2-¥Ó¥Ë¥ë¥Ô¥ê¥¸¥ó¤Î¥é¥Ã¥È¤òÍѤ¤¤ë
28Æü´ÖÈ¿Éü·Ð¸ýÅêÍ¿ÆÇÀ­»î¸³

Twenty-eight-day Repeat Dose Oral Toxicity Test of
2-Vinylpyridine in Rats

Í×Ìó

2-¥Ó¥Ë¥ë¥Ô¥ê¥¸¥ó¤Ï¡¤¥¿¥¤¥ä¥³¡¼¥ÉÀÜÃåºÞºàÎÁ¤ª¤è¤Ó°åÌôÍѸ¶ÎÁ¤È¤·¤Æ»ÈÍѤµ¤ì¤Æ¤¤¤ë²½¹çʪ¤Ç¤¢¤ë¡¥Ëܲ½¹çʪ¤ÏÉå¿©ºÞ¤ª¤è¤ÓºÅÎ޺ޤǤ¢¤ê¡¤Óë²¼¡¤µÛÆþ¤¢¤ë¤¤¤Ï·ÐÈéµÛ¼ý¤µ¤ì¤ë¤ÈÍ­³²¤Ç¤¢¤ë¤³¤È¤¬ÃΤé¤ì¤Æ¤¤¤ë1)¡¥¤Þ¤¿¡¤Ç´Ë졤¾åµ¤Æ»¡¤´ã¤ª¤è¤ÓÈéÉæ¤ÎÁÈ¿¥¤ËÂФ·¤­¤ï¤á¤ÆÇ˲õŪ¤Ç¤¢¤ë¤³¤È¤âÊó¹ð¤µ¤ì¤Æ¤¤¤ë1)¡¥º£²ó¡¤´û¸²½³ØÊª¼Á¤Î°ÂÁ´ÅÀ¸¡¤Ë´Ø¤ï¤ëÆÇÀ­Ä´ºº»ö¶È¤Î°ì´Ä¤È¤·¤Æ¡¤2-¥Ó¥Ë¥ë¥Ô¥ê¥¸¥ó¤Ë¤Ä¤¤¤ÆSD·Ï¤Î¥é¥Ã¥È¤òÍѤ¤¡¤12.5¡¤50¤ª¤è¤Ó200 mg/kg/day¤ÎÍÑÎ̤Ç28Æü´ÖÈ¿Éü·Ð¸ýÅêÍ¿ÆÇÀ­»î¸³¤ò¼Â»Ü¤·¤¿¡¥¤Ê¤ª¡¤Âоȷ²¤ª¤è¤Ó200 mg/kg·²¤Ë¤Ï¤½¤ì¤¾¤ì»óͺ³Æ5ɤ¤Î14Æü´Ö²óÉü·²¤òÀߤ±¤¿¡¥

°ìÈ̾õÂ֤δѻ¡¤Ç¤Ï¡¤»óͺ¤Î200 mg/kg·²¤Ç¡¤¸ý¤Î¼þ°Ï¤«¤é²¼³ÜÉô¤òǨ¤é¤¹ÄøÅÙ¤Îή޷¤¬Ç§¤á¤é¤ì¡¤¤µ¤é¤Ë²¼³ÜÉô¤ÎÈïÌӤαø¤ì¤¬Ç§¤á¤é¤ì¤¿¡¥¤Þ¤¿¡¤»óͺ¤Î50 mg/kg·²¤Ë¤ª¤¤¤Æ¤â¡¤¸ý¤Î¼þ°Ï¤òǨ¤é¤¹ÄøÅÙ¤Îή޷¤¬Ç§¤á¤é¤ì¤¿¡¥¤³¤ì¤é¤Î¾É¾õ¤Ï¡¤50 mg/kg·²¤Ç¤ÏÅêÍ¿5»þ´Ö°ÊÆâ¤Ë¡¤200 mg/kg·²¤Ç¤ÏÍâÆü¤ÎÅêÍ¿Á°¤Þ¤Ç¤Ë¾Ã¼º¤¹¤ë·«¤êÊÖ¤·¤Ç¤¢¤Ã¤¿¡¥ÅêÍ¿´ü´Ö¤Ë´Ñ»¡¤µ¤ì¤¿¾å½Ò¤Î¾É¾õ¤Ï¡¤²óÉü»î¸³¤Ç¤Ï´Ñ»¡¤µ¤ì¤º¡¤¾É¾õ¤Î²óÉü¤¬Ç§¤á¤é¤ì¤¿¡¥¤Ê¤ª¡¤»óͺ¤¤¤º¤ì¤Î·²¤Ë¤â»àË´Îã¤Ï´Ñ»¡¤µ¤ì¤Ê¤«¤Ã¤¿¡¥

ÂνŤϡ¤Íº¤Î200 mg/kg·²¤ÇÅêÍ¿2¡¤3¤ª¤è¤Ó4½µ¤ËÁý²Ã¤¬ÍÞÀ©¤µ¤ì¡¤ÀݱÂÎ̤ϡ¤Æ±·²¤ÇÅêÍ¿2½µ¤Ë¸º¾¯¤¬Ç§¤á¤é¤ì¤¿¡¥²óÉü»î¸³¤Ç¤Ï¡¤¤³¤ì¤é¤Ï¤¤¤º¤ì¤â²óÉü¤¬Ç§¤á¤é¤ì¤¿¡¥

·ì±Õ³ØÅª¸¡ºº¡¤·ì±Õ¶Å¸Çǽ¸¡ºº¤ª¤è¤Ó·ì±ÕÀ¸²½³Ø¸¡ºº¤Î·ë²Ì¡¤»óͺ¤È¤âÈ︳ʪ¼ÁÅêÍ¿¤È´ØÏ¢¤Å¤±¤é¤ì¤ëÊѲ½¤Ïǧ¤á¤é¤ì¤Ê¤«¤Ã¤¿¡¥

Ç¢¸¡ºº¤Î·ë²Ì¡¤»ó¤Ç¤Ï200 mg/kg·²¤ÇÇ¢Î̤ÎÁý²Ã¤ª¤è¤ÓÈæ½Å¤ÎÄãÃͤ¬Ç§¤á¤é¤ì¡¤50 mg/kg·²¤ÇÈæ½Å¤ÎÄãÃͤ¬Ç§¤á¤é¤ì¤¿¡¥²óÉü´ü´Ö½ªÎ»»þ¤Ç¤Ï¡¤¤³¤ì¤é¤Ï¤¤¤º¤ì¤â²óÉü¤¬Ç§¤á¤é¤ì¤¿¡¥

´ï´±½ÅÎ̬Äê¤Î·ë²Ì¡¤Íº¤Ç¤Ï200 mg/kg·²¤ÇÀºÁãÁêÂнÅÎ̤ιâÃÍ¡¤»ó¤Ç¤Ï200 mg/kg·²¤Çç£Â¡¼Â½ÅÎ̤ª¤è¤ÓÁêÂнÅÎ̤ÎÄãÃͤʤé¤Ó¤Ë´Î¡ÁêÂнÅÎ̤ιâÃͤ¬Ç§¤á¤é¤ì¤¿¡¥²óÉü´ü´Ö½ªÎ»»þ¤Ç¤Ï¡¤¤³¤ì¤é¤Ï¤¤¤º¤ì¤â²óÉü¤·¤¿¡¥

ÉÂÍý³Ø¸¡ºº¤Î·ë²Ì¡¤Æù´ã½ê¸«¤Ç¤ÏÁ°°ß¤ÎÇ´ËìÈî¸ü¤¬»óͺ¤È¤â¤Ë200 mg/kg·²¤ÇÁ´Îã¤Ë´Ñ»¡¤µ¤ì¤¿¡¥ÁÈ¿¥½ê¸«¤Ç¤ÏÁ°°ß¤Î٨ʿ¾åÈéÁýÀ¸¤¬200 mg/kg·²¤Î»óͺ¤ÎÁ´Îã¤È50 mg/kg·²¤Î»óͺ¤Î3Îã¤Ë´Ñ»¡¤µ¤ì¤¿¡¥¤µ¤é¤ËÁ°°ß¤Ç¤ÏÇ´Ëì²¼¤ÎÉâ¼ð¡¤¤Ó¤é¤ó¤äºÙ˦¿»½á¡¤Á£°ß¤Ç¤ÏÇ´Ëì²¼¤ÎÉâ¼ð¤ä¤Ó¤é¤ó¤Ê¤É¤Î½ê¸«¤â°ìÉô¤ÎÎã¤Ë´Ñ»¡¤µ¤ì¤¿¡¥²óÉü½ªÎ»»þ·×²è²ò˶ưʪ¤Ë¤ª¤¤¤Æ¤â¡¤ÁÈ¿¥½ê¸«¤Ç200 mg/kg·²¤Î»óͺ¤ÇÁ°°ß¤Î٨ʿ¾åÈéÁýÀ¸¤¬·ÚÅ٤ʤ¬¤é´Ñ»¡¤µ¤ì¤¿¤¬È¯À¸¿ô¤äÄøÅÙ¤â·Ú¸º¤·¤Æ¤ª¤ê²ÄµÕÀ­¤ÎÊѲ½¤È¹Í¤¨¤é¤ì¤¿¡¥

