4-エチルモルホリンのラットを用いる28日間反復経口投与毒性試験

Twenty-eight-day Repeat Dose Oral Toxicity Test of 4-Ethylmorpholine in Rats

要約

4-エチルモルホリンは,化学合成の中間体,油脂や樹脂の溶剤,ポリウレタン類の製造過程における触媒などとして広く使用されている化学物質であるが1),刺激性を有することが知られており,40 ppm以上の濃度に数時間曝露された労働者において角膜浮腫が認められることが報告されている2).また,ヒトに100 ppmの濃度で2.5分間吸入曝露させた場合,眼や上部気道への刺激性を示し,嗅覚疲労などを引き起こすことが確認されているほか2),経皮吸収される可能性が指摘されている3).毒性情報としては,マウス単回静脈内投与のLD50が180 mg/kg1),ラット単回経口投与のLD50が1780 mg/kg1, 4),ラット吸入曝露のLCLo が2000 ppm/4時間4)であるなどの報告がある.

4-エチルモルホリンの28日間反復経口投与毒性試験(回復14日間)を雌雄のSprague-Dawley系ラットを用いて実施した.雌雄とも50,200および800 mg/kgの用量で被験物質を投与する3群ならびに媒体である注射用水を投与する対照群の計4群を設定し,各群5匹(対照群および800 mg/kg投与群は回復試験用5匹を加えた10匹)の動物に28日間反復強制経口投与した.

死亡例はなく,一般状態の変化として,200および800 mg/kg投与群では,ケージ内を舐める動作および咀嚼様動作が観察され,800 mg/kg投与群では,動作振戦,活動性低下,うずくまり,閉眼および流涎も散見された.詳細な臨床観察において,800 mg/kg投与群では,雌雄で動作振戦が観察され,回復期間を含めて接触に対する反応がやや過敏となり,ケージからの取り出し時およびハンドリング時に発声する個体が増加した.また,同群の雌では歩行時,断続的に停止し,腹臥位を呈する個体が散見された.自発運動量測定において,800 mg/kg投与群では,雌雄各個体で位置移動が認められない時間帯が少ない傾向にあり,雌で投与後30分間の立上がり回数が減少し,雄で回復期間中に測定開始後30分間の立ち上がり回数が増加した.

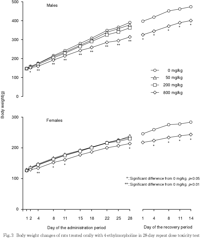
800 mg/kg投与群では,雌雄とも摂餌量が減少し,体重増加が抑制された.

尿検査では,800 mg/kg投与群の雄で尿蛋白が減少し,雌でケトン体およびウロビリノーゲンが増加して尿比重が低下した.

血液および血液生化学検査では,800 mg/kg投与群の雌雄で無機リン濃度が上昇し,塩素濃度が低下したほか,雄でカルシウム濃度が上昇した.また,同群の雄でプロトロンビン時間および活性部分トロンボプラスチン時間が短縮し,アルブミン濃度の低下および尿素窒素濃度の上昇が認められたほか,雌でブドウ糖濃度およびトリグリセライド濃度の上昇ならびに総ビリルビン濃度の低下が認められた.

病理学検査では,800 mg/kg投与群において,雌雄で肝臓と腎臓の重量が増加し,組織学的に小葉中心性の肝細胞肥大および遠位尿細管あるいは遠位からヘンレ係蹄にかけての上皮細胞の空胞化が観察された.この他,雄では副腎重量が増加した.

以上の結果から,本試験条件下における4-エチルモルホリンの無作用量は雌雄とも50 mg/kg/dayであると考えられた.また,毒性標的器官は中枢神経系,肝臓,腎臓であることが示唆され,肝臓および腎臓の変化は14日間の投与中止により回復したが,中枢神経系に対する作用の一部は回復しなかった.

試験方法

1.被験物質および投与検体の調製法

被験物質には,日本乳化剤(神奈川)より提供された4-エチルモルホリン(ロット番号2901P0,純度99 wt%以上)を使用した.被験物質は入手後,窒素を充填してから密閉し,冷暗所(冷蔵庫内)に保管した.被験物質の安定性は,受領前および返却後(試験終了後)に提供元で被験物質の品質試験を実施することにより確認した.

投与検体は,溶媒である日局注射用水(製造番号A106AA,光製薬)に被験物質を溶解して高用量を調製してから,段階希釈して他の用量を調製した. 投与検体は,8日間の安定性が確認されているため1週間に1回の頻度で調製し,使用時まで冷蔵庫にて保管した.また,含量測定の結果,各濃度の投与検体中には所定濃度の被験物質が含有されていることが確認された.

2.動物および飼育方法

試験には,4週齢で購入し,検疫と飼育環境への馴化を兼ねて8日間予備飼育した雌雄のSprague-Dawley系〔Crj:CD(SD)IGS,SPF〕ラット(日本チャールス・リバー)各30匹を使用した.

群分けは,投与開始日前日の体重に基づいて体重別層化無作為抽出法により行った.各群の動物数は,雌雄とも対照群および高用量群を各10匹とし,低および中用量群を各5匹とした.

動物は,温度21.0〜25.0℃,湿度40.0〜75.0 %,換気回数約15回/時および照明12時間(7時〜19時点灯)に設定された飼育室内で,金属製金網床ケージに1匹ずつ収容し,固型飼料(CE-2,日本クレア)と水道水(秦野市水道局給水)を自由に摂取させて飼育した.

