¤Ó1%¤Îξ¦¸¡Äê¤Ç¼Â»Ü¤·¤¿¡¥

·ë²Ì

1¡¥»à˴Ψ

»óͺ¤È¤â¡¤400 mg/kg·²¤ÇÅêÍ¿2½µ¤«¤é»àË´Î㤬ǧ¤á¤é¤ì¤¿¡¥Íº¤ª¤è¤Ó»ó¤Î»àË´Îã¤Ï¤½¤ì¤¾¤ì2½µ¤Ç1¤ª¤è¤Ó2Î㡤3½µ¤Ç5¤ª¤è¤Ó7Î㡤4½µ¤Ç2¤ª¤è¤Ó1Îã¤Ç¤¢¤ê¡¤ÅêÍ¿½ªÎ»»þ¤Ë¤ª¤±¤ëÀ¸Â¸¿ô¤Ïͺ¤ª¤è¤Ó»ó¤Ç¤½¤ì¤¾¤ì2¤ª¤è¤Ó0Îã¤Ç¤¢¤Ã¤¿¡¥¤½¤Î¾¤ÎÅêÍ¿·²¤Ç¤Ï¡¤»óͺ¤È¤â»àË´Îã¤Ïǧ¤á¤é¤ì¤Ê¤«¤Ã¤¿¡¥½¾¤Ã¤Æ¡¤0¡¤50¡¤100¡¤200¤ª¤è¤Ó400 mg/kg·²¤Î»à˴Ψ¤Ï¡¤¤½¤ì¤¾¤ìͺ¤Ç0¡¤0¡¤0¡¤0¤ª¤è¤Ó80%¡¤»ó¤Ç0¡¤0¡¤0¡¤0¤ª¤è¤Ó100%¤Ç¤¢¤Ã¤¿¡¥

²óÉü´ü´ÖÃæ¤Ë¤Ï¡¤»óͺ¤È¤âÂоȷ²¡¤200 mg/kg·²¤ª¤è¤Ó400 mg/kg·²(ͺ)¤Ç»àË´Îã¤Ïǧ¤á¤é¤ì¤Ê¤«¤Ã¤¿¡¥

2¡¥°ìÈ̾õÂ֤δѻ¡

ͺ¤Ç¤Ï¡¤100¡¤200¤ª¤è¤Ó400 mg/kg·²¤ÇÅêÍ¿2Æü¤«¤é·ÚÅÙ(+)¤Î½ÌÆ·¤¬Ç§¤á¤é¤ì¡¤100 mg/kg·²¤Ç¤Ï5ÎãÃæ3Î㡤200 mg/kg·²¤Ç¤Ï10ÎãÃæ3Î㡤400 mg/kg·²¤Ç¤Ï10ÎãÃæ5Îã¤Ë´Ñ»¡¤µ¤ì¤¿¡¥¤Þ¤¿¡¤¸ýÊ­¼þ°Ï¤¬Ç¨¤ì¤ëÄøÅÙ(+)¤Îή޷¤¬200 mg/kg·²¤Ç¤ÏÅêÍ¿14Æü¤«¤é¡¤400 mg/kg·²¤Ç¤ÏÅêÍ¿10Æü¤«¤éǧ¤á¤é¤ì¡¤¤½¤ì¤¾¤ì10ÎãÃæ3Î㤪¤è¤Ó10ÎãÁ´Îã¤Ë´Ñ»¡¤µ¤ì¤¿¤¬¡¤¤¤¤º¤ì¤Îưʪ¤Î¾É¾õ¤âÅêͿľ¸å¤«¤éȯ¸½¤·¡¤3»þ´ÖÄøÅٷѳ¤·¤¿¡¥¤Ê¤ª¡¤¾åµ­¤Î½ê¸«¤Ï¤¤¤º¤ì¤â²óÉü´ü´Ö¤Ç¤Ïǧ¤á¤é¤ì¤Ê¤«¤Ã¤¿¡¥¤½¤Î¾¤ÎÊѲ½¤È¤·¤Æ¡¤Ç¢¤Ë¤è¤ë²¼Ê¢Éô¤òǨ¤é¤¹ÄøÅÙ(+)¤ÎÈïÌӤαø¤ì¤¬400 mg/kg·²¤ÇÅêÍ¿15Æü¤«¤é10ÎãÃæ1Î㡤·ÚÅÙ(+)¤Î³°½ý¤¬50¤ª¤è¤Ó200 mg/kg·²¤ÇÅêÍ¿14Æü¤«¤é³Æ1Îã¤Ëǧ¤á¤é¤ì¤¿¡¥³Ü²¼Éô¤Ëǧ¤á¤é¤ì¤¿³°½ý¤Ï¡¤50 mg/kg·²¤Î1Îã¤Ç¤ÏÅêÍ¿½ªÎ»»þ¤Î·×²è²ò˶ưʪ¤Ç¤¢¤Ã¤¿¤¿¤á²óÉüÀ­¤ÏÌÀ¤é¤«¤Ç¤Ï¤Ê¤¤¤¬¡¤200 mg/kg·²¤Î1Îã¤Ç¤Ï²óÉü´ü´Ö½ªÎ»»þ¤Þ¤Ç·Ñ³¤·¤¿¡¥