°Ê¾å¤Î¤³¤È¤«¤é¡¤Ëܻ¤Ç¤Ï»óͺ¤Î50¤ª¤è¤Ó200 mg/kg·²¤Çǧ¤á¤é¤ì¤¿°ìÈ̾õÂÖ¤ÎÊѲ½¤ª¤è¤ÓÉÂÍý³Ø¸¡ºº¤Ë¤ª¤±¤ë°ß¤Î°Û¾ïÉÂÊѤ¬È︳ʪ¼ÁÅêÍ¿¤È´ØÏ¢¤Å¤±¤é¤ì¤ë¤â¤Î¤Ç¤¢¤ê¡¤È︳ʪ¼Á¤ÎɸŪ´ï´±¤Ï°ß¤ÈȽÃǤµ¤ì¤¿¡¥¤Þ¤¿¡¤Ìµ±Æ¶ÁÎÌ(NOEL)¤Ï»óͺ¤È¤â¤Ë°ìÈ̾õÂÖ¤ÎÊѲ½¤ª¤è¤Ó°ß¤Î°Û¾ïÉÂÊѤ¬Ç§¤á¤é¤ì¤Ê¤«¤Ã¤¿12.5 mg/kg/day¤ÈȽÃǤµ¤ì¤¿¡¥

ÊýË¡

1¡¥È︳ʪ¼Á

2-¥Ó¥Ë¥ë¥Ô¥ê¥¸¥ó(Í­µ¡¹çÀ®ÌôÉʹ©¶È(³ô)Äó¶¡)¤ÏÆÃ°Û½­¤Î¤¢¤ëø²«¿§¤ÎÌýÍÏÀ­±ÕÂΤǡ¤Ê¬»Ò¼°C7H7N¡¤Ê¬»ÒÎÌ105.15¤Î²½¹çʪ¤Ç¤¢¤ë¡¥Ëܻ¤ËÍѤ¤¤¿¥í¥Ã¥È95-022¤Î½ãÅÙ¤Ï98.3%¤Ç¤¢¤Ã¤¿¡¥

2¡¥¶¡»îưʪ

¶¡»î¤·¤¿¥é¥Ã¥È¡ÌCrj:CD(SD)·Ï¡¤SPF¡Í¤ÏÆüËÜ¥Á¥ã¡¼¥ë¥¹¡¦¥ê¥Ð¡¼(³ô)¤«¤é4½µÎð¤Ç¹ØÆþ¤·¤¿¡¥Æ°Êª¤ò¸¡¼ý¸å¡¤»î¸³´Ä¶­¤Ë8Æü´ÖÆë²½¤µ¤»¤¿¸å¡¤6½µÎð¤ÇÅêÍ¿¤ò³«»Ï¤·¤¿¡¥Æ°Êª¤Ï¤¢¤é¤«¤¸¤áÂνŤˤè¤Ã¤ÆÁØÊ̲½¤·¡¤Ìµºî°ÙÃê½ÐË¡¤Ë¤è¤ê³Æ»î¸³·²¤ò¹½À®¤¹¤ë¤è¤¦¤Ë·²Ê¬¤±¤·¤¿¡¥ÅêÍ¿³«»Ï»þ¤ÎÂνŤÏͺ¤Ç123¡Á137 g¡¤»ó¤Ç107¡Á116g¤Ç¤¢¤Ã¤¿¡¥

3¡¥»ô°é¾ò·ï

ưʪ¤Ï¥Ð¥ê¥¢¥·¥¹¥Æ¥à¤Î»ô°é¼¼¤Ç»ô°é¤·¡¤´Ä¶­Ä´Àá¤ÎÌÜɸÃͤϲ¹ÅÙ23¡Þ2¡î¡¤ÁêÂм¾ÅÙ55¡Þ10%¡¤´¹µ¤²ó¿ô20²ó/»þ¡¤¾ÈÌÀ150¡Á300 lux¡¤12»þ´Ö(¸áÁ°7»þÅÀÅô¡¤¸á¸å7»þ¾ÃÅô)¤È¤·¤¿¡¥(³ô)Åìµþµ»¸¦¥µ¡¼¥Ó¥¹¤Î¿åÀö¼°»ô°éµ¡¤ò»ÈÍѤ·¡¤¶â°À½Á°ÌÌ¡¦¾²ÌÖÌÜ»ô°é¥±¡¼¥¸¤Ëưʪ¤ò1ɤ¤º¤Ä¼ýÍÆ¤·¡¤¥ª¥ê¥¨¥ó¥¿¥ë¹ÚÊ칩¶È(³ô)À½Â¤¤ÎÊü¼ÍÀþÌǶݲþÎÉNIH¸ø³«¥é¥Ã¥È¡¦¥Þ¥¦¥¹»ôÎÁ¤ª¤è¤Ó¿åÆ»¿å¤ò¼«Í³¤ËÀݼ褵¤»¤¿¡¥»ô°é¥±¡¼¥¸¤Ï³Ö½µ1²ó¡¤µë±Â´ï¤Ï½µ1²ó¼è¤ê´¹¤¨¤¿¡¥

¤Ê¤ª¡¤Æ°Êª¤ÎÆë²½´ü´Ö¤ò´Þ¤á¡¤ÅêÍ¿¤ª¤è¤Ó²óÉü´ü´ÖÃæ¡¤¥Ç¡¼¥¿¤Î¿®ÍêÀ­¤Ë±Æ¶Á¤òµÚ¤Ü¤·¤¿¤È»×¤ï¤ì¤ë´Ä¶­Í×°ø¤ÎÊѲ½¤Ï¤Ê¤«¤Ã¤¿¡¥

4¡¥»î¸³·²¤Î¹½À®

»î¸³·²¤Ï0¡¤12.5¡¤50¤ª¤è¤Ó200 mg/kg¤Î4·²¤È¤·¡¤1·²»óͺ³Æ5ɤ¤òÍѤ¤¡¤0¤ª¤è¤Ó200 mg/kg·²¤Ë»óͺ³Æ5ɤ¤Î²óÉü·²¤òÀߤ±¡¤·×60ɤ¤ò»ÈÍѤ·¤¿¡¥

¡ÌÍÑÎÌÀßÄêÍýͳ¡Í

ÅêÍ¿ÎÌÀßÄê¤Î¤¿¤á¤Î2½µ´ÖÈ¿ÉüÅêÍ¿»î¸³¤ò0¡¤30¡¤90¤ª¤è¤Ó270 mg/kg¤Î4ÍÑÎ̤Ǽ»ܤ·¤¿¡¥¤½¤Î·ë²Ì¡¤270 mg/kg·²¤Ç¤Ï°ìÈ̾õÂÖ¤ÎÊѲ½¤È¤·¤Æ¡¤»óͺÁ´Îã¤ËÈïÌÓ¤ò±ø¤¹ÄøÅÙ¤Îή޷¤¬Ç§¤á¤é¤ì¡¤¤µ¤é¤Ë°ìÉô¤ÎÎã¤Ë¶Ãسȿ¼Í¤¬´Ñ»¡¤µ¤ì¤¿¡¥¤Þ¤¿¡¤ÂνŤÏͺ¤ÇÁý²ÃÍÞÀ©¤¬Ç§¤á¤é¤ì¡¤·ì±Õ³ØÅª¸¡ºº¤Ç¤Ï»óͺ¤Ç¹¥ÃæµåÈæÎ¨¤ÎÁý²Ã¡¤·ì±ÕÀ¸²½³ØÅª¸¡ºº¤Ç¤Ïͺ¤ÇGOT¤Î¹âÃͤª¤è¤ÓÁí¥³¥ì¥¹¥Æ¥í¡¼¥ë¤ÎÄãÃÍ¡¤»ó¤ÇGPT¤Î¹âÃͤ¬Ç§¤á¤é¤ì¤¿¡¥´ï´±½ÅÎ̬Äê¤Ç¤Ï¡¤»óͺ¤È¤â¤Ë270 mg/kg·²¤ÇÉû¿Õ¤¬¹âÃͤò¼¨¤·¡¤¶»Á£¤¬ÄãÃͤò¼¨¤·¤¿¡¥ÉÂÍýÆù´ã´Ñ»¡¤Ç¤Ï¡¤270 mg/kg¤ª¤è¤Ó90 mg/kg·²¤Î»óͺ¤ÇÁ°°ßÇ´Ëì¤ÎÈî¸ü¤¬Ç§¤á¤é¤ì¡¤¤µ¤é¤Ë270 mg/kg·²¤Î»óͺ¤Ë¤Ï°ß¤È¼þ°ÏÁÈ¿¥¤ÎÌþÃ太¤è¤ÓÁ°°ß¤ÎÄÙáç¤âǧ¤á¤é¤ì¤¿¡¥

°Ê¾å¤Î·ë²Ì¡¤270 mg/kg¤Ç¤Ï»óͺ¤È¤â¤Ë½ÅÆÆ¤Ê±Æ¶Á¤¬Ç§¤á¤é¤ì¤¿¤³¤È¤«¤é¡¤28Æü´ÖÈ¿ÉüÅêÍ¿ÆÇÀ­»î¸³¤Î¹âÍÑÎ̤ϡ¤¤³¤ì¤è¤ê¤ä¤äÄ㤤ÍÑÎ̤¬Å¬Àڤȹͤ¨200 mg/kg¤òÀßÄꤷ¡¤°Ê²¼¸øÈæ4¤Ç½ü¤·ÃæÍÑÎ̤ò50 mg/kg¡¤ÄãÍÑÎ̤ò12.5 mg/kg¤È¤·¤¿¡¥