3.投与量の設定および投与方法

投与用量は,本試験に先立って実施した予備試験の結果を基に決定した.即ち,4-エチルモルホリンを100,500,800および1000 mg/kgの用量で,雌雄各群3匹のラットに7ないし5日間反復投与した結果,1000 mg/kg 投与群の雌雄各1例が死亡した.800 mg/kg以上の投与群で,動作振戦,活動性低下,うずくまりおよび閉眼などが散見され,反復投与初期に体重減少ないし増加抑制が認められた.また,100 mg/kg投与群の雌1例および 500 mg/kg 以上を投与した群の雌雄全例で,ケージ内を舐める動作や咀嚼様動作が観察された.800 mg/kg投与群の雄1例では,投与第5日の体重が減少したが,1000 mg/kg投与群を含めて,反復投与に伴う一般状態の増悪は認められなかったこと,500 mg/kg投与群では,ケージ内を舐める動作および咀嚼様動作以外に被験物質投与によると考えられる変化が認められなかったことから,本試験では800 mg/kgを高用量に設定し,以下,公比4で除して200および50 mg/kg投与群を中および低用量に設定することとした.

投与経路は経口とし,1日1回,28日間,ラット用胃管を用いて強制的に投与し,最終投与日翌日に剖検した.投与容量は5 mL/kgとし,雌雄とも最近時の体重をもとに個体別に投与液量(mL)を算出した.なお,回復期間は14日間とした.

4.観察および検査

1) 一般検査

毎日(投与期間中は投与前および投与後約2ないし3時間,ただし,自発運動測定中の動物については,投与後約6時間),全例の生死を含む一般状態の観察を行った.また,1週間に1回の頻度でスコアリング法による詳細な臨床観察を行った.詳細な臨床観察は,投与期間中は投与後約2時間の時点で,検疫期間中および回復期間中は投与後約2時間に相当する時刻に,いずれも供試動物の投与用量が観察者にわからない方法(ブラインド)で行った.詳細な臨床観察では,ケージ越し(ホームケージ内)に姿勢・体位,自発運動,発声,振戦および痙攣について観察した後,ケージから取り出す時(ハンドリング時)に取り出し易さ,扱い易さ,心拍動,体温,被毛,皮膚色,可視粘膜,流涙,眼球突出,瞳孔径および流涎について観察し,作業台上(オープンフィールド)に動物を移して体位,姿勢,探索行動,身づくろい,発声,挙尾反応,歩行,常同行動,奇妙な行動,振戦,痙攣,呼吸数,立毛,眼裂,排尿回数,排便回数,接触に対する反応,撤去反応および耳介反射について観察した.さらに投与第4週には,聴覚刺激に対する反応(驚愕反応),視覚刺激に対する反応(視覚定位,対光反射),前後肢の握力(握力計Chatillon,Columbus Instruments)および投与後6時間の自発運動量(立ち上がり回数および位置移動回数,自発運動測定装置SUPER-MEX,室町機械)を調べるための機能検査を行い,これらのうち,視覚刺激に対する反応以外は,回復第2週にも検査した.

体重は,投与第1週には3回,その後は毎週2回の頻度で測定したほか,投与期間終了日,回復期間終了日および剖検日にも測定した.

2) 尿検査

投与第4週および回復第2週に全例を約24時間代謝ケージに収容して蓄尿し,約4および24時間の時点で採尿した.この4時間尿を用いて試験紙法(クリニテック200+,バイエル・三共)により糖,ケトン体,潜血,ウロビリノーゲンを,pHメーターによりpHを,スルホサリチルサン酸法により蛋白を,ジアゾカップリング反応(イクトテスト,バイエル・三共)によりビリルビンを,光学顕微鏡により沈渣を,視診により色調および混濁度を検査した.また,24時間尿について,尿量(天秤で重量を計測し,比重で除す)および比重(尿1 mLの重量を測定)を検査したほか,全自動電解質分析装置(EA05,エーアンドティ)を用いてナトリウムイオン濃度,カリウムイオン濃度および塩素イオン濃度を測定した.

3) 採血

剖検例は,投与期間ないし回復期間終了日から翌日の剖検日にかけて18から24時間絶食させた後,ペントバルビタールナトリウムで麻酔し,腹部後大静脈から,血液学検査用(全自動血液凝固測定装置用,抗凝固剤はクエン酸ナトリウム),血液学検査用(血液自動分析装置用,抗凝固剤はEDTA-2 K)および血液生化学検査用(抗凝固剤はヘパリン)の血液を採取した.採血は,対照群,低,中および高用量群の順序で,1匹ずつ動物番号の若い方から選択して行った.

4) 血液学検査

血液自動分析装置(CELL-DYN3500SL,ダイナボット)により赤血球数,平均赤血球容積,血小板数(以上,電気抵抗法),白血球数(フローサイトメトリー・レーザー光散乱法/電気抵抗法),白血球分類(フローサイトメトリー・レーザー光散乱法)および血色素量(吸光度法)を測定し,これらを基にヘマトクリット値,平均赤血球血色素量および平均赤血球血色素濃度を算出した.また,全自動血液凝固測定装置(CA-1000,東亜医用電子)を用いて,プロトロンビン時間および活性部分トロンボプラスチン時間(いずれも光散乱検出法)を測定した.