»ó¤Ç¤Ï¡¤100¡¤200¤ª¤è¤Ó400 mg/kg·²¤ÇÅêÍ¿2Æü¤«¤é·ÚÅÙ¤Î½ÌÆ·¤¬Ç§¤á¤é¤ì¡¤100 mg/kg·²¤Ç¤Ï5ÎãÃæ2Î㡤200 mg/kg·²¤Ç¤Ï10ÎãÃæ6Î㡤400 mg/kg·²¤Ç¤Ï10ÎãÃæ7Îã¤Ë´Ñ»¡¤µ¤ì¤¿¡¥¤Þ¤¿¡¤¸ýÊ­¼þ°Ï¤¬Ç¨¤ì¤ëÄøÅÙ¤Îή޷¤¬200 mg/kg·²¤Ç¤ÏÅêÍ¿14Æü¤«¤é¡¤400 mg/kg·²¤Ç¤ÏÅêÍ¿8Æü¤«¤éǧ¤á¤é¤ì¡¤¤½¤ì¤¾¤ì10ÎãÃæ7Î㤪¤è¤ÓÁ´Îã¤Ë´Ñ»¡¤µ¤ì¤¿¡¥¤µ¤é¤Ë¡¤¿¶À郎400 mg/kg·²¤ÇÅêÍ¿14Æü¤«¤é10ÎãÃæ7Îã¤Ëǧ¤á¤é¤ì¤¿¡¥¤³¤ì¤é¤Î¾É¾õ¤Ï¤¤¤º¤ì¤â²óÉü´ü´Ö¤Ç¤Ïǧ¤á¤é¤ì¤Ê¤«¤Ã¤¿¡¥¤½¤Î¾¤ÎÊѲ½¤È¤·¤Æ¡¤Ç¢¤Ë¤è¤ë²¼Ê¢Éô¤òǨ¤é¤¹ÄøÅÙ¤ÎÈïÌӤαø¤ì¤¬400 mg/kg·²¤ÇÅêÍ¿14Æü¤«¤é8ÎãÃæ5Î㡤·ÚÅ٤γ°½ý¤¬100 mg/kg·²¤ÇÅêÍ¿15Æü¤«¤é1Îã¤Ë´Ñ»¡¤µ¤ì¤¿¡¥³Ü²¼Éô¤Ëǧ¤á¤é¤ì¤¿³°½ý¤Ï¡¤ÅêÍ¿½ªÎ»»þ¤Î·×²è²ò˶ưʪ¤Ç¤¢¤Ã¤¿¤¿¤á²óÉüÀ­¤ÏÌÀ¤é¤«¤Ç¤Ï¤Ê¤«¤Ã¤¿¡¥¤Ê¤ª¡¤Î®Þ·¤ÎÄøÅÙ¤äȯ¸½»þ´Ö¤Ïͺ¤È¤Û¤ÜƱ¤¸¤Ç¤¢¤Ã¤¿¡¥

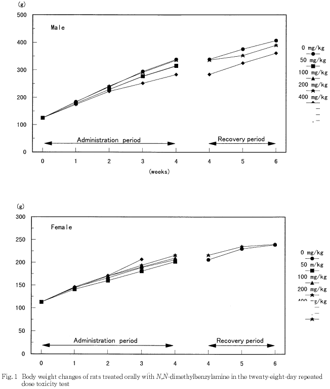
3¡¥ÂνÅ(Figure1)

ͺ¤Ç¤Ï¡¤400 mg/kg·²¤ÇÅêÍ¿1½µ¤«¤éÁý²ÃÍÞÀ©·¹¸þ¤¬Ç§¤á¤é¤ì¡¤ÅêÍ¿3¤ª¤è¤Ó4½µ¤Ë¤Ï¤½¤ì¤¾¤ìÂоȷ²¤ËÈæ³Ó¤·¤Æ14.6¤ª¤è¤Ó16.2%¸º¾¯¤·¤¿¡¥Æ±·²¤ÎÅêÍ¿³«»Ï¤«¤éÅêÍ¿½ªÎ»»þ¤Þ¤Ç¤Î4½µ´Ö¤ÎÂνÅÁý²ÃÎ̤ÏÂоȷ²¤ËÈæ³Ó¤·¤ÆÄãÃͤǤ¢¤Ã¤¿¡¥²óÉü´ü´Ö¤Ë¤ª¤¤¤Æ¤Ï¡¤½çÄ´¤ÊÂνÅÁý²Ã¤¬Ç§¤á¤é¤ì¤¿¡¥

»ó¤Ç¤Ï¡¤ÅêÍ¿4½µ¤Þ¤Ç¤Ë400 mg/kg·²¤Î¤¹¤Ù¤Æ¤Îưʪ¤¬»àË´¤·¤¿¡¥¤½¤Î¾¤Î·²¤Ç¤Ï¡¤ÅêÍ¿´ü´Ö¤ª¤è¤Ó²óÉü´ü´Ö¤òÄ̤¸¤Æ¡¤Âоȷ²¤ÈÈ︳ʪ¼ÁÅêÍ¿·²¤È¤ÇÍ­°Õ¤Êº¹¤Ïǧ¤á¤é¤ì¤Ê¤«¤Ã¤¿¡¥

4¡¥ÀݱÂÎÌ

»óͺ¤È¤â¡¤ÅêÍ¿´ü´ÖÃæ¤ª¤è¤Ó²óÉü´ü´ÖÃæ¤òÄ̤¸¤Æ¡¤Âоȷ²¤ÈÈ︳ʪ¼ÁÅêÍ¿·²¤È¤ÇÌÀ³Î¤Êº¹¤Ïǧ¤á¤é¤ì¤Ê¤«¤Ã¤¿¡¥

5¡¥·ì±Õ³ØÅª¸¡ºº(Table1)