5¡¥ÅêÍ¿ÊýË¡

È︳ʪ¼Á¤Ï¥³¡¼¥óÌý¤ËÍϲò¤·¡¤°ß¥¾¥ó¥Ç¤òÍѤ¤¤Æ·Ð¸ýÅêÍ¿¤·¤¿¡¥ÅêÍ¿ÍÆÎ̤ÏÂνÅ100 gÅö¤¿¤ê0.5 ml¤È¤·¤¿¡¥Âоȷ²¤Ë¤ÏÇÞÂΤΤßÅêÍ¿¤·¤¿¡¥

6¡¥ÅêÍ¿±Õ¤ÎÄ´À½¡¤Ê¬ÀÏ

È︳ʪ¼Á¤Ï¡¤³ÆÍÑÎ̤´¤È¤Ë½êÄêÎ̤òÀºÇ餷¡¤¥³¡¼¥óÌý(¥Ê¥«¥é¥¤¥Æ¥¹¥¯(³ô))¤ËÍϲò¤·¤¿¡¥ÅêÍ¿±Õ¤ÏÄ´À½¸å¡¤Î䢸ËÊݸ¤Ç1½µ´Ö°ÂÄê¤Ç¤¢¤ë¤³¤È¤¬³Îǧ¤µ¤ì¤Æ¤¤¤ë¤Î¤Ç¡¤Ëܻ¤Ë¤ª¤¤¤Æ¤ÏËè½µ1²óÄ´À½¤ò¹Ô¤¤¡¤1ÆüʬËè¤Ë¾®Ê¬¤±¤ò¤·»ÈÍÑ»þ¤Þ¤ÇÎ䢸ˤËÊݴɤ·¤¿¡¥ÅêÍ¿±Õ¤ÎÇ»ÅÙʬÀϤò¤¹¤Ù¤Æ¤Î·²¤Ë´Ø¤·ÅêÍ¿1¤ª¤è¤Ó4½µ¤ÎÄ´À½±Õ¤Ë¤Ä¤¤¤Æ¼Â»Ü¤·¤¿·ë²Ì¡¤ÀßÄêÇ»ÅÙ¤Î100¡Á105%¤ÎÈϰϤǤ¢¤ê¡¤Å¬ÀÚ¤ËÄ´À½¤µ¤ì¤Æ¤¤¤¿¡¥

7¡¥ÅêÍ¿´ü´Ö

ÅêÍ¿´ü´Ö¤Ï28Æü´Ö¤È¤·¡¤ÅêÍ¿½ªÎ»¸å0¤ª¤è¤Ó200 mg/kg·²¤Ë¤Ä¤¤¤Æ2½µ´Ö¤Î²óÉü»î¸³¤ò¼Â»Ü¤·¤¿¡¥

8¡¥´Ñ»¡¡¤Â¬Äꤪ¤è¤Ó¸¡ºº

1)¡¡°ìÈ̾õÂ֤δѻ¡

Á´Æ°Êª¤òËèÆüÅêÍ¿Á°¡¤ÅêÍ¿¸å1¤ª¤è¤Ó5»þ´Ö¤Î3²ó´Ñ»¡¤·¡¤ÃæÆÇ¾É¾õ¤Î̵ͭ¡¤¹Ôư°Û¾ï¡¤»à´ü¤ÎÇ÷¤Ã¤¿Æ°Êª¤ª¤è¤Ó»à˴ưʪ¤Î̵ͭÅù¤òµ­Ï¿¤·¤¿¡¥

2)¡¡ÂνÅ

ÅêÍ¿³«»Ï¤«¤é²óÉü»î¸³½ªÎ»»þ¤Þ¤Ç¡¤Ëè½µ1²ó¬Äꤷ¤¿¡¥

3)¡¡ÀݱÂÎÌ

Ëè½µ1½µµë±Â¤·¤¿»ÄÎ̤ò¬Äꤷ¡¤»ôÎÁÀݼèÎÌ(g/week)¤ò»»½Ð¤·¤¿¡¥

4)¡¡Î×¾²¸¡ºº

ÅêÍ¿½ªÎ»»þ¤ª¤è¤Ó²óÉü´ü´Ö½ªÎ»»þ¤Î·×2²ó¼Â»Ü¤·¤¿¡¥ºÎ·ì¤¹¤ë¤ËÅö¤¿¤ê¡¤Æ°Êª¤ÏÌó16»þ´ÖÀä¿©¤µ¤»¤¿¡¥Æ°Êª¤ò¥¨¡¼¥Æ¥ë¤ÇËã¿ì¸å³«Ê¢¤·¡¤Ê¢ÉôÂçÆ°Ì®¤«¤éºÎ·ì¤·¤¿¡¥

a¡¥·ì±Õ³ØÅª¸¡ºº

EDTA-3K¤òź²Ã¤·¤¿½é·ì¤òÍѤ¤¡¤Çò·ìµå¿ô(WBC:°Å»ëÌîÈÄË¡)¡¤ÀÖ·ìµå¿ô(RBC:°Å»ëÌîÈÄË¡)¡¤¥Ø¥â¥°¥í¥Ó¥óÎÌ(HGB:¥·¥¢¥ó¥á¥È¥Ø¥â¥°¥í¥Ó¥óË¡)¡¤¥Ø¥Þ¥È¥¯¥ê¥Ã¥ÈÃÍ(HCT:RBC¡¤MCV¤è¤ê»»½Ð)¡¤Ê¿¶ÑÀÖ·ìµåÍÆÀÑ(MCV:°Å»ëÌîÈÄË¡)¡¤Ê¿¶ÑÀÖ·ìµå·ì¿§ÁÇÎÌ(MCH:HGB¡¤RBC¤è¤ê»»½Ð)¡¤Ê¿¶ÑÀÖ·ìµå·ì¿§ÁÇÇ»ÅÙ(MCHC:HGB¡¤HCT¤è¤ê»»½Ð)¡¤·ì¾®ÈÄ¿ô(PLT:°Å»ëÌîÈÄË¡)¤ª¤è¤ÓÇò·ìµåɴʬΨ(¥Õ¥í¡¼¥µ¥¤¥È¥±¥ß¥¹¥È¥ê¡¼Ë¡)¤ò·ì±Õ¼«Æ°Ê¬ÀÏÁõÃÖTHMS H¡¦1E(ÊÆ¹ñ¥Þ¥¤¥ë¥¹¼Ò)¤òÍѤ¤¤ÆÂ¬Äꤷ¤¿¡¥

ÌÖÀÖ·ìµå(RC)Ψ»»ÄêÍѤΤ¿¤á¹³¶Å¸ÇºÞź²Ã(EDTA-3K)·ì±Õ¤ò¥Ë¥å¡¼¥á¥Á¥ì¥ó¥Ö¥ë¡¼¤ÇÀ÷¿§¸å¡¤ÅÉËõɸËܤòºîÀ®¤·¶À¸¡¤·¤¿¡¥

¤Þ¤¿¡¤¥¯¥¨¥ó»À¥½¡¼¥Àź²Ã·ì±Õ¤Î·ìÞù¤Ë¤Ä¤¤¤Æ¡¤¥×¥í¥È¥í¥ó¥Ó¥ó»þ´Ö(Quick1ÃÊË¡)¡¤³èÀ­²½Éôʬ¥È¥í¥ó¥Ü¥×¥é¥¹¥Á¥ó»þ´Ö(¥¯¥í¥Ã¥ÈË¡)¤ª¤è¤Ó¥Õ¥£¥Ö¥ê¥Î¡¼¥²¥óÎÌ(¥È¥í¥ó¥Ó¥ó»þ´ÖË¡)¤ò·ì±Õ¶Å¸Ç¼«Æ°Â¬ÄêÁõÃÖKC-40(ÆÈ¹ñAmelung¼Ò)¤òÍѤ¤¤ÆÂ¬Äꤷ¤¿¡¥