5) 血液生化学検査

遠心方式生化学自動分析装置(COBAS-FARA,ロシュ・ダイアグノスティックス)を用いて総蛋白濃度(ビウレット法),アルブミン濃度(BCG法),総コレステロール濃度(COD・HDAOS法),ブトウ糖濃度(ヘキソキナーゼG6PDH法),尿素窒素濃度(ウレアーゼGlDH 法),クレアチニン濃度(Jaff法,Rate),ALP活性(GSCC法),AST(GOT)活性(IFCC法),ALT(GPT)活性(IFCC法),γ-GTP活性(IFCC法),トリグリセライド濃度(GPO・HDAOS法,グリセリン消去法),総ビリルビン濃度(アゾビリルビン変法),無機リン濃度(モリブデン 酸直接法)およびカルシウム 濃度(OCPC法)を測定し,A/G比を算出した.また,全自動電解質分析装置(EA05,エーアンドティ)により,ナトリウム濃度,カリウム濃度および塩素濃度(いずれもイオン電極法)を測定した.

6) 病理学検査

採血に引き続き,必要に応じて腋窩動脈を切断して放血屠殺した後,器官および組織を肉眼的に観察した.また,各動物の肝臓,腎臓,副腎,精巣,精巣上体,卵巣,胸腺,脾臓,脳,心臓の重量を測定し,各器官重量を剖検日の体重で除してそれぞれの相対重量を算出した.次いで,脳,脊髄,肝臓,腎臓,副腎,脾臓,心臓,胃,小腸(十二指腸,空腸,回腸),大腸(結腸,直腸),胸腺,甲状腺(上皮小体を含む),気管,肺(気管支を含む),生殖腺(卵巣),副生殖器(前立腺,子宮,精嚢,腟),膀胱,リンパ節(腸間膜リンパ節,下顎リンパ節),坐骨神経(腓腹筋を含む),大腿骨および骨髄,大動脈,舌,食道,膵臓,顎下腺,舌下腺および下垂体を0.1 mol/Lリン酸緩衝10 %ホルマリン溶液に,精巣,精巣上体をブアン液に浸漬固定した.固定後,脳,脊髄,肝臓,腎臓,副腎,脾臓,心臓,胃,回腸,結腸,胸腺,甲状腺,気管,肺,精巣,卵巣,精巣上体,前立腺,子宮,膀胱,腸間膜リンパ節,下顎リンパ節,坐骨神経,大腿骨および骨髄,赤色化が認められた対照群雄1例の空腸はパラフィン包埋して薄切し,ヘマトキシリン・エオジン染色標本を作製した.組織学検査は光学顕微鏡を用い,はじめに対照群および高用量群の全標本について実施し,その結果,被験物質投与の影響が示唆された肝臓,腎臓および脾臓について,この他の群でも検査した.なお,腎臓で尿細管上皮の空胞化が,脾臓で髄外造血の増強が認められたため,回復試験群を含む雌雄の対照群および高用量群の腎臓および脾臓について,ベルリンブルー染色およびPAS染色標本を作製して観察し,所見の記載に反映させた.

5.統計解析

体重,摂餌量,半定量検査を除く尿検査ならびに血液学検査,生化学検査の値および器官重量については,群ごとに平均値および標準偏差を求めた.また,投与期間中に得られた各検査値は,Bartlettの方法による分散の一様性の検定,一元配置型の分散分析ないしKruskal-Wallisの順位検定を行い,DunnettないしDunnett型の検定法で多重比較を行った.回復期間中に得られた検査値は,F-検定を行い, Studentのt検定法ないしAspin-Welchのt検定法を用いて有意差検定を行った.尿の試験紙による検査成績,尿の色調,濁度および蛋白については,投与第4週に得られた各検査値は,列の累積または分割表を用いるχ2検定を行い,Dunnett 型の検定法により多重比較を行った.また,回復第2週に得られた各検査値は,Wilcoxonの順位和検定を行った.病理組織学検査所見のグレード分けしたデータについては,Mann-WhitneyのU検定(両側検定)を,陽性グレードの合計値はFisherの直接確率片側検定を行った.なお,いずれの検定も有意水準を5 %とした.

結果

1.死亡例

投与期間および回復期間中に死亡例はなかった.

2.一般状態

200および800 mg/kg投与群の雌雄で,投与後ケージ内を舐める動作および咀嚼様動作が観察された.この動作は,投与後数分から認められ,投与後約3時間で観察される個体もあったが,全て翌日の投与前までには回復した.また,800 mg/kg投与群では,雌雄数例で,投与後約20分から約3時間の間に動作振戦が観察されたほか,活動性低下,うずくまりおよび閉眼も散見された.800 mg/kg投与群では,雌雄数例で投与後約2時間の観察時に流涎が観察され,このうち,雌雄各1例では,動作振戦に伴って流涎が観察された.また,同群では,雄1例で投与第16日から3日間,排便量が減少した.その他,800 mg/kg投与群では雌雄で,投与第3週より,投与保定時ないし投与直後から投与後約20分にかけて流涎が認められた.

3.詳細な臨床観察

800 mg/kg投与群の雌雄において,接触に対して正常よりやや過敏に反応する個体ならびにケージから取り出す時およびハンドリング時に発声する個体が増加したほか,動作振戦が散見された.また,800 mg/kg投与群では,雄でわずかな探索行動の亢進が1例認められ,雌では歩行時,断続的に停止し,腹臥位となる動作が数例で観察されたほか,口周囲の流涎が1例で観察され,時折身繕いをする個体も1例認められた.さらに,一般状態観察と同様のケージ内を舐める動作および咀嚼様動作が800 mg/kg投与群の雌雄で散見され,200 mg/kg投与群の雌雄各1例でも認められた.回復期間中の観察において,800 mg/kg投与群では,雌雄で接触に対してやや過敏に反応する個体が増加する傾向にあったほか,雄1例では探索行動が低下した.