¡ÌÅêÍ¿½ªÎ»»þ¤Î¸¡ºº·ë²Ì¡Í

ͺ¤Ç¤Ï¡¤400 mg/kg·²¤ÎÀ¸Â¸¤·¤¿1Îã¤ÇÇò·ìµå¿ô¤ÎÄãÃͤ¬Ç§¤á¤é¤ì¤¿¤¬¡¤¤½¤Î¾¤Î¸¡ºº¹àÌܤǤϡ¤¤¤¤º¤ì¤âÂоȷ²¤ÈÈ︳ʪ¼ÁÅêÍ¿·²¤È¤ÇÌÀ³Î¤Êº¹¤Ïǧ¤á¤é¤ì¤Ê¤«¤Ã¤¿¡¥

»ó¤Ç¤Ï¡¤50 mg/kg·²¤Ç¥Ø¥Þ¥È¥¯¥ê¥Ã¥È¤ÎÄãÃͤ¬Ç§¤á¤é¤ì¤¿¤¬¡¤ÍÑÎ̤ËÂбþ¤·¤¿ÊѲ½¤Ç¤Ï¤Ê¤«¤Ã¤¿¡¥¤½¤Î¾¤Î¸¡ºº¹àÌܤǤϡ¤¤¤¤º¤ì¤âÂоȷ²¤ÈÈ︳ʪ¼ÁÅêÍ¿·²¤È¤Çº¹¤Ïǧ¤á¤é¤ì¤Ê¤«¤Ã¤¿¡¥

¡Ì²óÉü´ü´Ö½ªÎ»»þ¤Î¸¡ºº·ë²Ì¡Í

ͺ¤Ç¤Ï¡¤¤¤¤º¤ì¤Î¸¡ºº¹àÌܤâÂоȷ²¤ÈÈ︳ʪ¼ÁÅêÍ¿·²¤È¤Çº¹¤Ïǧ¤á¤é¤ì¤Ê¤«¤Ã¤¿¡¥

»ó¤Ç¤Ï¡¤Âоȷ²¤ËÈæ³Ó¤·¤Æ200 mg/kg·²¤Ç·ì¾®ÈÄ¿ô¤ÎÄãÃͤ¬Ç§¤á¤é¤ì¤¿¤¬¡¤ÇØ·ÊÃͤÎÈÏ°ÏÆâ¤ÎÊѲ½¤Ç¤¢¤Ã¤¿(ÇØ·ÊÃÍ1103¡Þ124¡ß10^3/mm3¡¤n=50)¡¥¤½¤Î¾¡¤¤¤¤º¤ì¤Î¸¡ºº¹àÌܤâÂоȷ²¤ÈÈ︳ʪ¼ÁÅêÍ¿·²¤È¤Çº¹¤Ïǧ¤á¤é¤ì¤Ê¤«¤Ã¤¿¡¥

6¡¥·ì±Õ¶Å¸Çǽ¸¡ºº(Table1)

¡ÌÅêÍ¿½ªÎ»»þ¤Î¸¡ºº·ë²Ì¡Í

ͺ¤Î200 mg/kg·²¤ª¤è¤Ó»ó¤Î50¤ª¤è¤Ó200 mg/kg·²¤ÇAPTT¤¬Âоȷ²¤ËÈæ³Ó¤·¤ÆÃ»½Ì¤ò¼¨¤·¤¿¡¥¤Þ¤¿¡¤Íº¤Î400 mg/kg·²¤ÎÀ¸Â¸¤·¤¿1Îã¤Ç¥Õ¥£¥Ö¥ê¥Î¡¼¥²¥óÎ̤¬ÄãÃͤò¼¨¤·¤¿¡¥

¡Ì²óÉü´ü´Ö½ªÎ»»þ¤Î¸¡ºº·ë²Ì¡Í

ͺ¤Î400 mg/kg·²¤Î1Îã¤Ç¥Õ¥£¥Ö¥ê¥Î¡¼¥²¥ó¤¬ÄãÃͤò¼¨¤·¤¿¤¬¡¤»óͺ¤Î200 mg/kg·²¤ÏÂоȷ²¤È¸¡ºº¤ò¹Ô¤Ã¤¿3¹àÌܤ˺¹¤Ïǧ¤á¤é¤ì¤Ê¤«¤Ã¤¿¡¥

7¡¥·ì±ÕÀ¸²½³Ø¸¡ºº(Table2)

¡ÌÅêÍ¿½ªÎ»»þ¤Î¸¡ºº·ë²Ì¡Í

ͺ¤Ç¤Ï¡¤200 mg/kg·²¤ÇÁí¥³¥ì¥¹¥Æ¥í¡¼¥ë¤¬¹âÃÍ·¹¸þ¡¤200¤ª¤è¤Ó400 mg/kg·²¤ÇÃæÀ­»éËä¬ÄãÃÍ·¹¸þ¤ò¼¨¤·¤¿¡¥

»ó¤Ç¤Ï¡¤Âоȷ²¤ËÈæ³Ó¤·¤Æ200 mg/kg·²¤Ç¥°¥ë¥³¡¼¥¹¤Î¹âÃÍ¡¤¥«¥ë¥·¥¦¥à¤¬ÄãÃͤò¼¨¤·¤¿¡¥

¡Ì²óÉü´ü´Ö½ªÎ»»þ¤Î¸¡ºº·ë²Ì¡Í

ͺ¤Ç¤Ï¡¤Âоȷ²¤ËÈæ³Ó¤·¤Æ200 mg/kg·²¤ÇA/GÈæ¤¬ÄãÃÍ¡¤400 mg/kg·²¤ÎÀ¸Â¸¤·¤¿1Îã¤ÇÁí¥³¥ì¥¹¥Æ¥í¡¼¥ë¤¬ÄãÃͤò¼¨¤·¤¿¡¥