b¡¥·ì±ÕÀ¸²½³Ø¸¡ºº

·ìÀ¶¤òÍѤ¤¤Æ¡¤ÁíÃÁÇò(¥Ó¥å¡¼¥ì¥Ã¥ÈË¡)¡¤¥¢¥ë¥Ö¥ß¥ó(B.C.G.Ë¡)¡¤A/GÈæ(·×»»ÃÍ)¡¤·ìÅü(¥°¥ë¥³¡¼¥¹¥ª¥­¥·¥À¡¼¥¼Ë¡)¡¤ÃæÀ­»éËÃ(¹ÚÁÇÈæ¿§Ë¡)¡¤Áí¥³¥ì¥¹¥Æ¥í¡¼¥ë(¥³¥ì¥¹¥Æ¥í¡¼¥ë¥ª¥­¥·¥À¡¼¥¼Ë¡)¡¤Ç¢ÁÇÃâÁÇ(BUN:¥¦¥ì¥¢¡¼¥¼¥¢¥ó¥â¥Ë¥¢»Ø¼¨ÌôË¡)¡¤Áí¥Ó¥ê¥ë¥Ó¥ó(¥¸¥¢¥¾Ë¡)¡¤¥«¥ë¥·¥¦¥à(¥¢¥ë¥»¥Ê¥¾­·Ë¡)¡¤Ìµµ¡¥ê¥ó(¥â¥ê¥Ö¥Ç¥ó»ÀÀÄË¡)¡¤¥Ê¥È¥ê¥¦¥à(ÅŶËË¡)¡¤¥«¥ê¥¦¥à(ÅŶËË¡)¤ª¤è¤Ó±öÁÇ(ÅŶËË¡)¤òEKTACHEM 700N(ÊÆ¹ñ¥³¥À¥Ã¥¯¼Ò)¤Ç¡¤¥¯¥ì¥¢¥Á¥Ë¥ó(JaffË¡)¡¤¥°¥ë¥¿¥ß¥ó»À¥ª¥­¥¶¥í¿Ý»À¥È¥é¥ó¥¹¥¢¥ß¥Ê¡¼¥¼(GOT:IFCCË¡)¡¤¥°¥ë¥¿¥ß¥ó»À¥Ô¥ë¥Ó¥ó»À¥È¥é¥ó¥¹¥¢¥ß¥Ê¡¼¥¼(GPT:IFCCË¡)¡¤¦Ã -¥°¥ë¥¿¥ß¥ë¥È¥é¥ó¥¹¥Ú¥×¥Á¥À¡¼¥¼(¦Ã -GTP:OrlwskiË¡)¤ª¤è¤Ó¥¢¥ë¥«¥ê¥Û¥¹¥Õ¥¡¥¿¡¼¥¼(ALP:Bessey-Lowry²þÎÉË¡)¤òCentrifiChem ENCORE­¶(ÊÆ¹ñ¥Ù¡¼¥«¡¼¼Ò)¤Ç¬Äꤷ¤¿¡¥

c¡¥Ç¢¸¡ºº

·ì±Õ³ØÅª¸¡ºº¤ËÀèΩ¤Á¡¤ºÎÇ¢´ï¤òÍѤ¤¤Æ24»þ´Ö(¸áÁ°10»þ¤«¤éÍâÆü¸áÁ°10»þ¤Þ¤Ç)Ç¢¤òºÎ¼è¤·¡¤Ç¢ÎÌ¡¤¿§Ä´¤ª¤è¤ÓÂùÅÙ¤ò¸¡ºº¸å¡¤Ç¢Èæ½Å·×UR-S((³ô)¥¢¥¿¥´)¤òÍѤ¤¤ÆÇ¢Èæ½Å¤ò¬Äꤷ¤¿¡¥¤Þ¤¿¡¤Ç¢¤ò±ó¿´Ê¬Î¥¸åSternheimerÊÑË¡¤Ë¤è¤êÄÀÞÖ¤òÀ÷¿§¤·¡¤¶À¸¡¤·¤¿¡¥pH¡¤Àø·ì¡¤¥±¥È¥óÂΡ¤Åü¡¤ÃÁÇò¡¤¥Ó¥ê¥ë¥Ó¥ó¤ª¤è¤Ó¥¦¥í¥Ó¥ê¥Î¡¼¥²¥ó¤Î¸¡ºº¤Ï¡¤ÇÓÝõ3»þ´Ö°ÊÆâ¤Î¿·Á¯Ç¢¤Ë¤Ä¤¤¤Æ¡¤N-¥Þ¥ë¥Æ¥£¥¹¥Æ¥£¥Ã¥¯¥¹SG»î¸³»æ(¥Þ¥¤¥ë¥¹¡¦»°¶¦(³ô))¤ª¤è¤ÓCLINITEK200(ÊÆ¹ñ¥Þ¥¤¥ë¥¹¼Ò)¤òÍѤ¤¤Æ¹Ô¤Ã¤¿¡¥

5)¡¡ÉÂÍý³Ø¸¡ºº

ÉÂÍý²ò˶¤ÏÅêÍ¿½ªÎ»»þ¤ª¤è¤Ó²óÉü´ü´Ö½ªÎ»»þ¤Ëưʪ¤ò¥¨¡¼¥Æ¥ëËã¿ì¤·¡¤Êü·ìÃ׻व¤»¼Â»Ü¤·¤¿¡¥¤Þ¤¿¡¤Ç¾¡¤´Î¡¡¤¿Õ¡¡¤ç£Â¡¡¤Éû¿Õ¡¤ÀºÁ㡤ÍñÁ㤪¤è¤Ó¶»Á£¤Ë¤Ä¤¤¤Æ½ÅÎ̤ò¬Äꤷ¡¤´ï´±½ÅÎÌ¡¦ÂνÅÈæ¤ò»»½Ð¤·¤¿¡¥

ÉÂÍýÁÈ¿¥³Ø¸¡ºº¤Ï¡¤ÅêÍ¿½ªÎ»»þ¤Ë²ò˶¤·¤¿Âоȷ²¤ª¤è¤Ó200 mg/kg·²¤Î°ß¡¤½½Æó»ØÄ²¡¤¶»Á£¡¤¿´Â¡¡¤´Î¡¡¤ç£Â¡¡¤¿Õ¡¡¤Éû¿Õ¤ª¤è¤Ó¹ü¿ñ(ÂçÂܹü)¤Ë¤Ä¤¤¤Æ¸¡º÷¤·¤¿¡¥¤Ê¤ª¡¤°ß¤Ë¤Ä¤¤¤Æ¤Ï¹âÍÑÎÌ·²¤ÇÊѲ½¤¬Ç§¤á¤é¤ì¤¿¤¿¤á¡¤Ãæ´ÖÍÑÎ̤ª¤è¤Ó²óÉü·²¤Ë¤Ä¤¤¤Æ¤â¸¡º÷¤·¤¿¡¥¾ïË¡¤Ë½¾¤Ã¤ÆÇöÀÚɸËܤòºîÀ½¤·¡¤¥Ø¥Þ¥È¥­¥·¥ê¥ó¡¦¥¨¥ª¥¸¥óÀ÷¿§¤·¶À¸¡¤·¤¿¡¥

6)¡¡Åý·×²òÀÏ

³Æ»î¸³·²¤ÎÂνš¤ÀݱÂÎÌ¡¤·ì±Õ³ØÅª¸¡ººÃÍ¡¤·ì±ÕÀ¸²½³Ø¸¡ººÃÍ¡¤Ç¢¸¡ººÃÍ(Ç¢Î̤ª¤è¤ÓÇ¢Èæ½Å¤Î¤ß)¡¤´ï´±½ÅÎ̤ª¤è¤Ó´ï´±½ÅÎÌ¡¦ÂνÅÈæ¤Ë¤Ä¤¤¤Æ¤Ï¡¤Â¿½ÅÈæ³Ó¸¡Äê2, 3)¤ò¹Ô¤Ã¤¿¡¥¤Þ¤¿¡¤ÉÂÍý³Ø¸¡ºº·ë²Ì¤Ë¤Ä¤¤¤Æ¤ÏFisher¤Î³ÎΨ·×»»Ë¡¤ò¼Â»Ü¤·¤¿¡¥

Í­°Õ¿å½à¤Ï5¤ª¤è¤Ó1%¤Îξ¦¸¡Äê¤Ç¼Â»Ü¤·¤¿¡¥

·ë²Ì

1¡¥»à˴Ψ

ÅêÍ¿´ü´ÖÃæ¤ª¤è¤Ó²óÉü´ü´ÖÃæ¡¤»óͺ¤È¤âÂоȷ²¤ò´Þ¤à¤¹¤Ù¤Æ¤Î»î¸³·²¤Ç»àË´Îã¤Ïǧ¤á¤é¤ì¤Ê¤«¤Ã¤¿¡¥

2¡¥°ìÈ̾õÂ֤δѻ¡

ͺ¤Ç¤Ï200 mg/kg·²¤Ç¡¤ÅêÍ¿7Æü¤«¤é10ÎãÃæ3Îã¤Ë¸ý¤Î¼þ°Ï¤òǨ¤é¤¹ÄøÅÙ¤Îή޷¤¬Ç§¤á¤é¤ì¡¤¤µ¤é¤ËÅêÍ¿8Æü¤Ë¤Ï1Îã¤Ë·ÚÅ٤μ«È¯±¿Æ°Äã²¼¤¬Ç§¤á¤é¤ì¤¿¡¥¤Þ¤¿¡¤ÅêÍ¿11Æü¤«¤é1Îã¤Ë²¼³ÜÉô¤ÎÈïÌӤαø¤ì¤¬Ç§¤á¤é¤ì¤¿¡¥¤³¤ì¤é¤Î¾É¾õ¤Î¤¦¤Á¡¤Î®Þ·¤ÏÅêÍ¿14Æü¤Ë¤Ï10ÎãÁ´Îã¤ËÁý²Ã¤·¡¤²¼³ÜÉô¤Ë㤷¤¿Î㤬ƱÆü¤Ë2Î㡤ÅêÍ¿24Æü¤Ë¤Ï4Îã¤Ëǧ¤á¤é¤ì¤¿¡¥¤Þ¤¿¡¤ÈïÌӤαø¤ì¤ÏÅêÍ¿24Æü¤Ë¤Ï4Îã¤ËÁý²Ã¤·¤¿¡¥50 mg/kg·²¤Ç¤Ï¡¤ÅêÍ¿21Æü¤«¤é5ÎãÁ´Îã¤Ë¸ý¤Î¼þ°Ï¤òǨ¤é¤¹ÄøÅÙ¤Îή޷¤¬Ç§¤á¤é¤ì¤¿¡¥