4.機能検査

1) 驚愕反応,視覚定位,対光反射および正向反射

投与第4週の検査では,800 mg/kg投与群の雌1例で,驚愕反応がわずかに過敏となったほかは,回復期間も含めて雌雄各群いずれの個体も正常な反応を示した.

2) 握力測定

投与第4週の検査において,200および800 mg/kg投与群の雄ならびに50および200 mg/kg投与群の雌で握力が有意に増強したが,雄では200 mg/kg投与群の2例および800 mg/kg投与群の1例を除き,対照群の値の範囲内であり,範囲外の3例も増加の程度はわずかであったことから,また,雌では個体間のばらつきが大きく変化が明瞭ではないこと,同系統同週齢の動物から得られた他試験のデータと比較して対照群の値が低かったことから,いずれも被験物質投与による変化ではないと判断した.

3) 自発運動量測定(Fig. 1,2)

投与第4週の検査では,800 mg/kg投与群の雌で,投与後0分から30分にかけての立上がり回数が有意に減少した.200 mg/kg投与群の雄では,投与後240分から270分にかけての位置移動回数および立ち上がり回数が有意な増加となったが,個体別にみて同程度の運動量の増加は近辺の時間帯で対照群にも認められていることから,被験物質投与と関連のない偶発的な増加であると考えられた.この他に有意差は認められなかったが,全計測時間を通して10分毎の計測値を対照群と被験物質投与群とで個体別に比較した場合,800 mg/kg投与群では,雌雄とも位置移動が認められない(計測が0を示す)ことが少ない傾向にあった.

回復試験第2週では,800 mg/kg投与群の雄で開始直後から30分にかけての立上がり回数の増加,ならびに開始後60から90分にかけての位置移動回数および立上がり回数の減少が有意な変化となった.800 mg/kg投与群の雄で測定開始後60分から90分に観察された立ち上がり回数および位置移動回数の低下は,測定開始直後から30分に立ち上がり回数(探索行動)が亢進したことによる反動であり,抑制性の作用によるものではないと考えられた.雌では,開始後330分から360分にかけての位置移動回数が有意に増加したが,投与期間中に認められなかった変化であること,環境変化による探索行動が沈静化した後に認められた増加であることから,被験物質の作用の継続ないし退薬症候ではないと判断した.

5.体重(Fig. 3)

800 mg/kg投与群の雄で投与第2日から回復期間終了日まで,対照群と比較して有意に低値となった.同群の雌でも投与第4日から回復期間終了日まで低い傾向にあり,投与第4から第11日および第28日ならびに回復期間第4日から回復期間終了日にかけて対照群と比較して有意な低値を示した.また,体重増加は,800 mg/kg投与群の雄で投与第1日から4日および投与第8日から投与第22日の間,雌で投与第1日から第4日の間で有意に抑制された.この他,排便量の減少が認められた800 mg/kg投与群の雄1例では,投与第15日から18日の3日間に体重が37.0 g減少した.なお,800 mg/kg投与群の雌では,投与第4日以降,順調な体重増加を示す一方,回復試験第1日から4日にかけての体重増加が対照群と比較して低値となったが,対照群の体重増加が投与期間中と比較して高かったことから,投与中止による影響ではないと判断した.

6.摂餌量(Fig. 4)

800 mg/kg投与群では,雄で投与第1週から回復試験第1週にかけて,雌では投与第1および第2週に摂餌量が有意に減少した.なお,排便量が減少した800 mg/kg投与群の雄1例では,投与第15日から16日にかけての摂餌量が減少した.

7.尿検査(Table 1)

投与第4週の検査では,800 mg/kg投与群の雄で尿蛋白の減少が,同群の雌でケトン体およびウロビリノーゲンの増加ならびに尿比重の低下で有意差が認められ,尿比重が低下した個体では,尿量が多い傾向にあった.また,800 mg/kg投与群の雌では,尿中のカリウム濃度および塩素濃度が有意に低下したが,血中電解質濃度の変化との関連性はなく,同群では尿量の多い個体が散見されていたこと,排泄量の減少は認められなかったことから,被験物質投与による影響ではないと判断した.なお,尿蛋白は酢酸を用いてpHを7.0以下に調整してから検査したが, 800 mg/kg投与群の雄ではpHの変化が認められなかったにも拘わらず,この他の群と比較して約2倍量の酢酸を必要とした.回復第2週の検査では,800 mg/kg投与群の雄で,尿中のNa/K比が有意に増加したが,投与期間中には認められなかった変化であり,被験物質投与による影響ではないと考えられた.

8.血液学検査(Table 2)

投与期間終了時剖検例では,各被験物質投与群の雄および50 mg/kg投与群の雌でプロトロンビン時間が有意に短縮し,800 mg/kg投与群の雄では活性部分トロンボプラスチン時間が有意に短縮した.また,800 mg/kg投与群の雌では,白血球百分比において,好中球比率および単球比率の有意な上昇,好酸球比率およびリンパ球比率の有意な低下が認められた.その他,800 mg/kg投与群の雌で,血小板数の増加が有意となった.雄の被験物質投与群で有意差の認められたプロトロンビン時間を,同系統同週齢の動物を用いて秦野研究所で実施した近年4試験の対照群の値(未公刊)と比較すると,今回の対照群で僅かに延長し,50および200 mg/kg投与群は同程度,800 mg/kg投与群では僅かに短縮していた.また,本試験では,プロトロンビン時間短縮の一因とされる急性失血や血栓性静脈炎を示唆する所見は認められておらず,50および200 mg/kg投与群では,肝臓の組織所見および生化学検査各値に変化がなかったことから,50および200 mg/kg投与群のプロトロンビン時間は短縮していないと判断した.しかし,800 mg/kg投与群では,低値の個体が散見されること,肝臓に変化が認められていることから,被験物質投与による短縮である可能性を否定できないと考えられた.雌のプロトロンビン時間については同様に比較し,50 mg/kg投与群でみられた短縮は被験物質投与による変化ではないと判断した.