»ó¤Ç¤Ï¡¤Âоȷ²¤ËÈæ³Ó¤·¤Æ200 mg/kg·²¤ÇBUN¤¬¹âÃͤò¼¨¤·¤¿¤¬¡¤ÇØ·ÊÃͤÎÈÏ°ÏÆâ¤ÎÊѲ½¤Ç¤¢¤Ã¤¿(ÇØ·ÊÃÍ 16.2¡Þ4.3 mg/dl¡¤n=69)¡¥

8¡¥Ç¢¸¡ºº(Table3)

¡ÌÅêÍ¿½ªÎ»»þ¤Î¸¡ºº·ë²Ì¡Í

ͺ¤Î100 mg/kg·²°Ê¾å¤ª¤è¤Ó»ó¤Î200 mg/kg·²°Ê¾å¤Î·²¤ÇÇ¢Î̤ÎÁý²Ã·¹¸þ¤¬Ç§¤á¤é¤ì¤¿¡¥

¡Ì²óÉü´ü´Ö½ªÎ»»þ¤Î¸¡ºº·ë²Ì¡Í

»óͺ¤È¤â¤ËÂоȷ²¤ÈÈ︳ʪ¼ÁÅêÍ¿·²¤È¤Ç¤¤¤º¤ì¤Î¸¡ºº¹àÌܤˤª¤¤¤Æ¤âÌÀ³Î¤Êº¹¤Ïǧ¤á¤é¤ì¤Ê¤«¤Ã¤¿¡¥

9¡¥´ï´±½ÅÎÌ(Table4)

¡ÌÅêÍ¿½ªÎ»»þ¤Î¸¡ºº·ë²Ì¡Í

ͺ¤Ç¤Ï¡¤Âоȷ²¤ËÈæ³Ó¤·¤Æ200 mg/kg·²¤Çç£Â¡½ÅÎ̤¬¹âÃͤò¼¨¤·¡¤400 mg/kg·²¤Çç£Â¡¤ª¤è¤Ó¶»Á£½ÅÎ̤¬ÄãÃÍ·¹¸þ¤ò¼¨¤·¤¿¡¥

»ó¤Ç¤Ï¡¤Âоȷ²¤ËÈæ³Ó¤·¤Æ200 mg/kg·²¤Ç´Î¡½ÅÎ̤¬¹âÃͤò¼¨¤·¤¿¡¥

¡Ì²óÉü´ü´Ö½ªÎ»»þ¤Î¸¡ºº·ë²Ì¡Í

ͺ¤Ç¤Ï¡¤Âоȷ²¤ËÈæ³Ó¤·¤Æ200 mg/kg·²¤ÇÉû¿Õ½ÅÎ̤¬¹âÃͤò¼¨¤·¡¤400 mg/kg·²¤ÇÉû¿Õ½ÅÎ̤¬¹âÃÍ·¹¸þ¤ª¤è¤ÓÀºÁã½ÅÎ̤¬ÄãÃÍ·¹¸þ¤ò¼¨¤·¤¿¡¥

»ó¤Ç¤Ï¡¤½ÅÎ̬Äê¤ò¼Â»Ü¤·¤¿¤¹¤Ù¤Æ¤Î´ï´±¤Ë¤Ä¤¤¤Æ¡¤Âоȷ²¤ÈÈ︳ʪ¼ÁÅêÍ¿·²¤È¤Çº¹¤Ïǧ¤á¤é¤ì¤Ê¤«¤Ã¤¿¡¥

10¡¥´ï´±½ÅÎÌ¡¦ÂνÅÈæ(ÁêÂнÅÎÌ)(Table4)

¡ÌÅêÍ¿½ªÎ»»þ¤Î¸¡ºº·ë²Ì¡Í

ͺ¤Ç¤Ï¡¤400 mg/kg·²¤Ç¶»Á£ÁêÂнÅÎ̤¬ÄãÃÍ·¹¸þ¤ò¼¨¤·¤¿¡¥

»ó¤Ç¤Ï¡¤Âоȷ²¤ËÈæ³Ó¤·¤Æ200 mg/kg·²¤Ç´Î¡ÁêÂнÅÎ̤¬¹âÃͤò¼¨¤·¤¿¡¥

¡Ì²óÉü´ü´Ö½ªÎ»»þ¤Î¸¡ºº·ë²Ì¡Í

ͺ¤Î200 mg/kg·²¤ÇÉû¿ÕÁêÂнÅÎ̤¬¡¤¤Þ¤¿»ó¤Î200 mg/kg·²¤Çç£Â¡ÁêÂнÅÎ̤¬¤½¤ì¤¾¤ìÂоȷ²¤ËÈæ³Ó¤·¤Æ¹âÃͤò¼¨¤·¤¿¡¥

11¡¥ÉÂÍý³Ø¸¡ºº

1)˶¸¡½ê¸«(Table5)