»ó¤Ç¤Ï200 mg/kg·²¤Ç¡¤ÅêÍ¿10Æü¤«¤é10ÎãÃæ1Îã¤Ë¸ý¤Î¼þ°Ï¤òǨ¤é¤¹ÄøÅÙ¤Îή޷¤¬Ç§¤á¤é¤ì¡¤ÅêÍ¿15Æü¤«¤éÁ´Îã¤ËÁý²Ã¤·¤¿¡¥Î®Þ·¤Ï¡¤ÅêÍ¿18Æü¤Ë²¼³ÜÉô¤Ë㤷¤¿Î㤬10ÎãÃæ4Îãǧ¤á¤é¤ì¡¤ÅêÍ¿19Æü°Ê¹ß¤Ë¤Ï1¤«¤é3Îã¤Ëǧ¤á¤é¤ì¤¿¡¥¤Þ¤¿¡¤ÅêÍ¿18Æü¤Ë¤Ï4Îã¤Ë²¼³ÜÉô¤ÎÈïÌӤαø¤ì¤¬Ç§¤á¤é¤ì¤¿¡¥50 mg/kg·²¤Ç¤ÏÅêÍ¿21Æü¤«¤é5ÎãÁ´Îã¤Ë¸ý¤Î¼þ°Ï¤òǨ¤é¤¹ÄøÅÙ¤Îή޷¤¬Ç§¤á¤é¤ì¤¿¡¥

¤Ê¤ª¡¤»óͺ¤Çǧ¤á¤é¤ì¤¿¾å½Ò¤Î¾É¾õ¤Ï¡¤¤¤¤º¤ì¤âÅêÍ¿¸å1»þ´Ö°ÊÆâ¤«¤éȯ¸½¤·¡¤50 mg/kg·²¤Ç¤ÏÅêÍ¿¸å5»þ´Ö°ÊÆâ¤Ë¡¤200 mg/kg·²¤Ç¤ÏÅêÍ¿ÍâÆü¤ÎÅêÍ¿Á°¤Þ¤Ç¤Ë¾Ã¼º¤¹¤ë·«¤êÊÖ¤·¤Ç¤¢¤Ã¤¿¡¥²óÉü´ü´ÖÃæ¡¤»óͺ¤Î200 mg/kg·²¤Ç°Û¾ï¤Ïǧ¤á¤é¤ì¤Ê¤«¤Ã¤¿¡¥

¤½¤Î¾¡¤Íº¤Ç¤ÏÂоȷ²¤ÇÅêÍ¿13Æü¤«¤é10ÎãÃæ1Îã¤Ë¡¤¤µ¤é¤Ë²óÉü14Æü¤Ë¤ª¤¤¤Æ¤â5ÎãÃæ1Îã¤Ë·ÚÅÙ¤ÎðôÉô¤Þ¤¿¤ÏÁ°»è¤Î³°½ý¤¬¡¤¤Þ¤¿50 mg/kg·²¤Ç¤ÏÅêÍ¿28Æü¤Ë1Îã¤Ç·ÚÅ٤λõ¤Î°Û¾ï¤¬´Ñ»¡¤µ¤ì¤¿¤¬¡¤¤³¤ì¤é¤Ï¤¤¤º¤ì¤âÍÑÎ̤ËÂбþ¤·¤¿¾É¾õ¤Ç¤Ï¤Ê¤«¤Ã¤¿¡¥

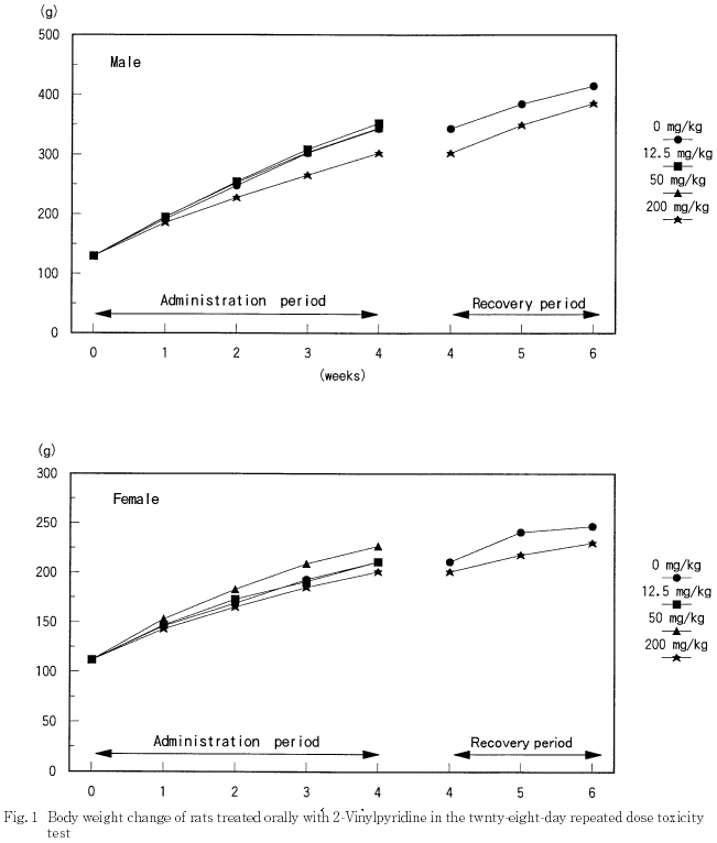
3¡¥ÂνÅ(Figure 1)

ͺ¤Ç¤Ï200 mg/kg·²¤Ç¡¤ÅêÍ¿2½µ°Ê¹ß¤ËÂνÅÁý²ÃÍÞÀ©¤¬Ç§¤á¤é¤ì¡¤ÅêÍ¿½ªÎ»»þ¤ÎÊ¿¶ÑÂνŤÏÂоȷ²¤ËÈæ³Ó¤·¤Æ11.9%¸º¾¯¤·¤¿¡¥²óÉü´ü´Ö¤ËÆþ¤ë¤È¡¤²óÉü·¹¸þ¤¬ÌÀ³Î¤Ëǧ¤á¤é¤ì¡¤Âоȷ²¤è¤êÂνÅÁý²ÃÎ̤ÏÂç¤Ç¤¢¤Ã¤¿¡¥

»ó¤Ç¤ÏÅêÍ¿´ü´Ö¤Ë·²´Ö¤Çº¹¤¬Ç§¤á¤é¤ì¤Ê¤«¤Ã¤¿¡¥²óÉü1½µ¤ËÂоȷ²¤ËÈæ³Ó¤·¤Æ200 mg/kg·²¤ÇÄãÃͤ¬Ç§¤á¤é¤ì¤¿¤¬¡¤ÅêÍ¿½ªÎ»»þ¤Î²ò˶¤Ç¡¤Âоȷ²¤Ë¤ª¤¤¤Æ¶öȯŪ¤ËÂνŤξ®¤µ¤Ê¸ÄÂΤ¬²ò˶¤µ¤ì¤¿¤¿¤á¤ÎÊѲ½¤Ç¤¢¤Ã¤¿¡¥

4¡¥ÀݱÂÎÌ

ͺ¤Ç¤Ï¡¤Âоȷ²¤ËÈæ³Ó¤·¤Æ200 mg/kg·²¤ÇÅêÍ¿2½µ¤ËÀݱÂÎ̤θº¾¯¤¬Ç§¤á¤é¤ì¤¿¤¬¡¤ÅêÍ¿4½µ¤Þ¤Ç¤ÎÁíÀݱÂÎ̤˺¹¤Ïǧ¤á¤é¤ì¤Ê¤«¤Ã¤¿¡¥²óÉü´ü´ÖÃæ¤ËÂоȷ²¤È200 mg/kg·²¤ÇÌÀ³Î¤Êº¹¤Ïǧ¤á¤é¤ì¤Ê¤«¤Ã¤¿¡¥

»ó¤Ç¤Ï¡¤ÅêÍ¿´ü´ÖÃæ¤ª¤è¤Ó²óÉü´ü´ÖÃæ¤Ë¡¤Âоȷ²¤ÈÈ︳ʪ¼ÁÅêÍ¿·²¤È¤Çº¹¤¬Ç§¤á¤é¤ì¤Ê¤«¤Ã¤¿¡¥

5¡¥·ì±Õ³ØÅª¸¡ºº(Table 1)