回復期間終了時剖検例では,800 mg/kg投与群の雌で,血小板数が有意に増加し,血色素量が有意に低下した.投与期間終了時に貧血を示唆するような所見は観察されていないことから,血色素量の低下は被験物質投与による影響ではないと判断した.

なお,投与期間終了時剖検例のうち,50および200 mg/kg投与群の雄各1例は,投与第4週の握力検査時に爪が剥がれてその後数日間出血が認められたが,本来の被験物質投与に起因した変化が不明瞭となることが懸念されたため,この2例の血液学検査データは統計解析から除外することとした.

9.血液生化学検査(Table 3)

投与期間終了時剖検例では,800 mg/kg投与群の雌雄において,無機リン濃度が有意に上昇して塩素濃度が有意に低下した.また,800 mg/kg投与群では,雄でカルシウム濃度および尿素窒素濃度の有意な上昇ならびにアルブミン濃度の有意な低下が,雌でブドウ糖濃度およびトリグリセライド濃度の有意な上昇ならびに総ビリルビン濃度の有意な低下が認められた.この他,雌では,各被験物質投与群で,AST(GOT)活性が対照群と比較して有意に低下したが,バックグラウンドデータ(未公刊)と比較して対照群の値が高かったこと,変化が用量依存的ではなかったことから,被験物質投与による影響ではないと判断した.

回復期間終了時剖検例では,800 mg/kg投与群において,雄でA/G比が有意に上昇し,雌で総蛋白濃度およびアルブミン濃度が有意に低下した.なお,同群の雌ではナトリウム濃度が有意に上昇したが,生体内における電解質濃度の調節は速やかに行われるため,投与期間終了時に認められた塩素濃度低下の影響である可能性は少ないこと,この他の電解質濃度は変化していないことから,投与中止による変化ではないと判断した.また,800 mg/kg投与群の雌では,ブドウ糖濃度が低下したが,投与期間中には認められていないことから,被験物質投与の影響によるものではないと判断した.

10.病理学検査

1) 器官重量(Table 4)

投与期間終了時剖検例では,800 mg/kg投与群において,雌雄で肝臓と腎臓の相対重量が有意に増加し,雌では肝臓の実重量も有意に増加した.同群の雄では,副腎の相対重量が有意に増加した.また,800 mg/kg投与群では,雄で脳の相対重量が有意に増加し,雌で実重量が有意に低下した.脳は体重減少や発育不良の影響を受けにくい器官であることから,雄の相対重量の増加は,解剖時体重が低い傾向にあったことによると考えられ,脳重量の増加を意味するものではないと判断した.また,雌で認められた脳の実重量の低下は,バックグラウンドデータ(未公刊)の範囲内であることから,被験物質投与による影響ではないと考えられた.この他,800 mg/kg投与群の雄では,精巣の相対重量が有意に増加し,精巣上体の実重量が有意に減少したが,解剖時体重が対照群と比較して低値であったことおよび組織学的に萎縮あるいは発育不良を示す所見が観察されなかったことから,被験物質投与による重量変化ではないと判断した.また,50 mg/kg投与群の雌では,卵巣の実重量および相対重量が有意に増加したが,1例を除き対照群の範囲内にあり,病理組織学的にも変化が認められなかったことから,偶発的な有意差であると考えられた.

回復期間終了時剖検例では,800 mg/kg投与群の雌雄で,解剖時体重が有意に低下し,脳の相対重量が有意に増加したが,投与期間終了時の雄と同様,体重が低値であったために脳の相対重量増加が有意となったと判断した.また,800 mg/kg投与群の雄では,心臓および肝臓の実重量が有意に低下したが,投与期間中に認められた変化ではなく,また,相対重量も変化しなかったため,被験物質投与による影響ではないと判断した.

2) 剖検所見

投与期間終了時剖検例において,片側性の腎盂拡張あるいは空腸および回腸の赤色化が対照群の雄で各1例観察された.この他に,雌雄各群とも回復期間終了時剖検例を含めて変化は観察されなかった.

3) 組織学検査所見(Table 5)

投与期間終了時剖検例

肝臓では,800 mg/kg投与群の雄1例および雌4例で小葉中心性の肝細胞肥大が観察され,雌で対照群と比較して発生頻度が有意に増加した.また,800 mg/kg投与群の雌1例に微小肉芽腫が認められた.この他,50および200 mg/kg投与群の雄各1例に髄外造血が認められたが,この2例は,爪が剥がれたことによる貧血が示唆された個体であるため,髄外造血の増加は被験物質投与による変化ではないと判断した.また,200 mg/kg投与群の雄1例を除く雌雄全例で門脈周囲性の肝細胞の脂肪化が観察され,雄の対照群および800 mg/kg投与群を除く雌雄各群で単細胞壊死が散見されたが,対照群と被験物質投与群との間に有意差はなく,所見の増強も認められなかったことから,被験物質投与に起因した変化ではないと判断した.

腎臓では,800 mg/kg投与群の雄3例および雌2例で遠位尿細管あるいはヘンレ系蹄から遠位尿細管にかけての上皮細胞に空胞化が観察された.この他,対照群を含む雌雄各群で好塩基性尿細管が観察され,200および800 mg/kg投与群の雌を除く雌雄各群でリンパ球浸潤が,対照群の雌雄,50および200 mg/kg投与群の雌ならびに800 mg/kg投与群の雄で皮髄境界部の鉱質沈着が散見され,200 mg/kg投与群を除く雄の各群の各1例で蛋白円柱が,皮質の嚢胞あるいは腎盂拡張が雄の対照群の1例に認められたが,いずれも被験物質投与群で増強していないことから,被験物質投与に起因した変化ではないと判断した.