¡ÌÅêÍ¿½ªÎ»»þ²ò˶ưʪ¡Í

ÅêÍ¿½ªÎ»»þ¤Ë·×²è²ò˶¤·¤¿Æ°Êª¤ÏÂоȷ²¡¤50¡¤100¡¤200¤ª¤è¤Ó400 mg/kg·²¤Î¤½¤ì¤¾¤ìͺ¤Ç5¡¤5¡¤5¡¤5¤ª¤è¤Ó1Î㡤»ó¤Ç5¡¤5¡¤5¡¤5¤ª¤è¤Ó0Îã¤Ç¤¢¤ê¡¤Âоȷ²¤ËÈæ³Ó¤·¤ÆÈ︳ʪ¼ÁÅêÍ¿·²¤Ë¿¤¯´Ñ»¡¤µ¤ì¤¿ÉÂÊѤϤʤ«¤Ã¤¿¡¥´Ñ»¡¤µ¤ì¤¿ÉÂÊѤÏÇÙ¤ÎÍ­¿§ÈÃÅÀ/¶è°è¡¤»ÒµÜ¤ÎÆâ¹Ð³ÈÂ礬¾¯¿ôÎã¤Ëǧ¤á¤é¤ì¤¿¤Î¤ß¤Ç¡¤¤½¤Î¾¤Ï¤¤¤º¤ì¤âñȯÀ­¤ÎȯÀ¸¤Ç¤¢¤Ã¤¿¡¥

¡Ì²óÉü´ü´Ö½ªÎ»»þ²ò˶ưʪ¡Í

²óÉü´ü´Ö½ªÎ»»þ¤Ë·×²è²ò˶¤·¤¿Æ°Êª¤Ï¡¤Âоȷ²¡¤200 mg/kg·²¤Î»óͺ¤Ç¤½¤ì¤¾¤ì5Î㡤400 mg/kg·²¤Îͺ¤Ç1Îã¤Ç¤¢¤ê¡¤Âоȷ²¤ËÈæ³Ó¤·¤ÆÈ︳ʪ¼ÁÅêÍ¿·²¤Ë¿¤¯´Ñ»¡¤µ¤ì¤¿ÉÂÊѤϤʤ«¤Ã¤¿¡¥´Ñ»¡¤µ¤ì¤¿ÉÂÊѤÏÇ٤ιõ¿§ÈÃÅÀ¡¿¶è°è¤Ê¤É¤Ç¤¤¤º¤ì¤âñȯÀ­¤ÎȯÀ¸¤Ç¤¢¤Ã¤¿¡¥

¡Ì»à˴ưʪ¡Í

»à˴ưʪ¤Ï400 mg/kg·²¤Îͺ¤Ç8Î㡤»ó¤Ç10Îã¤Ç¤¢¤ê¡¤´Ñ»¡¤µ¤ì¤¿½ê¸«¤Ï¡¤ç£Â¡¤Îø¿§²½¤¬Íº¤Ç6Î㡤»ó¤Ç8Î㡤ÇÙ¤ÎÀÖ¿§²½¤¬Íº¤Ç3Î㡤»ó¤Ç6Î㡤´Î¡¤ÎÈîÂ礬ͺ¤Ç4Î㡤»ó¤Ç1Îã¤Ë´Ñ»¡¤µ¤ì¤¿¡¥¤½¤Î¾¡¤´Î¡¤ÎÇò¿§ÈÃÅÀ/¶è°è¤ª¤è¤ÓÀºÇ¹¤Î°à½Ì¤Ê¤É¤¬Ã±È¯À­¤Ë´Ñ»¡¤µ¤ì¤¿¡¥

2)¡¡ÁÈ¿¥½ê¸«(Table6)

¡ÌÅêÍ¿½ªÎ»»þ²ò˶ưʪ¡Í

Âоȷ²¤ËÈæ¤ÙÈ︳ʪ¼ÁÅêÍ¿·²¤Ë¿¤¯È¯À¸¤·¤¿½ê¸«¤Ïǧ¤á¤é¤ì¤Ê¤«¤Ã¤¿¡¥´Ñ»¡¤µ¤ì¤¿½ê¸«¤Ï¡¤´Î¡¤Î»éËò½¡¤¾®Æù²ê¼ð¡¤¿Õ¡¤ÎÇ¢ºÙ´É¤Î¹¥±ö´ðÀ­²½¡¤¹Û¼ÁÄÀÃ塤Éû¿Õ¤ÎÈé¼Á¤Î¶õ˦ÊÑÀ­¤Ê¤É¤Ç¤¢¤Ã¤¿¡¥

¡Ì²óÉü´ü´Ö½ªÎ»»þ²ò˶ưʪ¡Í

Âоȷ²¤ËÈæ¤ÙÈ︳ʪ¼ÁÅêÍ¿·²¤Ë¿¤¯È¯À¸¤·¤¿½ê¸«¤Ïǧ¤á¤é¤ì¤Ê¤«¤Ã¤¿¡¥´Ñ»¡¤µ¤ì¤¿½ê¸«¤Ï¡¤¶»Á£¤Î½Ð·ì¤ª¤è¤Ó¿Õ¡¤Î¹¥»ÀÀ­¾®ÂΤΤۤ«¡¤ÅêÍ¿½ªÎ»»þ¤Ëǧ¤á¤é¤ì¤¿´Î¡¤Î»éËò½¡¤¾®Æù²ê¼ð¤ª¤è¤Ó¿Õ¡¤Ç¤ÏÇ¢ºÙ´É¤Î¹¥±ö´ðÀ­²½¡¤¹Û¼ÁÄÀÃ塤Éû¿Õ¤ÎÈé¼Á¤Î¶õ˦ÊÑÀ­¤Ç¤¢¤Ã¤¿¡¥