¡ÌÅêÍ¿½ªÎ»»þ¤Î¸¡ºº·ë²Ì¡Í

»óͺ¤È¤â¤ËÂоȷ²¤ÈÈ︳ʪ¼ÁÅêÍ¿·²¤È¤Ç¤¤¤º¤ì¤Î¸¡ºº¹àÌܤˤ⺹¤Ïǧ¤á¤é¤ì¤Ê¤«¤Ã¤¿¡¥

¡Ì²óÉü´ü´Ö½ªÎ»»þ¤Î¸¡ºº·ë²Ì¡Í

ͺ¤Ç¤Ï¡¤Âоȷ²¤ËÈæ³Ó¤·¤Æ200 mg/kg·²¤ÇÌÖÀÖ·ìµåΨ¤Î¹âÃͤ¬¡¤»ó¤Ç¤Ï200 mg/kg·²¤ÇMCHC¤ÎÄãÃͤ¬Ç§¤á¤é¤ì¤¿¤¬¡¤ÌÖÀÖ·ìµåΨ¤Î¹âÃͤÏÇØ·ÊÃÍ(ÇØ·ÊÃÍ32¡Þ9¡¤n=30)¤ÎÀµ¾ïÈÏ°ÏÆâ¤ÎÃͤǤ¢¤ê¡¤MCHC¤ÎÄãÃͤϡ¤»»½Ð¤Î¤â¤È¤È¤Ê¤Ã¤¿MCV¤ª¤è¤ÓMCH¤ËÂоȷ²¤È¤Îº¹¤Ïǧ¤á¤é¤ì¤º¡¤°ÕµÁ¤Î¤¢¤ëÊѲ½¤Ç¤Ï¤Ê¤«¤Ã¤¿¡¥

6¡¥·ì±Õ¶Å¸Çǽ¸¡ºº(Table 1)

ÅêÍ¿¤ª¤è¤Ó²óÉü´ü´Ö½ªÎ»»þ¤Î¤¤¤º¤ì¤Ë¤ª¤¤¤Æ¤â¡¤»óͺ¤È¤â¤ËÂоȷ²¤ÈÈ︳ʪ¼ÁÅêÍ¿·²¤È¤Ç¸¡ºº¤ò¹Ô¤Ã¤¿3¹àÌܤ˺¹¤Ïǧ¤á¤é¤ì¤Ê¤«¤Ã¤¿¡¥

7¡¥·ì±ÕÀ¸²½³Ø¸¡ºº(Table 2)

¡ÌÅêÍ¿½ªÎ»»þ¤Î¸¡ºº·ë²Ì¡Í

Âоȷ²¤ËÈæ³Ó¤·¤Æ¡¤»ó¤Ç¤Ï200 mg/kg·²¤Ç¥¯¥ì¥¢¥Á¥Ë¥ó¤ÎÄãÃͤ¬Ç§¤á¤é¤ì¤¿¡¥¤Ê¤ª¡¤200 mg/kg·²¤Ç¤Ï»óͺ¤È¤â¤ËÃæÀ­»éËäÎÄãÃÍ·¹¸þ¤ª¤è¤ÓGPT¤Î¹âÃÍ·¹¸þ¤¬Ç§¤á¤é¤ì¡¤¤µ¤é¤Ëͺ¤Ç¤Ï¦Ã -GTP¤Î¹âÃÍ·¹¸þ¤¬¡¤»ó¤Ç¤Ï¥¢¥ë¥«¥ê¥Õ¥©¥¹¥Õ¥¡¥¿¡¼¥¼¤Î¹âÃÍ·¹¸þ¤¬Ç§¤á¤é¤ì¤¿¤¬¡¤¤³¤ì¤é¤Ï¤¤¤º¤ì¤âÅý·×³ØÅª¤Ë¤ÏÍ­°Õ¤ÊÊѲ½¤Ç¤Ï¤Ê¤«¤Ã¤¿¡¥¾å½Ò¤Îͺ¤Ë¤ß¤é¤ì¤¿¦Ã -GTP¤ÎÊѲ½¤Ï¡¤1Îã¤Î¹âÃͤˤè¤ë¤â¤Î¤Ç¤¢¤ê¡¤¤µ¤é¤Ë¤½¤Î1Îã¤ÏGPT¤Î¹âÃͤâȼ¤Ã¤Æ¤¤¤¿¡¥¤Þ¤¿¡¤»ó¤Ë¤ß¤é¤ì¤¿¥¢¥ë¥«¥ê¥Õ¥©¥¹¥Õ¥¡¥¿¡¼¥¼¤ÎÊѲ½¤â1Îã¤Î¹âÃͤˤè¤ë¤â¤Î¤Ç¤¢¤ê¡¤¤µ¤é¤Ë¤½¤Î1Îã¤ÏÃæÀ­»éËäÎÄãÃͤâȼ¤Ã¤Æ¤¤¤¿¡¥

¡Ì²óÉü´ü´Ö½ªÎ»»þ¤Î¸¡ºº·ë²Ì¡Í

»óͺ¤È¤â¤ËÂоȷ²¤ÈÈ︳ʪ¼ÁÅêÍ¿·²¤È¤Ç¤¤¤º¤ì¤Î¸¡ºº¹àÌܤˤ⺹¤Ïǧ¤á¤é¤ì¤Ê¤«¤Ã¤¿¡¥

8¡¥Ç¢¸¡ºº(Table 3)

¡ÌÅêÍ¿½ªÎ»»þ¤Î¸¡ºº·ë²Ì¡Í

»ó¤Ç¤Ï¡¤Âоȷ²¤ËÈæ³Ó¤·¤Æ200 mg/kg·²¤ÇÇ¢Î̤ÎÁý²Ã¤ª¤è¤ÓÈæ½Å¤ÎÄãÃͤ¬Ç§¤á¤é¤ì¡¤¤µ¤é¤Ë50 mg/kg·²¤ÇÈæ½Å¤ÎÄãÃͤ¬Ç§¤á¤é¤ì¤¿¡¥Íº¤Ç¤Ï¡¤Âоȷ²¤ÈÈ︳ʪ¼ÁÅêÍ¿·²¤È¤Çº¹¤Ïǧ¤á¤é¤ì¤Ê¤«¤Ã¤¿¡¥

¡Ì²óÉü´ü´Ö½ªÎ»»þ¤Î¸¡ºº·ë²Ì¡Í

»óͺ¤È¤â¤ËÂоȷ²¤ÈÈ︳ʪ¼ÁÅêÍ¿·²¤È¤Ç¤¤¤º¤ì¤Î¸¡ºº¹àÌܤˤ⺹¤Ïǧ¤á¤é¤ì¤Ê¤«¤Ã¤¿¡¥

9¡¥´ï´±½ÅÎÌ(Table 4)

¡ÌÅêÍ¿½ªÎ»»þ¤Î¸¡ºº·ë²Ì¡Í

»ó¤Ç¤Ï¡¤Âоȷ²¤ËÈæ³Ó¤·¤Æ200 mg/kg·²¤Çç£Â¡½ÅÎ̤ÎÄãÃͤ¬Ç§¤á¤é¤ì¡¤50 mg/kg·²¤ÇÍñÁ㤪¤è¤Ó¿Õ¡½ÅÎ̤ιâÃͤ¬Ç§¤á¤é¤ì¤¿¡¥¤Ê¤ª¡¤Íº¤Ç¤Ï¡¤Âоȷ²¤ÈÈ︳ʪ¼ÁÅêÍ¿·²¤È¤Çº¹¤Ïǧ¤á¤é¤ì¤Ê¤«¤Ã¤¿¡¥

¡Ì²óÉü´ü´Ö½ªÎ»»þ¤Î¸¡ºº·ë²Ì¡Í

»óͺ¤È¤â¤ËÂоȷ²¤ÈÈ︳ʪ¼ÁÅêÍ¿·²¤È¤Çº¹¤Ïǧ¤á¤é¤ì¤Ê¤«¤Ã¤¿¡¥

10¡¥´ï´±½ÅÎÌ¡¦ÂνÅÈæ(ÁêÂнÅÎÌ)(Table 4)

¡ÌÅêÍ¿½ªÎ»»þ¤Î¸¡ºº·ë²Ì¡Í

Âоȷ²¤ËÈæ³Ó¤·¤Æ¡¤Íº¤Ç¤Ï200 mg/kg·²¤ÇÀºÁãÁêÂнÅÎ̤ιâÃͤ¬Ç§¤á¤é¤ì¡¤»ó¤Ç¤Ï¡¤¤¹¤Ù¤Æ¤ÎÈ︳ʪ¼ÁÅêÍ¿·²¤Çç£Â¡ÁêÂнÅÎ̤ÎÄãÃͤ¬Ç§¤á¤é¤ì¡¤¤µ¤é¤Ë200 mg/kg·²¤Ç´Î¡ÁêÂнÅÎ̤ιâÃͤ¬Ç§¤á¤é¤ì¤¿¡¥

¡Ì²óÉü´ü´Ö½ªÎ»»þ¤Î¸¡ºº·ë²Ì¡Í

»óͺ¤È¤â¤ËÂоȷ²¤ÈÈ︳ʪ¼ÁÅêÍ¿·²¤È¤Çº¹¤Ïǧ¤á¤é¤ì¤Ê¤«¤Ã¤¿¡¥

11¡¥ÉÂÍý³Ø¸¡ºº

a)¡¡Ë¶¸¡½ê¸«(Table 5)