脾臓では,対照群を含む雌雄各群で,髄外造血およびヘモジデリン沈着が観察されたが,対照群と各被験物質投与群との間に発生頻度および程度とも差はなく,被験物質投与に起因した変化ではないと考えられた.

この他,心臓では,対照群の雄1例で,軽微な心筋の変性および線維化が観察され,前立腺では,雄の対照群および800 mg/kg投与群の各3例で軽微なリンパ球浸潤が認められたが,いずれも対照群に限り,あるいは対照群を含む被験物質投与群で認められた変化であったため,被験物質投与に起因した変化ではないと判断した.なお,対照群の雌1例で肉眼的に赤色化が認められた空腸および回腸には,変化が認められなかった.

回復期間終了時剖検例

肝臓では,800 mg/kg投与群の雌雄各1例で髄外造血が認められたが,2例とも軽微な変化であること,投与期間中を含めてこの他の動物では被験物質投与に起因した貧血が認められていないことから,被験物質投与による変化ではないと考えられた.また,雌2例で微小肉芽腫が認められ,この変化は投与期間中にも同群の雌1例で観察されたが,微小肉芽腫は今回の試験に用いた系統のラットでは,自然発生的に認められる変化であることから5),被験物質投与による変化ではないと判断した.この他,対照群を含む雌雄各群で門脈周囲性の肝細胞の脂肪化および単細胞壊死が観察された.

腎臓では,対照群の雌および800 mg/kg投与群の雌雄で好塩基性尿細管が観察され,雌の各群でリンパ球浸潤が,対照群の雌で皮髄境界部の鉱質沈着が散見された.脾臓では,対照群を含む雌雄各群で髄外造血およびヘモジデリン沈着が観察された.しかし,いずれの変化も対照群のみあるいは対照群を含む各群で認められた変化であったため,被験物質投与に起因した変化ではないと判断した.

考察

4-エチルモルホリンを50,200および800 mg/kgの用量で雌雄のSprague-Dawley系ラットに28日間反復経口投与した結果,主として中枢神経,肝臓および腎臓への影響が認められた.

800 mg/kg投与群で動作振戦が観察された.4-エチルモルホリンの単回経口投与毒性試験(未公刊)および本試験予備試験で振戦および痙攣が認められていることから,4-エチルモルホリンの中枢神経系に対する興奮作用が示唆された.200および800 mg/kg投与群で観察されたケージ内を舐める動作および咀嚼様動作は,常同行動の一種であると考えられていることから,被験物質の中枢神経系への影響の一つであると判断した.また,800 mg/kg投与群の雌で投与後30分間に立ち上がり回数が減少したことから探索行動の抑制が,雌雄で静止することが少ない傾向にあったことから自発運動の亢進が示唆された.常同行動の発現時には,自発運動が亢進し,探索行動が抑制されることから,これら自発運動量の変化は,常同行動の発現と関連した変化であると考えられた.一方,800 mg/kg投与群の雄では,回復期間中に,開始直後から30分にかけての立ち上がり回数が増加した.投与期間中に立ち上がり回数は増加せず,雄1例で詳細な臨床観察における探索行動の亢進が認められたのみであったが,計測値として相反する常同行動が発現していたことにより抑制されていた可能性もあり,回復期間中に認められた立ち上がり回数の増加は被験物質投与による影響であると判断した.さらに,800 mg/kg投与群では,回復期間中を含めて接触に対する反応がやや過敏となり,ケージからの取り出し時ないしハンドリング時に発声する個体が増加したことから,易刺激性が示唆された.驚愕反応が1例でわずかに亢進したことも易刺激性によるものと考えられた.今回,易刺激性および探索行動の亢進といった4-エチルモルホリンの中枢神経系に対する作用の一部は投与を中止しても回復性を示さなかったが,本試験と同用量の4-エチルモルホリンを単回経口投与し,24時間後に尿中濃度を測定した試験では,投与量の約20〜70 %(平均約40 %)の4-エチルモルホリンが未変化体として尿中に検出されていること(未公刊),類似化合物であるモルホリンは,ラットではほとんど血漿蛋白質と結合せず,投与後24時間で70〜90 %が尿中に,残りが糞中と呼気中にいずれも未変化体として排泄されること(半減期115分)から6),被験物質の蓄積性によるものではなく,非可逆的あるいは,回復に時間を要する変化が中枢神経系に生じたためであると推測された.この他,800 mg/kg投与群では,うずくまり,活動性の低下,閉眼が観察されたが,同様の所見は,4-エチルモルホリンの単回投与毒性試験で痙攣ないし振戦が表れた後に認められていることから(未公刊),4-エチルモルホリンの中枢神経系に対する作用の一つであると考えられた.また,詳細な臨床観察時,800 mg/kg投与群の雌数例で断続的に歩行を停止して腹臥位を呈したが,脱力および歩行障害は観察されなかったことから,中枢神経系に対する作用と関連する可能性が示唆された.さらに,800 mg/kg投与群の雄2例雌1例では,投与後約2時間の観察時に流涎が,雌1例で流涎の痕跡が観察された.このうち雄1例を除く3例で動作振戦を伴っていたこと,4-エチルモルホリンの単回投与毒性試験でも振戦および流涎が観察されていること(未公刊),モルホリンのラット単回投与では振戦,自発運動の抑制の他,流涎および流涙が報告されていること7)から,投与後約2時間で観察された流涎は,4-エチルモルホリンの作用の一つであると考えられた.この他,800 mg/kg投与群の雌で血漿中ブドウ糖濃度が上昇したが,本試験では易刺激性が認められているもののストレス状態を示唆する所見はなく,ブドウ糖濃度の上昇が,4-エチルモルホリン投与によるものであるか否か判断出来なかった.また,800 mg/kg投与群の雄1例で回復期間中に探索行動の抑制が観察され,この例では,回復第1週に易刺激性も観察されたが,回復第2週では探索行動の抑制のみが観察されたため,被験物質投与の影響によるものであるか否か判断できなかった.また,投与第4週に800 mg/kg投与群の雌1例で身繕いが観察されたが,1例のみの変化であり,被験物質投与による影響であるか否か判断できなかった.