¡Ì»à˴ưʪ¡Í

¶»Á£¤Î½Ð·ì¤¬Íº¤Ç5Î㡤»ó¤Ç1Î㡤´Î¡¤Î»éËò½¤¬»ó¤Ç6Î㡤ºÙ˦¼ÁÆâÉõÆþÂΤ¬»óͺÁ´Î㡤¾®Æù²ê¼ð¤¬»óͺ¶¦¤Ë3Î㡤¿Õ¡¤ÎÇ¢ºÙ´É¤Î¹¥±ö´ð²½¤¬Íº¤Ç2Î㡤»ó¤Ç5Î㤪¤è¤ÓÉû¿Õ¤ÎÈé¼Á¤Î¶õ˦ÊÑÀ­¤¬Íº¤Ç8Î㡤»ó¤Ç7Îã¤Ë´Ñ»¡¤µ¤ì¤¿¡¥¤½¤Î¾¤ÎÉÂÊѤÏñȯÀ­¤¢¤ë¤¤¤Ï¾¯¿ôÎã¤ÎȯÀ¸¤Ç¤¢¤Ã¤¿¡¥

¹Í»¡

»óͺ¤È¤â400 mg/kg·²¤ÇÅêÍ¿2½µ¤«¤é»àË´¤¬Ç§¤á¤é¤ì¡¤ÅêÍ¿4½µ¤Þ¤Ç¤Ëͺ¤Ç10ÎãÃæ8Î㡤»ó¤Ç10ÎãÁ´Î㤬»àË´¤·¤¿¡¥¤³¤ì¤é¤Îưʪ¤Ç¤Ï¡¤½ÌÆ·¡¤Î®Þ·¤ª¤è¤ÓÈïÌӤαø¤ì¤¬ÅêÍ¿2¡Á4Æü°Ê¹ß¤«¤éñȯ¤¢¤ë¤¤¤Ïʻȯ´Ñ»¡¤µ¤ì¤¿¡¥ÉÂÍý³Ø¸¡ºº¤Î·ë²Ì¡¤¶»Á£¤Î½Ð·ì¡¤´Î¡¤Î»éËò½Åù¤¬Ç§¤á¤é¤ì¤¿¤¬¡¤»à°ø¤Ë·ë¤Ó¤Ä¤±¤é¤ì¤ëÊѲ½¤Ç¤Ï¤Ê¤«¤Ã¤¿¡¥

°ìÈ̾õÂ֤δѻ¡¤Ç¤Ï¡¤»óͺ¤Î100 mg/kg·²¤Ç½ÌÆ·¤¬¡¤200¤ª¤è¤Ó400 mg/kg·²¤Ç½ÌÆ·¤ª¤è¤Óή޷¤¬¡¤¤µ¤é¤Ë400 mg/kg¤Ç»óͺ¤ËÈïÌӤαø¤ì¤¬¡¤»ó¤Ë¿¶À郎ǧ¤á¤é¤ì¤¿¡¥»óͺ¤Ç´Ñ»¡¤µ¤ì¤¿¾É¾õ¤Ï²óÉü´ü´Ö¤Ë¾Ã¼º¤¬Ç§¤á¤é¤ì¡¤¤¤¤º¤ì¤âÈ︳ʪ¼ÁÅêÍ¿¤Ë¤è¤ëÊѲ½¤È¹Í¤¨¤é¤ì¤¿¡¥

ÂνŤÏͺ¤Î400 mg/kg·²¤ÇÁý²Ã¤¬ÍÞÀ©¤µ¤ì¡¤ÅêÍ¿3½µ°Ê¹ßÍ­°Õ¤Ç¤¢¤Ã¤¿¡¥ÀݱÂÎ̤ϡ¤»óͺ¤È¤â¤¹¤Ù¤Æ¤ÎÅêÍ¿·²¤ÇÌÀ³Î¤Êº¹¤Ïǧ¤á¤é¤ì¤Ê¤«¤Ã¤¿¡¥²óÉü´ü´ÖÃæ¤Ï¡¤»óͺ¤È¤âÂоȷ²¤ÈÈ︳ʪ¼ÁÅêÍ¿·²¤È¤ÇÍ­°Õ¤Êº¹¤Ïǧ¤á¤é¤ì¤Ê¤«¤Ã¤¿¡¥

·ì±Õ³Ø¸¡ºº¤Î·ë²Ì¡¤Íº¤Î400 mg/kg·²¤ÎÀ¸Â¸¤·¤¿1Îã¤ÇÇò·ìµå¿ô¤ÎÄãÃͤ¬Ç§¤á¤é¤ì¤¿¤¬¡¤¥ê¥ó¥Ñµå¿ô¤¬ÄãÃͤò¼¨¤·¤¿¤³¤È¤Ë¤è¤ë¤â¤Î¤Ç¤¢¤Ã¤¿¡¥¤³¤ì¤ò½ü¤­²óÉü´ü´Ö½ªÎ»»þ¤Î·ë²Ì¤ò´Þ¤áÈ︳ʪ¼Á¤ÎÅêÍ¿¤È´ØÏ¢¤Å¤±¤é¤ì¤ëÊѲ½¤Ïǧ¤á¤é¤ì¤Ê¤«¤Ã¤¿¡¥

·ì±Õ¶Å¸Çǽ¸¡ºº¤Î·ë²Ì¡¤Íº¤Î200 mg/kg·²¡¤»ó¤Î50¤ª¤è¤Ó200 mg/kg·²¤ÇAPTT¤Îû½Ì¤¬Ç§¤á¤é¤ì¤¿¤¬¡¤¶Ï¤«¤ÊÊѲ½¤ÇÆÇÀ­³ØÅª¤Ë°ÕµÁ¤Î¤¢¤ëÊѲ½¤È¤Ï¹Í¤¨¤é¤ì¤Ê¤«¤Ã¤¿¡¥¤Þ¤¿¡¤Íº¤Î400 mg/kg·²¤ÎÀ¸Â¸Îã¤Çǧ¤á¤é¤ì¤¿¥Õ¥£¥Ö¥ê¥Î¡¼¥²¥óÎ̤ÎÄãÃͤϡ¤Æ±Îã¤ÎÂνÅÁý²ÃÍÞÀ©¤ÎÄøÅÙ¤«¤é¿ä»¡¤·¡¤´Î¡¤Ë¤ª¤±¤ë¥Õ¥£¥Ö¥ê¥Î¡¼¥²¥óÀ¸À®¤ÎÄã²¼¤Ë¤è¤ë¤â¤Î¤È¹Í¤¨¤é¤ì¤ë¡¥