¡ÌÅêÍ¿½ªÎ»»þ·×²è²ò˶ưʪ¡Í

È︳ʪ¼ÁÅêÍ¿¤Î±Æ¶Á¤È¹Í¤¨¤é¤ì¤ëÉÂÊѤȤ·¤Æ200 mg/kg·²¤ÇÁ°°ß¤ÎÇ´ËìÈî¸ü¤¬»óͺ¤Î5ÎãÁ´Îã¤Ë´Ñ»¡¤µ¤ì¤¿¡¥¤Þ¤¿Åý·×³ØÅª¤ÊÍ­°Õº¹¤Ï¤Ê¤¤¤¬Æ±·²¤Ç¤ÏÁ°°ß¤ÎÄÙá礬»óͺ³Æ1Îã¤Ë´Ñ»¡¤µ¤ì¤¿¤Û¤«¡¤Á£°ß¤Î¹õ¿§ÈÃÅÀ/¶è°è¤¬»ó¤Î1Îã¤Ë´Ñ»¡¤µ¤ì¤¿¡¥¤½¤Î¾¡¤È︳ʪ¼ÁÅêÍ¿¤Ë´ØÏ¢¤¹¤ëÉÂÊѤÏǧ¤á¤é¤ì¤Ê¤«¤Ã¤¿¡¥

¡Ì²óÉü»î¸³½ªÎ»»þ·×²è²ò˶ưʪ¡Í

Âоȷ²¤ËÈæ³Ó¤·¤ÆÈ︳ʪ¼ÁÅêÍ¿·²¤Ë¿¤¯¤ß¤é¤ì¤¿ÉÂÊѤϴѻ¡¤µ¤ì¤Ê¤«¤Ã¤¿¡¥´Ñ»¡¤µ¤ì¤¿ÉÂÊѤϤ¤¤º¤ì¤âñȯÀ­¤ÎȯÀ¸¤Ç¤¢¤Ã¤¿¡¥

b)¡¡ÁÈ¿¥½ê¸«(Table 6)

¡ÌÅêÍ¿½ªÎ»»þ·×²è²ò˶ưʪ¡Í

È︳ʪ¼ÁÅêÍ¿¤Î±Æ¶Á¤È¹Í¤¨¤é¤ì¤ëÉÂÊѤȤ·¤Æ¡¤Á°°ß¤Î٨ʿ¾åÈéÁýÀ¸¤¬200 mg/kg·²¤Î»óͺ¤ÎÁ´Îã(ÃæÄøÅÙ)¤È50 mg/kg·²¤Î»óͺ¤Î3Îã(·ÚÅÙ)¤Ë´Ñ»¡¤µ¤ì¤¿¡¥¤µ¤é¤ËÅý·×³ØÅª¤ÊÍ­°Õº¹¤Ï¤Ê¤¤¤¬Á°°ßÇ´Ëì²¼¤ÎÉâ¼ð¤¬200 mg/kg·²¤Îͺ¤Î2Î㡤»ó¤Î3Îã¤È50 mg/kg·²¤Î»óͺ¤Î1Îã¤Ë´Ñ»¡¤µ¤ì¤¿¤Û¤«¡¤¤Ó¤é¤ó¤äºÙ˦¿»½á¤â200 mg/kg·²¤Îͺ¤Î1Îã¤Ë´Ñ»¡¤µ¤ì¤¿¡¥Á£°ß¤Ç¤ÏÇ´Ëì²¼¤ÎÉâ¼ð¤¬»ó¤Î200 mg/kg·²¤Î3Îã¤È50 mg/kg·²¤Î1Îã¤Ë¡¤¤Ó¤é¤ó¤¬200 mg/kg·²¤Î1Îã¤Ë¤½¤ì¤¾¤ì´Ñ»¡¤µ¤ì¤¿¡¥

¤½¤Î¾¡¤´Î¡¤Î¾®Æù²ê¼ð¤ä¿Õ¡¤ÎÇ¢ºÙ´É¹¥±ö´ð²½¤Ê¤É¤Î½ê¸«¤¬´Ñ»¡¤µ¤ì¤¿¤¬Âоȷ²¤ÈÈ︳ʪ¼ÁÅêÍ¿·²¤ÇȯÀ¸¿ô¤ËÍ­°Õ¤Êº¹¤Ïǧ¤á¤é¤ì¤Ê¤«¤Ã¤¿¡¥

¡Ì²óÉü»î¸³½ªÎ»»þ·×²è²ò˶ưʪ¡Í

È︳ʪ¼ÁÅêÍ¿·²(200 mg/kg·²)¤Ç¤ÏÁ°°ß¤Î٨ʿ¾åÈéÁýÀ¸¤¬·ÚÅ٤ʤ¬¤éͺ¤Î3Îã¤È»ó¤Î2Îã¤Ë´Ñ»¡¤µ¤ì¤¿¡¥

¹Í»¡

°ìÈ̾õÂ֤δѻ¡¤Ç¤Ï¡¤»óͺ¤Î50¤ª¤è¤Ó200 mg/kg·²¤Çή޷¤¬ÅêÍ¿¸å1»þ´Ö°ÊÆâ¤«¤éȯ¸½¤·¡¤50 mg/kg·²¤Ç¤ÏÅêÍ¿¸å5»þ´Ö°ÊÆâ¤Ë¡¤200 mg/kg·²¤Ç¤ÏÍâÆü¤ÎÅêÍ¿Á°¤Þ¤Ç¤Ë²óÉü¤¬Ç§¤á¤é¤ì¡¤È︳ʪ¼ÁÅêÍ¿¤Ë¤è¤ë±Æ¶Á¤È¹Í¤¨¤é¤ì¤¿¡¥¤Þ¤¿¡¤È︳ʪ¼Á¤ÏÉå¿©ºÞ¤ª¤è¤ÓºÅÎ޺ޤȤ·¤Æ¤âÃΤé¤ì¤Æ¤ª¤ê¡¤´Ñ»¡¤µ¤ì¤¿Î®Þ·¤ÏÈ︳ʪ¼Á¤Ë¤è¤ë¾Ã²½´ÉÇ´Ëì¤Î»É·ã¤Ë¤è¤ë¤â¤Î¤È¹Í¤¨¤é¤ì¤¿¡¥

ÂνŤª¤è¤ÓÀݱÂÎ̤ϡ¤Íº¤Î200 mg/kg·²¤ÇÅêÍ¿´ü´ÖÃæ¤ËÄãÃͤޤ¿¤Ï¸º¾¯¤¬Ç§¤á¤é¤ì¤¿¤¬¡¤¤¤¤º¤ì¤ÎÊѲ½¤â²óÉü´ü´ÖÃæ¤Ë¤Ï²óÉü¤¬Ç§¤á¤é¤ì¤¿¡¥

·ì±Õ³ØÅª¸¡ºº¤ª¤è¤Ó·ì±Õ¶Å¸Ç¸¡ºº¤Î·ë²Ì¡¤È︳ʪ¼ÁÅêÍ¿¤Ë¤è¤ë¤È¹Í¤¨¤é¤ì¤ëÊѲ½¤Ï»óͺ¤¤¤º¤ì¤Î·²¤Ë¤âǧ¤á¤é¤ì¤Ê¤«¤Ã¤¿¡¥

·ì±ÕÀ¸²½³Ø¸¡ºº¤Î·ë²Ì¡¤200 mg/kg·²¤Ç¤Ï¡¤»óͺ¤È¤â¤ËÃæÀ­»éËäÎÄãÃÍ·¹¸þ¤ª¤è¤ÓGPT¤Î¹âÃÍ·¹¸þ¤¬Ç§¤á¤é¤ì¡¤¤µ¤é¤Ë»ó¤Ç¤Ï¥¯¥ì¥¢¥Á¥Ë¥ó¤ÎÄãÃͤ¬Ç§¤á¤é¤ì¤¿¤¬¡¤ÉÂÍý³Ø¸¡ºº¤Î·ë²Ì¤«¤é¤Ï¤³¤ì¤é¤ÎÊѲ½¤ò¼¨º¶¤¹¤ëÌÀ¤é¤«¤Ê°Û¾ï¤Ïǧ¤á¤é¤ì¤º¡¤ÆÇÀ­³ØÅª°ÕµÁ¤Ï˳¤·¤¤¤È¹Í¤¨¤é¤ì¤ë¡¥¤Ê¤ª¡¤200 mg/kg·²¤Îͺ¤Çǧ¤á¤é¤ì¤¿¦Ã -GTP¤ª¤è¤Ó»ó¤Çǧ¤á¤é¤ì¤¿¥¢¥ë¥«¥ê¥Õ¥©¥¹¥Õ¥¡¥¿¡¼¥¼¤ÎÊѲ½¤Ï¡¤¤½¤ì¤¾¤ì1Îã¤Î¹âÃͤˤè¤ë¹âÃÍ·¹¸þ¤Ç¤¢¤ë¤³¤È¤«¤é¡¤¤³¤ì¤é¤Ï¤È¤â¤ËÈ︳ʪ¼ÁÅêÍ¿¤Ë¤è¤ë²ÄǽÀ­¤ÏÄ㤤¤È¹Í¤¨¤é¤ì¤ë¡¥