800 mg/kg投与群では,摂餌量が減少し,体重増加が抑制された.しかし,摂餌に影響を及ぼすような一般状態の変化は観察されていないこと,体重減少を示した800 mg/kg投与群の雄1例でも,摂餌量減少および排便量減少が観察された前日には常同行動以外の変化が認められなかったことから,摂餌量の減少および体重増加の抑制は,一般状態の悪化による二次的な変化ではないと考えられた.また,800 mg/kg投与群の雄で血中アルブミン濃度の低下および尿蛋白の減少が認められた.この週齢の雄ラットでは尿蛋白の大半がα2uグロブリンであることから8),尿蛋白の減少が,血中アルブミン濃度の低下を反映している可能性は低いが,尿蛋白が陰性だった個体で体重が低かったことから摂餌量減少と関連した変化である可能性が考えられた.雌の尿中ケトン体の増加は被験物質投与による変化である可能性はあるが,原因は不明であった.なお,回復期間に観察された血漿蛋白の変化は,被験物質投与による影響であるか否か判断できなかった.

800 mg/kg投与群の雌雄において,肝重量の増加および小葉中心性の肝細胞肥大が観察され,雌では,個体別にみて所見の一致があったことから,肝重量増加の一因として肝細胞肥大が示唆された.病理組織学的および血液生化学的に肝臓の損傷を示唆する所見はなく,肝細胞肥大が肝障害を意味するものではないと考えられたが,薬物代謝酵素の誘導を示す変化であるか否かは判断できなかった.この他,800 mg/kg投与群では,雄で血液凝固時間の短縮が認められ,雌でトリグリセライド濃度の上昇およびビリルビン濃度の低下が認められた.これらは,個体別にみて必ずしも肝臓の変化と一致しなかったが,肝重量がより増加した雄の1例では凝固時間が短縮し,雌の1例ではビリルビン濃度が低下してトリグリセライド濃度が上昇したことから,肝臓への影響と関連した変化である可能性が示唆された.また,800 mg/kg投与群の雌でみられた尿中ウロビリノーゲンの増加は,血漿中のビリルビン濃度の変化と関連する可能性もあるが,明らかではなかった.なお,肝細胞肥大を含め,いずれの変化も回復期間終了時には認められず,肝臓に関する所見は投与中止により回復すると考えられた.

800 mg/kg投与群では腎重量が増加し,組織学的にはヘンレ係蹄あるいは遠位の尿細管上皮に空胞化が観察された.雄で尿素窒素濃度がわずかに上昇した以外に,尿細管壊死や再生尿細管のような損傷を示唆する所見の増強はなく,個体別の比較では,尿素窒素濃度が高値となった1例で尿細管の空胞化が観察されたほかは,腎重量の増加と尿細管の空胞化あるいは尿素窒素濃度の増加を示す個体が必ずしも一致していなかった.また,雌では,尿比重低下を伴う尿量増加が示唆された.尿細管の空胞化が観察されたヘンレ係蹄および遠位尿細管は,主として水および電解質の再吸収を行っていることから,尿比重に影響が表れる可能性もあるが,個体別に比較して腎重量の増加および尿細管の空胞化が著しかった1例では比重および尿量は変化していなかった.類似化合物であるモルホリンは,マウスに経口投与することにより,腎機能低下が起こることおよびラット吸入暴露により肝臓および腎臓の重量が増加し,尿細管壊死が観察されることが確認されている9).また,モルホリンオレイン酸塩では,マウスに経口投与することにより腎重量の増加,血中尿素窒素濃度の上昇,尿比重増加および遠位尿細管の混濁腫脹が報告されている10).これらのことから,4-エチルモルホリンも同様に腎臓に作用する可能性が示唆されたが,組織所見は異なっており,遠位尿細管上皮の空胞化が何を示すのか本試験結果からは明らかとはならなかった.しかし,尿中に被験物質の未変化体が検出されていること(未公刊),被験物質は化学反応の触媒として利用されていることから,予備試験において,試験紙(クリニティック200+)が異常発色したこと,本試験の尿蛋白測定時のpH調整で800 mg/kg投与群の雄でより多くの酢酸を必要としたことは,尿中に被験物質が存在することを示唆するものであると考えられた.