·ì±ÕÀ¸²½³Ø¸¡ºº¤Î·ë²Ì¡¤Íº¤Î200 mg/kg·²¤ÇÁí¥³¥ì¥¹¥Æ¥í¡¼¥ë¤¬¹âÃÍ·¹¸þ¤ò¼¨¤·¤¿¡¥¤µ¤é¤ËËܻ¤ËÀèΩ¤Ã¤Æ¼Â»Ü¤·¤¿2½µ´ÖÅêÍ¿»î¸³(ÅêÍ¿ÎÌ:0¡¤20¡¤60¡¤180 mg/kg)¤Î·ë²Ì¡¤180 mg/kg·²¤Îͺ¤ÇÁí¥³¥ì¥¹¥Æ¥í¡¼¥ë¤¬¹âÃͤò¼¨¤·¤¿¡¥¤³¤Î¤³¤È¤«¤é¡¤Áí¥³¥ì¥¹¥Æ¥í¡¼¥ë¤Î¹âÃÍ·¹¸þ¤Ï¡¤È︳ʪ¼ÁÅêÍ¿¤Ë¤è¤ëÊѲ½¤È¹Í¤¨¤é¤ì¤¿¡¥¤½¤Î¾¡¤200 mg/kg·²¤Î»ó¤Çǧ¤á¤é¤ì¤¿¥°¥ë¥³¡¼¥¹¤Î¹âÃÍ(ÇØ·ÊÃÍ109¡Þ13 mg/dl¡¤n=69)¤ª¤è¤Ó¥«¥ë¥·¥¦¥à¤ÎÄãÃÍ(ÇØ·ÊÃÍ9.71¡Þ0.28 mg/dl¡¤n=69)¤Ï¤¤¤º¤ì¤âÍÑÎ̤ËÂбþ¤·¤¿ÊѲ½¤ò¼¨¤µ¤º¡¤¤Þ¤¿¡¤ÇØ·ÊÃͤÎÈÏ°ÏÆâ¤ÎÊѲ½¤Ç¤¢¤ê¡¤È︳ʪ¼Á¤ÎÅêÍ¿¤È´ØÏ¢¤Å¤±¤é¤ì¤ë¤â¤Î¤Ç¤Ï¤Ê¤¤¤È¹Í¤¨¤é¤ì¤¿¡¥²óÉü´ü´Ö½ªÎ»»þ¤Ë¤Ï¡¤Íº¤Î200 mg/kg·²¤ÇA/GÈæ¤¬ÄãÃͤò¼¨¤·¤¿¤¬·ÚÈù¤ÊÊѲ½¤Ç¤¢¤Ã¤¿¡¥

Ç¢¸¡ºº¤Î·ë²Ì¡¤Íº¤Î100 mg/kg·²°Ê¾å¤ª¤è¤Ó»ó¤Î200 mg/kg·²°Ê¾å¤Î·²¤ÇÇ¢Î̤ÎÁý²Ã·¹¸þ¤¬Ç§¤á¤é¤ì¤¿¡¥

´ï´±½ÅÎ̬Äê¤Î·ë²Ì¡¤Íº¤Î200 mg/kg·²¤Çç£Â¡¤Î¼Â½ÅÎ̤¬¹âÃÍ¡¤»ó¤Î200 mg/kg·²¤Ç´Î¡¤Î¼Â½ÅÎ̤ª¤è¤ÓÁêÂнÅÎ̤¬¹âÃͤò¼¨¤·¤¿¡¥¤µ¤é¤Ë¡¤Íº¤Î400 mg/kg¤Çç£Â¡¤Î¼Â½ÅÎ̤ʤé¤Ó¤Ë¶»Á£¤Î¼Â½ÅÎ̤ª¤è¤ÓÁêÂнÅÎ̤¬ÄãÃÍ·¹¸þ¤ò¼¨¤·¤¿¡¥¤Þ¤¿¡¤²óÉü´ü´Ö½ªÎ»»þ¡¤Íº¤Î200 mg/kg·²¤ÇÉû¿Õ¤Î¼Â½ÅÎ̤ª¤è¤ÓÁêÂнÅÎ̤¬¹âÃͤò¼¨¤·¡¤¤µ¤é¤Ëͺ¤Î400 mg/kg¤ÇÉû¿Õ¤Î¼Â½ÅÎ̤¬¹âÃÍ·¹¸þ¤ª¤è¤ÓÀºÁã¤Î¼Â½ÅÎ̤¬ÄãÃÍ·¹¸þ¤ò¼¨¤·¤¿¡¥²óÉü´ü´Ö½ªÎ»»þ¤Î»ó¤Î200 mg/kg·²¤Çǧ¤á¤é¤ì¤¿ç£Â¡ÁêÂнÅÎ̤ιâÃͤϡ¤ÅêÍ¿½ªÎ»»þ¤Ë¤Ïǧ¤á¤é¤ì¤Ê¤«¤Ã¤¿ÊѲ½¤Ç¤¢¤ê¡¤ÂÐǾÁêÂнÅÎ̤ò»»½Ð¤·¤¿·ë²ÌÊѲ½¤¬Ç§¤á¤é¤ì¤Ê¤¤¤³¤È¤«¤é¡¤ÂνŤˤè¤ë±Æ¶Á¤È¹Í¤¨¤é¤ì¤¿¡¥