Ç¢¸¡ºº¤Î·ë²Ì¡¤»ó¤Ç¤Ï200 mg/kg·²¤ÇÇ¢Î̤ÎÁý²Ã¤ª¤è¤ÓÈæ½Å¤ÎÄãÃͤ¬Ç§¤á¤é¤ì¡¤¤µ¤é¤Ë50 mg/kg·²¤ÇÈæ½Å¤ÎÄãÃͤ¬Ç§¤á¤é¤ì¤¿¡¥È︳ʪ¼Á¤ò2½µ´ÖÅêÍ¿¤·¤¿Í½È÷»î¸³¤Ç¤Ï¡¤°ß¤ÎÇ´Ëì¤ËÄÙáçÅù¤Î¾ã³²¤¬Ç§¤á¤é¤ì¤Æ¤¤¤ë¤³¤È¤«¤é¡¤Ç´Ëì¤Ø¤ÎľÀܻɷã¤ò´ËϤ¹¤ë¤¿¤á¤ËÂçÎ̤οå¤òÀݼ褷¡¤Ç¢Î̤¬Áý²Ã¤·¤¿¤â¤Î¤È¹Í¤¨¤é¤ì¤¿¡¥

´ï´±½ÅÎ̬Äê¤Î·ë²Ì¡¤Íº¤Î200 mg/kg·²¤Çǧ¤á¤é¤ì¤¿ÀºÁãÁêÂнÅÎ̤ιâÃÍ¡¤»ó¤Î200 mg/kg·²¤Çǧ¤á¤é¤ì¤¿ç£Â¡¼Â½ÅÎ̤ª¤è¤ÓÁêÂнÅÎ̤ÎÄãÃͤʤé¤Ó¤Ë´Î¡ÁêÂнÅÎ̤ιâÃͤϡ¤¤¤¤º¤ì¤âÈ︳ʪ¼ÁÅêÍ¿¤Ë¤è¤ë±Æ¶Á¤È¹Í¤¨¤é¤ì¤¿¤¬¡¤ÉÂÍýÁÈ¿¥³Ø¸¡ºº¤Î·ë²Ì¤«¤é¤³¤ì¤é¤Î´ï´±¤Ë°Û¾ï¤Ïǧ¤á¤é¤ì¤Ê¤«¤Ã¤¿¡¥¤Þ¤¿¡¤»ó¤Î12.5¤ª¤è¤Ó50 mg/kg·²¤Çǧ¤á¤é¤ì¤¿ç£Â¡ÁêÂнÅÎ̤ÎÄãÃͤϡ¤ÅêÍ¿½ªÎ»»þ¤Ë¤ª¤±¤ë»ó¤ÎÂоȷ²¤Î½ÅÎ̤¬²óÉü´ü´Ö½ªÎ»»þ¤Ë¤ª¤±¤ë½ÅÎ̤ÈÅù¤·¤¯¡¤Èæ³Ó¤·¤¿Âоȷ²¤¬¹âÃÍ·¹¸þ¤Ë¤¢¤Ã¤¿¤¿¤á¤ËÀ¸¤¸¤¿¤â¤Î¤È¹Í¤¨¤é¤ì¡¤È︳ʪ¼Á¤Î±Æ¶Á¤È¤ÏȽÃǤµ¤ì¤Ê¤«¤Ã¤¿¡¥¤½¤Î¾¡¤ÊѲ½¤Î¤ß¤é¤ì¤¿ÍñÁ㤪¤è¤Ó¿Õ¡¤Ï¡¤ÍÑÎ̤ËÂбþ¤·¤¿ÊѲ½¤Ç¤Ï¤Ê¤¤¤³¤È¤«¤é¡¤È︳ʪ¼ÁÅêÍ¿¤Ë¤è¤ëÊѲ½¤Ç¤Ï¤Ê¤¤¤È¹Í¤¨¤é¤ì¤¿¡¥²óÉü´ü´Ö½ªÎ»»þ¤Ç¤Ï¡¤ç£Â¡¡¤´Î¡¤ª¤è¤ÓÀºÁã¤Ë°Û¾ï¤Ïǧ¤á¤é¤ì¤º²óÉü¤¬¤ß¤é¤ì¤¿¡¥

ÉÂÍý³Ø¸¡ºº¤Î·ë²Ì¡¤È︳ʪ¼Á¤Î±Æ¶Á¤¬¼¨º¶¤µ¤ì¤ëÉÂÊѤȤ·¤Æ¡¤Æù´ã½ê¸«¤Ç¤Ï°ß(Á°°ß)¤ÎÇ´ËìÈî¸ü¤¬»óͺ¤È¤â¤Ë200 mg/kg·²¤ÇÁ´Îã¤Ë´Ñ»¡¤µ¤ì¤¿¡¥¤³¤ÎÉÂÊѤËÂбþ¤¹¤ëÁÈ¿¥½ê¸«¤È¤·¤ÆÁ°°ß¤Î٨ʿ¾åÈéÁýÀ¸¤¬200 mg/kg·²¤Î»óͺ¤ÎÁ´Îã(ÃæÄøÅÙ)¤È50 mg/kg·²¤Î»óͺ¤Î3Îã(·ÚÅÙ)¤Ë´Ñ»¡¤µ¤ì¤¿¡¥¤µ¤é¤ËÁ°°ß¤Ç¤ÏÇ´Ëì²¼¤ÎÉâ¼ð¡¤¤Ó¤é¤ó¤äºÙ˦¿»½á¡¤Á£°ß¤Ç¤ÏÇ´Ëì²¼¤ÎÉâ¼ð¤ä¤Ó¤é¤ó¤Ê¤É¤Î½ê¸«¤â°ìÉô¤ÎÎã¤Ë´Ñ»¡¤µ¤ì¤¿¡¥¤³¤ì¤é¤ÎÊѲ½¤Ï¤¤¤º¤ì¤â¡¤2-¥Ó¥Ë¥ë¥Ô¥ê¥¸¥ó¤Î»ý¤Ä»É·ãÀ­¤äÉå¿©À­¤«¤é¹Í¤¨È︳ʪ¼Á¤Î°ß¤Ø¤ÎľÀÜŪ¤ÊºîÍѤȹͤ¨¤é¤ì¤¿¡¥¤³¤ì¤é¤ÎÊѲ½¤ÎÆâ¡¤Á°°ß¤Î٨ʿ¾åÈéÁýÀ¸¤Ï²óÉü½ªÎ»»þ¤Îưʪ¤Ë¤â´Ñ»¡¤µ¤ì¤¿¡¥¤·¤«¤·¡¤È¯À¸¿ô¤äÄøÅÙ¤â·Ú¸º¤·¤Æ¤ª¤ê²ÄµÕÀ­¤ÎÊѲ½¤È¹Í¤¨¤é¤ì¤¿¡¥

°Ê¾å¤Î¤³¤È¤«¤é¡¤Ëܻ¤Ç¤Ï»óͺ¤Î50¤ª¤è¤Ó200 mg/kg·²¤Çǧ¤á¤é¤ì¤¿°ìÈ̾õÂÖ¤ÎÊѲ½¤ª¤è¤ÓÉÂÍý³Ø¸¡ºº¤Ë¤ª¤±¤ë°ß¤Î°Û¾ïÉÂÊѤ¬È︳ʪ¼ÁÅêÍ¿¤È´ØÏ¢¤Å¤±¤é¤ì¤ë¤â¤Î¤Ç¤¢¤ê¡¤È︳ʪ¼Á¤ÎɸŪ´ï´±¤Ï°ß¤ÈȽÃǤµ¤ì¤¿¡¥¤Þ¤¿¡¤Ìµ±Æ¶ÁÎ̤ϻóͺ¤È¤â¤Ë°ìÈ̾õÂÖ¤ÎÊѲ½¤ª¤è¤Ó°ß¤Î°Û¾ïÉÂÊѤ¬Ç§¤á¤é¤ì¤Ê¤«¤Ã¤¿12.5 mg/kg/day¤ÈȽÃǤµ¤ì¤¿¡¥

ʸ¸¥

1)"The Sigma-Aldrich library of Chemical Safety data", edition­¶, Vol.2, ed. by R.E.Lenga, U.S.A., 1988, p.3606.
2)º´ÌîÀµ¼ù¡¤²¬»³²Â¹°¡¤°åÌô°ÂÁ´À­¸¦µæ²ñ²ñÊó¡¤32¡¤21(1990).
3)M. Yoshida, J.J. Soc. comp. Stat., 1, 111(1988).
Ï¢ÍíÀè
»î¸³ÀÕǤ¼Ô¡§ÂçÄí¹ÌÊå
»î¸³Ã´Åö¼Ô¡§³ÆÌ³¡¡¿Ê¡¤¾±»ÒÌÀÆÁ¡¤ÅÏ¡¡½¤ÌÀ¡¤´äÅÄ¡¡À»
(ºâ)¿©ÉÊÇÀ°åÌôÉʰÂÁ´À­É¾²Á¥»¥ó¥¿¡¼
¢©437-12 ÀŲ¬¸©ÈØÅÄ·´Ê¡ÅÄÄ®±ö¿·ÅÄ»ú¹ÓÉÍ582-2
Tel 0538-58-1266Fax 0538-58-1393

Correspondence
Authors:Authors:Kousuke Oba(Study director)
Susumu Kakamu¡¤Akinori Shoji, Nobuaki Watari¡¤Hijiri Iwata
Biosafety Research Center, Foods, Drugs and Pesticides(An-pyo Center)
582-2 Shioshinden Aza Arahama, Fukude-cho, Iwata-gun, Shizuoka, 437-12, Japan
Tel +81-538-58-1266Fax +81-538-58-1393