800 mg/kg投与群で血漿中塩素濃度が低下した.今回,重炭酸濃度は測定していないため,カリウム濃度およびナトリウム濃度の和から塩素濃度を減ずることによりアニオンギャップを推測すると,塩素濃度がより低下した個体で増加する傾向にあり,塩素濃度低下の一因として,塩素以外の陰イオンの血中濃度が増加した可能性が示唆された.また,800 mg/kg投与群の雌雄で血中無機リン濃度が,雄でカルシウム濃度が上昇し,この変化は,塩素イオン濃度がより低値であった個体と一致する傾向にあった.血漿中電解質濃度の変化が,血液中に存在する被験物質の物理化学的影響によるものなのか,被験物質の生体に対する作用の結果であるのかは,本試験結果からは判断できなかったが,いずれも,14日間投与中止により回復することが確認された.また,800 mg/kg投与群では,雄で副腎重量が増加し,雌の1例でも高値を示したが,血漿電解質あるいは易刺激性といった変化に関連した所見であるのか判断できなかった.

以上の肝臓,腎臓,副腎および電解質の変化は,影響が強く表れた個体が一致する傾向にあり,被験物質投与による影響が相互に関連する,あるいは被験物質に対する感受性に個体差がある可能性が考えられた.また,28日間反復投与後に尿中の被験物質濃度を測定した試験では,尿中の被験物質濃度にばらつきがあったことから被験物質の影響の個体差が示唆されたが,雌雄全体として比較すると有意差があった項目に差異はあるものの,標的器官への影響は類似していることから性差は少ないと考えられた.

800 mg/kg投与群の雌雄において,投与保定時ないし投与直後から投与後約20分にかけて流涎が観察された.この流涎は投与第3週になってから認められ,この他の一般状態の変化と比較して発現時間が短く,投与前の保定段階でも観察された.刺激性物質の経口投与に際しては,しばしば反射性の流涎が観察されるが,本被験物質は刺激性を有するという情報があること,本被験物質の単回投与毒性試験において,被験物質の刺激性が示唆される腺胃粘膜の変化が観察されていることから,被験物質の物理的刺激による反射性の流涎であると考えられた.

この他,800 mg/kg投与群の雌では,好中球比率が上昇し,リンパ球比率が低下した.白血球百分比に白血球数を乗じることにより算出した白血球数で比較すると1例を除き,リンパ球数は対照群の範囲内にあり,好中球数は増加していたことから,好中球の増加による百分比の変動であることが示唆された.また,同様に計算して好酸球数の減少および単球数の増加が示唆されたが,この他の検査項目で関連する所見に変化は認められず,今回の試験結果のみでは,これら白血球数の変化と被験物質投与との関連は不明であった.この他,800 mg/kg投与群の雌で血小板数の増加が認められたが,同群の雄で観察された血液凝固系の変化と関連の有無,さらには被験物質投与による変化であるのか否かは本試験結果からは判断できなかった.

以上の結果から,本試験条件下における4-エチルモルホリンの無作用量は雌雄とも50 mg/kg/dayであると考えられた.また,4-エチルモルホリンの標的器官は中枢神経,肝臓,腎臓であることが示唆された.常同行動,易刺激性および振戦などの中枢神経興奮作用,肝重量および腎重量の増加ならびに肝細胞肥大および腎臓のヘンレ系蹄から遠位尿細管にかけての尿細管上皮細胞の空胞化が認められ,摂餌量低下を伴う体重増加抑制,塩素イオン濃度低下を主とした血液中の電解質濃度の変化が生じることが明らかとなった.これらの変化のうち,中枢神経に対する影響は14日間の投与中止によっても認められたが,その他は回復した.

参考文献

1)National toxicology program study overviews and general protocols. NTP home page. Last updated 11th Feb 2002.
2)Hazardous substances data bank national library of medicin's toxicology data network (TOXNETR). Last updated 10th May 2002.
3)Occupational safety & health administration U.S. department of labor. OSHA technical links, health guidelines, n-ethylmorpholine. Revision date 27th Apr 1999.
4)Smyth HF, Carpenter CP et al.:Range-finding toxicity data list V. Arch Ind Hyg Occupational Med, 10:61-68 (1954).
5)Maeda H, Omori M et al.:Comparison of historical control data between Crj:CD(SD)IGS and Crj:CD(SD) rats. In “Biological Reference Data on CD(SD)IGS Rats-1999” Matsuzawa T, Inoue H (eds.), CD(SD)IGS Study Group, Yokohama (1999) pp.106-118.
6)Sohn SO, Fiala SE et al.:Metabolism and disposition of morpholine in the rat, hamster, and guinea pig. Toxicol Appli Pharmacol, 64:486-491 (1982).
7)Patty's Industrial Hygiene and Toxicology, Vol. 2A, Clayton DG, Clayton EF (eds.), John Wiley & Sons, New York (1981) pp.2693-2697.
8)堀内茂友,輿水 馨(編):B.動物別の尿性状B-1ラット.In「実験動物の生物学的特性データ」田嶋嘉雄(監修)ソフトサイエンス社,東京(1989) pp.205-208.
9)IARC Monographs on the evaluation of carcinogenic risks to humans. Vol.47, IARC working group, Lyon (1989) pp.199-213.
10)Shibata M, Kurata Y et al.:13-week subchronic toxicity study with morpholine oleic acid salt administered to B6C3F1 mice. J Toxicol Env Health, 22:187-194 (1987).

連絡先
試験責任者:森村智美
試験担当者:加藤博康,関剛幸,古谷真美,
永田伴子
(財)食品薬品安全センター秦野研究所
〒257-8523 神奈川県秦野市落合729-5
Tel 0463-82-4751Fax 0463-82-9627

Correspondence
Authors:Tomomi Morimura(Study Director)
Hiroyasu Kato, Takayuki Seki,
Mami Furuya, Tomoko Nagata
Hatano Research Institute, Food and Drug Safety Center
729-5 Ochiai, Hadano-shi, Kanagawa, 257-8523, Japan
Tel +81-463-82-4751Fax +81-463-82-9627