ÉÂÍý³Ø¸¡ºº¤Î·ë²Ì¡¤ÅêÍ¿½ªÎ»»þ¤Ë·×²è²ò˶¤·¤¿Æ°Êª¤ÎÁÈ¿¥½ê¸«¤«¤é¤Ï¡¤È︳ʪ¼ÁÅêÍ¿¤Î±Æ¶Á¤ò¼¨º¶¤¹¤ëÊѲ½¤Ï´Ñ»¡¤µ¤ì¤Ê¤«¤Ã¤¿¡¥²óÉü´ü´Ö½ªÎ»»þ¤Î²ò˶ưʪ¤ÎÁÈ¿¥½ê¸«¤È¤·¤Æ¡¤¶»Á£¤Î½Ð·ì¤¬200 mg/kg·²¤Îͺ¤Ç2Î㡤»ó¤Ç1Îã´Ñ»¡¤µ¤ì¤¿¡¥»óͺ¤Î»à˴ưʪ¤ÎÁÈ¿¥½ê¸«¤Ë¤â¶»Á£¤ËƱÍͤÎÊѲ½¤¬´Ñ»¡¤µ¤ì¤¿¤¬¡¤¤¤¤º¤ì¤â·ÚÅÙ¤ÊÊѲ½¤Ç¤¢¤Ã¤¿¡¥¤½¤Î¾¡¤»à˴ưʪ¤Ç¤Ï»óͺ¤È¤â´Î¡¤ËºÙ˦¼ÁÆâÉõÆþÂΤ¬¡¤¤Þ¤¿¡¤»ó¤ÇÉû¿Õ¤ÎÈé¼Á¤Î¶õ˦ÊÑÀ­¤¬´Ñ»¡¤µ¤ì¤¿¡¥¤¤¤º¤ì¤ÎÉÂÊѤâÈ︳ʪ¼Á¤Ëµ¯°ø¤·¤¿¤â¤Î¤È¤â¹Í¤¨¤é¤ì¤¿¤¬¡¤ÅêÍ¿½ªÎ»»þ¤Î·×²è²ò˶Îã¤Ë¤Ï´Ñ»¡¤µ¤ì¤Ê¤«¤Ã¤¿¡¥²ò˶½ê¸«¤Çç£Â¡¤Îø¿§²½¤¬»à˴ưʪ¤Î»óͺ¤Ë¿¤¯´Ñ»¡¤µ¤ì¤¿¤¬ÁÈ¿¥½ê¸«¤Ç¤Ïø¿§²½¤Ë´ØÏ¢À­¤Å¤±¤é¤ì¤ëÊѲ½¤Ï´Ñ»¡¤µ¤ì¤Ê¤«¤Ã¤¿¡¥

°Ê¾å¤Î·ë²Ì¡¤100 mg/kg·²°Ê¾å¤Î»óͺ¤Çǧ¤á¤é¤ì¤¿°ìÈ̾õÂÖ¤ÎÊѲ½¤ª¤è¤ÓÇ¢Î̤ÎÊѲ½¤¬È︳ʪ¼ÁÅêÍ¿¤È´ØÏ¢¤Å¤±¤é¤ì¤ë¤â¤Î¤È¹Í¤¨¤é¤ì¤¿¡¥

½¾¤Ã¤Æ¡¤Ëܻ¾ò·ï²¼¤Ë¤ª¤±¤ëN,N-¥¸¥á¥Á¥ë¥Ù¥ó¥¸¥ë¥¢¥ß¥ó¤Î̵±Æ¶ÁÎÌ(NOEL)¤Ï¡¤»óͺ¤È¤â50 mg/kg/day¤È¹Í¤¨¤é¤ì¤¿¡¥

ʸ¸¥

1)º´ÌîÀµ¼ù¡¤²¬»³²Â¹°¡¤°åÌô°ÂÁ´À­¸¦µæ²ñ²ñÊó¡¤32¡¤21(1990).
2)M. Yoshida, J.J. Soc. comp. Stat., 1, 111(1988).

Ï¢ÍíÀè
»î¸³ÀÕǤ¼Ô¡§¾±»ÒÌÀÆÁ
»î¸³Ã´Åö¼Ô¡§³ÆÌ³¡¡¿Ê¡¤ÅÏ¡¡½¤ÌÀ¡¤×¢Æâ¹¯É§
(ºâ)¿©ÉÊÇÀ°åÌôÉʰÂÁ´À­É¾²Á¥»¥ó¥¿¡¼
¢©437-12 ÀŲ¬¸©ÈØÅÄ·´Ê¡ÅÄÄ®±ö¿·ÅÄ»ú¹ÓÉÍ582-2
Tel 0538-58-1266Fax 0538-58-1393

Correspondence
Authors:Akinori Shoji(Study director)
Susumu Kakamu¡¤Nobuaki Watari
Yasuhiko Hirouchi
Biosafety Research Center¡¤Foods¡¤Drugs and Pesticides(An-pyo Center)
582-2 Shioshinden Aza Arahama¡¤Fukude-cho¡¤Iwata-gun¡¤Shizuoka, 437-12¡¤Japan
Tel +81-538-58-1266Fax +81-538-58-1393